Ver Detalle
|
ART. 20º— Producto para asignar capacidad disponible primaria asociada a proyectos del PAG distintos de IPAT. Las asignaciones de capacidad disponible primaria que realice el gestor del mercado según el procedimiento establecido en el Artículo 19 de la presente resolución harán parte de contratos de transporte que tendrán las siguientes características:
- Modalidad de contrato: Contrato de transporte firme de capacidades trimestrales, CCT. Estará conformado por las cantidades asignadas en virtud de lo establecido en los literales a) y b) del numeral 2 de Artículo 19 de la presente resolución.
- Duración del contrato: La duración que resulte de la asignación que realice el gestor del mercado a cada remitente. La duración mínima será de un trimestre estándar.
- Inicio del contrato: Primer día de cualquiera de los trimestres estándar siguientes al trimestre en que el gestor asignó la capacidad disponible primaria al remitente.
- Terminación del contrato: Último día de un trimestre estándar.
- Garantías: Las que defina la Comisión en resolución aparte.
- Cargos: Cargos fijos y variables expresados en pesos y en dólares americanos, determinados por el gestor del mercado así:
Donde:
Estos cargos se actualizarán como se establece en el literal a) del artículo 17 de la Resolución CREG 107 de 2017, o aquellas que la modifiquen o sustituyan, y aplicarán para el caso en el que no haya congestión. En el caso de congestión el precio será el que se obtenga de la subasta.
La facturación se hará en pesos y se liquidará en el momento de la facturación a la TRM del último día del mes en que se prestó el servicio de transporte.
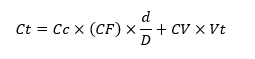
- Liquidación: El servicio de transporte a través del contrato CCT se liquidará y facturará mensualmente en pesos con base en lo establecido en el capítulo VI de la Resolución CREG 123 de 2013, o aquellas que la modifiquen o sustituyan, aplicando la siguiente expresión:
Donde:
Ct: Costo de prestación del servicio de transporte a través del contrato CFAT , expresado en pesos.
Cc: Capacidad contratada para el mes de prestación del servicio, expresada en KPCD.
CF: Cargo fijo expresado en pesos por KPCD obtenido como la suma del cargo
d: Número de días del mes de prestación del servicio de transporte.
D: Número de días del año calendario del mes en el que se prestó el servicio.
CV: Cargo variable expresado en pesos por KPC obtenido como la suma del cargo
Vt: Volumen transportado al remitente durante el mes de prestación del servicio de transporte de gas natural, expresado en kpc.
Estos ingresos harán parte de los ingresos de corto plazo,
PAR. 1º— En resolución aparte la Comisión podrá establecer un mecanismo particular para determinar los cargos máximos aplicables al servicio de transporte en proyectos del PAG distintos de IPAT para transportar gas proveniente de la infraestructura de importación de gas del Pacífico de que trata la Resolución CREG 152 de 2017, o aquellas que la modifiquen o sustituyan. |
