ART. 1° — Modificar las siguientes definiciones del artículo 2 de la Resolución CREG 102 008 de 2022, y adicionar una nueva definición, que quedarán así:
Inversiones en proyectos prioritarios del plan de abastecimiento en un sistema de transporte, IPAT: Son los valores eficientes de proyectos prioritarios del PAGN que están embebidos en la infraestructura de un sistema de transporte existente. Para efectos regulatorios, estos proyectos corresponderán únicamente a gasoductos loops, estaciones de compresión y/o adecuaciones de la infraestructura existente de la actividad de transporte de hidrocarburos y de sus mezclas o derivados, incluida la de transporte de gas natural, que contribuyan a garantizar la seguridad de abastecimiento y la confiabilidad del servicio de gas natural.
Proyectos prioritarios del Plan de Abastecimiento de Gas Natural: Proyectos incluidos en el plan de abastecimiento de gas, adoptado por el Ministerio de Minas y Energía.
Proyectos generales del Plan de Abastecimiento de Gas Natural: Proyectos no incluidos en el PAGN, adoptado por el Ministerio de Minas y Energía, que no se ejecutan mediante mecanismos centralizados. Estos mecanismos centralizados corresponden a los procesos de selección y el procedimiento para que el transportador incumbente ejecute en primera instancia proyectos de IPAT, establecidos en la presente resolución.
Punto de salida final de entrega: Es aquel punto de salida del Sistema Nacional de Transporte, en que se entrega el gas transportado al beneficiario y no corresponde con un punto de entrada de otro sistema de transporte del SNT.
ART. 2° — Modificar el literal a) y el literal e), ambos del artículo 4 de la Resolución CREG 102 008 de 2022, que quedarán así:
a)“Dentro de los tres meses siguientes a la fecha de publicación del PAGN por parte del Ministerio de Minas y Energía, el transportador incumbente podrá declarar ante la UPME y ante la CREG el nombre de los proyectos IPAT que prevé realizar en la infraestructura existente, ya sea mediante la construcción de gasoductos loops, estaciones de compresión y/o adecuaciones de la infraestructura existente de transporte de hidrocarburos y de sus mezclas o derivados, incluida la de transporte de gas natural.
En la declaración ante la UPME, el transportador incluirá, como mínimo, el listado de los equipos y las obras a desarrollar, el diseño técnico, capacidad de transporte del proyecto en kPCD, presiones de entrada y salida, y demás información que la UPME requiera. A partir de lo anterior, la UPME verificará que la propuesta del transportador cumpla, tanto con la realización de alguno de los criterios de construcción mencionados, como con las condiciones de prestación del servicio del proyecto adoptado por el MME en el PAGN. Para efectos de lo anterior se deberá tener en cuenta la definición de loop incluida en el artículo 2 “Definiciones” de la Resolución CREG 175 de 2021 o aquellas que la modifiquen o sustituyan.
En caso de que la UPME encuentre finalmente, después de darle la oportunidad al transportador incumbente de realizar ajustes al proyecto inicialmente presentado, que el diseño técnico de la propuesta presentada por dicho transportador para la realización del proyecto adoptado por el MME, no se basa en la construcción de gasoductos loops, estaciones de compresión y/o en adecuaciones de la infraestructura existente de transporte de hidrocarburos y de sus mezclas o derivados, incluida la de transporte de gas natural, dicha entidad informará a la CREG y al transportador incumbente de tal situación y a partir de ello, iniciará las acciones tendientes a realizar el proceso para seleccionar el adjudicatario del proyecto, en los términos y condiciones establecidos en el Capítulo III de la presente Resolución.
En caso de que la UPME encuentre que se cumple simultáneamente con las siguientes condiciones: a.) El diseño técnico de la propuesta presentada por el transportador para la realización del proyecto adoptado por el MME se basa en la construcción de gasoductos loops, estaciones de compresión y/o en adecuaciones de la infraestructura existente de transporte de hidrocarburos y de sus mezclas o derivados, incluida la de transporte de gas natural, y b.) Las capacidades del proyecto presentado y su ubicación cumplen con las capacidades y ubicación del proyecto adoptado en el PAGN, dicha entidad informará a la CREG y al transportador de tal situación y a partir de ello, la CREG procederá a iniciar la actuación administrativa conducente a determinar el ingreso regulado del transportador incumbente para dicho proyecto.
El informe de la UPME a que hace referencia el inciso anterior, permitirá validar que la información y las especificaciones presentadas por el transportador incumbente cumplen con los criterios de ser un proyecto IPAT, y que cumple con las capacidades y ubicación del proyecto adoptado en el PAGN, sin que el diseño presentado sobrepase la capacidad del proyecto IPAT adoptado ni se proponga un diseño técnico con equipos y/o sistemas sobredimensionados.
En la declaración ante la CREG, el transportador incluirá (i) el valor de la inversión de cada proyecto, expresado en pesos constantes del 31 de diciembre del año anterior a la fecha de la declaración; (ii) la fecha de entrada en operación, la cual deberá corresponder con la fecha establecida en el PAGN; (iii) la información para determinar el valor eficiente de estas inversiones y los gastos de AOM para el período estándar de pagos, y la demás información que permita verificar que el proyecto presentado por el transportador cumple las condiciones de servicio solicitadas en el PAGN. Los parámetros y requerimientos de este literal estarán determinados en la resolución CREG 175 de 2021 o aquellas que la modifiquen o sustituyan.
En el valor de la inversión, el transportador incluirá de manera desagregada, y expresado en pesos, el costo estimado de contratar la fiducia que contratará al auditor de que trata el artículo 23 de la presente Resolución, el costo estimado por los servicios que prestará el auditor, y el costo estimado de constituir el patrimonio autónomo de que trata el artículo 27 de la presente Resolución.
En el caso de proyectos embebidos en dos o más sistemas de transporte de diferentes agentes, deberá existir un acuerdo entre dichos transportadores con respecto a quien va a ser el único declarante del proyecto IPAT que prevén realizar. En caso de no existir dicho acuerdo, y de presentarse dos solicitudes diferentes, el proyecto IPAT será desarrollado por aquel que tenga y justifique a la CREG la mayor relación beneficio/costo.”
e) “Una vez en firme la resolución que oficializa los flujos de ingresos anuales para remunerar la inversión y los gastos de AOM del proyecto IPAT, el transportador incumbente dispondrá de cinco (5) días hábiles, contados a partir de la fecha de ejecutoria de la resolución en mención, para que el representante legal de la empresa manifieste por escrito a la CREG y a la UPME la voluntad irrevocable de ejecutar el proyecto, en el formato que se defina por parte de la Dirección Ejecutiva de la CREG a través de Circular.”
ART. 3° — Modificar el parágrafo 1 del artículo 4 de la Resolución CREG 102 008 de 2022, que quedará así:
“Parágrafo 1. El incremento de capacidad de transporte y la nueva capacidad de transporte resultante de la ejecución de un proyecto de bidireccionalidad que habilita capacidad de transporte en condición de contraflujo, que se pueda presentar en un tramo o en un grupo de gasoductos z de un sistema de transporte, debido a la ejecución de un proyecto IPAT, lo comercializará el transportador incumbente de acuerdo con las reglas de comercialización de capacidad de transporte dispuestas en la Resolución CREG 185 de 2020, o aquella que la modifique o sustituya.
Para efectos de lo anterior y en el caso de que un proyecto IPAT no sea ejecutado por el transportador incumbente, dicho transportador deberá suscribir un acuerdo con el ejecutor del proyecto IPAT, en el cual se determinen las funciones y responsabilidades para la prestación del servicio de transporte por parte del transportador incumbente, cuando sea necesario el uso de la infraestructura del proyecto IPAT para cumplir las obligaciones contractuales con los remitentes.”
ART. 4° — Modificar el artículo 17 de la Resolución CREG 102 008 de 2022, que quedará así:
Artículo 17. Proceso de pago de los transportadores a los adjudicatarios de proyectos PAGN o transportadores incumbentes que desarrollen proyectos IPAT. Para los proyectos del PAGN, adjudicados mediante procesos de selección, y para los proyectos IPAT ejecutados por los transportadores incumbentes en primera instancia, serán los transportadores operadores de los sistemas de transporte que sean utilizados por los beneficiarios de los proyectos, los responsables de liquidar, actualizar, facturar y recaudar el valor de los pagos de los beneficiarios, y transferirlos al adjudicatario.
Teniendo en cuenta lo dispuesto en el inciso final del artículo 2.2.2.2.29 del Decreto 1073 de 2015, los pagos a los que están obligados los beneficiarios por concepto de los proyectos de los planes de abastecimiento de gas natural, son parte de los pagos por la prestación del servicio de transporte de gas natural.
El valor a facturar a los beneficiarios que son atendidos directamente por el adjudicatario o el transportador incumbente que ejecuta un proyecto IPAT, se obtendrá de acuerdo con lo establecido en el ANEXO 4 de la presente resolución.
El valor a facturar a los transportadores de los demás sistemas de transporte y el cobro a los beneficiarios que ellos atienden, se hará de conformidad con lo siguiente:
a) Preparación de la información:
i. Se deberá utilizar la información más actualizada publicada por la UPME, en cualquier momento antes de la FPO o la fecha anticipada de entrada en operación (total o parcial) o con posterioridad a ella, sobre la identificación de los beneficiarios del respectivo proyecto PAGN.
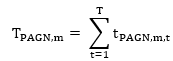
ii. Cada transportador, incluido el adjudicatario o el transportador incumbente que ejecuta en primera instancia el proyecto IPAT, calculará la demanda atendible por el proyecto PAGN de su sistema de transporte tPAGN,m,t en el mes de prestación del servicio m, con la información obtenida por medio del numeral i. anterior, de acuerdo con lo publicado por la UPME, aplicando la ecuación 3c del numeral 1.) del Anexo 4 de la presente resolución.
Cuando la UPME requiera agregar la demanda de varios beneficiarios del proyecto PAGN que estén conectados a lo largo de un tramo troncal, deberá indicar dicha situación. En el caso de que para un nodo se terminen los contratos de transporte que contienen los puntos de salida final de ese nodo, las cantidades proyectadas por la UPME para ese nodo deberán ser retiradas del cálculo por el transportador que atiende dichos contratos y se recalcularán los cocientes de participación de cada nodo, entre los nodos que permanecen, a partir de las cantidades proyectadas por la UPME.
Para lo anterior se asume que un nodo de demanda atendible proyectada por la UPME, que contiene los puntos de salida final de entrega, es atendido por un solo sistema de transporte.
Dado el caso que la UPME identifique que los beneficiarios de un proyecto PAGN son la totalidad de los usuarios del servicio que sean atendidos mediante la contratación de capacidad de transporte en cualquier punto del SNT y no especifique la demanda atendible proyectada por nodo, la demanda atendible será calculada por cada transportador para su sistema de transporte tPAGN,m, como igual a la capacidad de transporte contratada para el mes m, mediante cualquier modalidad contractual en el Mercado Primario, sea firme o con interrupciones, en los puntos de salida final de entrega al beneficiario que contrata el servicio de transporte de cualquier ruta o tramo del sistema de transporte correspondiente. Para el cálculo de lo anterior, cada transportador deberá aplicar la ecuación 3d del numeral 1.) del Anexo 4 de la presente resolución.
iii. Cada transportador, incluido el adjudicatario o el transportador incumbente que ejecuta en primera instancia el proyecto IPAT, informará al adjudicatario o al transportador incumbente que ejecuta en primera instancia el proyecto IPAT, a la SSPD y al Gestor del Mercado, el valor total de la cantidad de la demanda atendible tPAGN,m,t de su sistemas de transporte, para el mismo mes m, obtenida según el numeral ii. anterior. Lo anterior deberá realizarse en el primer día hábil del mes siguiente al mes de prestación del servicio del proyecto PAGN.
El Gestor del Mercado deberá publicar, en el cuarto día hábil del mes siguiente al mes de prestación del servicio del proyecto PAGN, la información anterior recibida de cada transportador, junto con la información del promedio mensual diario de las cantidades contratadas totales en el Mercado Primario para el respectivo transportador, que tiene los puntos de salida final de cada nodo de entrega a los beneficiarios que contratan el servicio, de acuerdo con los contratos de capacidad de transporte registrados por los transportadores.
iv. El adjudicatario o el transportador incumbente que ejecuta en primera instancia el proyecto IPAT, deberá determinar la participación en el pago de cada sistema de transporte que atiende beneficiarios del proyecto PAGN – PPAGN,m,t, con base en la información que le fue entregada, de acuerdo con el numeral iii. anterior, aplicando la ecuación 3b del numeral 1.) del Anexo 4 de la presente resolución. El adjudicatario o el transportador incumbente que ejecuta en primera instancia el proyecto IPAT, deberá informar la participación en el pago PAGN, PPAGN,m,t,, a cada uno de los transportadores que atienden beneficiarios en el mes de prestación del servicio del proyecto PAGN, como parte del soporte de la factura de cobro que se establece en el literal f) del presente artículo.
v. Los beneficiarios que serán objeto de recaudo por los transportadores, incluido el adjudicatario o el transportador incumbente que ejecuta en primera instancia el proyecto IPAT, serán los asociados a los contratos que correspondan a cualquier modalidad del Mercado Primario, vigentes en el mes de prestación del servicio del proyecto PAGN, para cada punto de salida final de entrega del nodo publicado por la UPME, en caso de que se hayan identificado los beneficiarios del proyecto por nodo, o en caso contrario, para cada punto de salida final de entrega al beneficiario que contrata el servicio de transporte, de acuerdo con lo establecido en el numeral 2.) del Anexo 4 de la presente Resolución.
vi. Para efectos de la comercialización de la capacidad disponible primaria asociada al transportador incumbente, para la aplicación de la Resolución CREG 185 de 2020 o aquellas que la modifiquen o sustituyan, se deberá tener en cuenta que:
a. La capacidad máxima de mediano plazo del proyecto IPAT, CMMPIPAT, debe ser la resultante del cálculo del Anexo 5 de la resolución CREG 175 de 2021 o aquellas que la modifiquen o sustituyan.
b. La CMMPIPAT del proyecto PAGN, no podrá ser inferior a la capacidad del proyecto adoptado en el PAGN.
c. La asignación de la contratación de la capacidad disponible primaria asociada a transportador incumbente, será primero la correspondiente a la capacidad existente disponible primaria del transportador incumbente y después de contratada dicha capacidad, se pasará a la contratación de la capacidad disponible primaria generada por el proyecto IPAT.
d. Para la ejecución de las nominaciones de los contratos de transporte en los que hay capacidad adicionada de proyecto IPAT, primero se utilizará la capacidad existente del transportador incumbente y después de ello, en caso de ser necesaria, se utilizará la capacidad generada por el proyecto IPAT.
b) El ingreso mensual a pagar al adjudicatario, se obtiene mensualizando, al dividir entre doce (12), el valor de IAE.
En el caso de la remuneración de los procesos de selección que no correspondan a IPAT, los valores en dólares se actualizarán mensualmente con la variación del CPI del mes anterior al mes de prestación del servicio, respecto del CPI del mes de diciembre que sirvió de referencia para ofertar los valores del IAE INVERSIÓN, y se liquidará con la TRM del último día calendario del mes de prestación del servicio.
Los valores en pesos se actualizarán mensualmente con la variación del IPC del mes anterior al mes de prestación del servicio, respecto del IPC del mes de diciembre que sirvió de referencia para ofertar los valores del IAE.
Los valores en pesos de los proyectos IPAT desarrollados por el transportador incumbente, que corresponden a los ingresos oficializados por la CREG mediante resolución específica, se actualizarán mensualmente conforme lo indique la metodología de transporte de gas natural vigente.
c) Para la facturación, liquidación y pago del primer mes de ingresos, se tomará en cuenta el primer mes calendario completo de prestación del servicio, con base en la certificación del auditor del proyecto, de acuerdo con lo establecido en el literal c) del artículo 24 de la presente resolución. En consecuencia, no se reconocerá facturación por fracción de mes.
d) El IMT se empezará a pagar al adjudicatario o al transportador incumbente que ejecuta proyectos IPAT, según sea el caso, en el mes siguiente al primer mes calendario completo de prestación del servicio.
e) Para los pagos mensuales a cargo de los transportadores, se descontarán del IMT las compensaciones por indisponibilidad a que haya lugar según lo establecido en el artículo 18 de la presente Resolución, los ingresos de corto plazo del proyecto, y los ingresos de servicios adicionales establecidos en el parágrafo del artículo 32 de la presente resolución.
f) El adjudicatario o el transportador incumbente que ejecute proyectos IPAT deberá facturar mensualmente a los transportadores de los demás sistemas de transporte que atienden beneficiarios del proyecto, dentro de los primeros cuatro (4) días hábiles del mes siguiente, m+1, al mes de prestación del servicio, m.
En la factura de cobro del adjudicatario o del transportador incumbente que ejecuta en primera instancia el proyecto IPAT a los transportadores de los demás sistemas de transporte responsables del recaudo a los beneficiarios, se deberá incluir el valor a recaudar de los beneficiarios para el mes m correspondiente y, adicionalmente, como soporte de la factura los siguientes aspectos:
(i) El factor de indisponibilidad para el mes m, obtenido de acuerdo con el literal a) del artículo 18 de la presente Resolución.
(ii) El valor de la compensación del mes m, calculada con el factor de indisponibilidad.
(iii) Los ingresos de corto plazo del proyecto, recibidos ya sea por i.) la facturación directa que hará el adjudicatario o el transportador incumbente que ejecuta en primera instancia el proyecto IPAT, por el mes m de prestación del servicio; y/o por, ii.) el valor que recibirá el adjudicatario del proyecto IPAT proveniente del transportador incumbente, de acuerdo con el resultado del parámetro IDk,m, según lo previsto en la resolución CREG 175 de 2021 o aquellas que la modifiquen o sustituyan. Para lo anterior, no podrá haber cruce de cuentas ni descuentos ni figuras similares, entre la facturación mensual al remitente de los valores a pagar por el uso de la infraestructura del proyecto PAGN y el valor a compensar al remitente por los incumplimientos mencionados, calculados de acuerdo con el Anexo 3 de la Resolución CREG 185 de 2020, o aquellas que la modifiquen o sustituyan
(iv) Los ingresos de servicios adicionales establecidos en el Parágrafo del artículo 32 de la presente resolución, correspondientes al mes m de prestación del servicio.
La anterior información deberá tener en cuenta el cumplimiento de lo establecido mediante la Resolución CREG 080 de 2019, o aquellas que la modifiquen, adicionen o sustituyan.
Para los numerales (ii), (iii) y (iv) anteriores, el adjudicatario o el transportador incumbente que ejecute proyectos IPAT, tendrá en cuenta aplicar previamente el cociente que corresponda a cada uno de los demás sistemas de transporte, de acuerdo con la información recibida de los transportadores en aplicación del numeral iv. del literal a) del presente artículo.
Para obtener el valor de los ingresos de corto plazo a informar a los transportadores de los demás sistemas de transporte que atienden beneficiarios del proyecto, el adjudicatario deberá adicionar a los ingresos de corto plazo obtenidos, el valor de las compensaciones reconocidas a los remitentes, originadas por cualquier otro tipo de incumplimiento del contrato diferente al causado por las indisponibilidades del servicio. Para demostrar lo anterior, el adjudicatario deberá discriminar los valores compensados por indisponibilidad y los valores compensados por las demás circunstancias previstas, de acuerdo con los contratos suscritos por la prestación de los servicios asociados al proyecto.
g) Los transportadores, incluido el adjudicatario o el transportador incumbente que ejecuta en primera instancia el proyecto IPAT, liquidarán y facturarán a los beneficiarios dentro de los ocho (8) días hábiles después de recibir la factura de cobro según el literal f) anterior, la prestación del servicio del proyecto PAGN, conforme a las disposiciones de la Resolución CREG 123 de 2013, o aquella que la modifique o sustituya, los valores obtenidos de acuerdo con la aplicación de las ecuaciones establecidas en el ANEXO 4.
h) Los beneficiarios tendrán cuatro (4) días hábiles para pagar el valor facturado por el transportador, contados a partir del recibo de la factura emitida.
i) Los transportadores de los demás sistemas de transporte transferirán al adjudicatario los montos recaudados de los beneficiarios, en un plazo máximo de cinco (5) días hábiles contados a partir del plazo máximo de pago establecido a los beneficiarios.
j) El transportador incumbente que comercializa los servicios de un proyecto IPAT ejecutado por un adjudicatario seleccionado por la UPME, en un plazo máximo de cinco (5) días hábiles contados a partir del plazo máximo de pago establecido a los remitentes, deberá trasladar a dicho adjudicatario el monto del parámetro IDk,m obtenido de acuerdo con lo previsto en la resolución CREG 175 de 2021 o aquellas que la modifiquen o sustituyan.
k) Los adjudicatarios no recibirán pagos por proyectos que hayan sido retirados del servicio.
Para la facturación anterior, el adjudicatario o el transportador incumbente que desarrolle proyectos IPAT, calculará la variable APAGN,m,t tal como se establece en el Anexo 4 de la presente resolución.
Parágrafo 1. Los transportadores de los demás sistemas de transporte que atiendan beneficiarios del Proyecto deberán constituir una garantía bancaria de pago con vigencia anual a favor del adjudicatario o transportador incumbente que desarrolle un proyecto PAGN, por el ciento por ciento (100%) del valor de dos (2) IMT que le corresponde a cada transportador, de acuerdo con lo establecido en el literal a) del presente artículo. La garantía deberá ser renovada anualmente durante todo el PEP antes de finalizar cada año del PEP.
Parágrafo 2. Finalizada la prestación del servicio del proyecto PAGN de acuerdo con las condiciones establecidas en la presente Resolución, la remuneración posterior de los servicios del proyecto PAGN dependerá de la conveniencia de contar con el proyecto a futuro, y su cálculo será definido por la CREG en dicho momento.”
ART. 5° — Adicionar el literal h) al artículo 18 de la Resolución CREG 102 008 de 2022, el cual quedará así:
h) “En el caso de que se presenten indisponibilidades del proyecto IPAT que impidan el cumplimiento de un contrato de transporte del transportador incumbente, el adjudicatario del proyecto IPAT deberá asumir el valor del pago de las compensaciones surgidas por dicho incumplimiento, establecidas en el artículo 14 de la Resolución CREG 185 de 2020 o aquellas que la modifiquen o sustituyan. En ese caso, no podrá haber cruce de cuentas ni descuentos ni figuras similares, entre la facturación al remitente de los valores a pagar por el uso de la infraestructura IPAT y el valor a compensar al remitente por los incumplimientos mencionados, calculados de acuerdo con el Anexo 3 de la Resolución CREG 185 de 2020, o aquellas que la modifiquen o sustituyan.”
ART. 6° — Modificar el parágrafo 2 al artículo 19 de la Resolución CREG 102 008 de 2022, que quedará así:
“Parágrafo 2. El vendedor de capacidad de transporte en el Mercado Secundario que sea sujeto de cobro de un proyecto PAGN por tener contratos de capacidad de transporte suscritos en el Mercado Primario en puntos de salida final, donde se identifican los beneficiarios de tal proyecto, deberá aplicar la fórmula establecida en el numeral 3.) del Anexo 4 de la presente Resolución para calcular la porción del valor a cobrar por el proyecto PAGN al comprador del respectivo contrato del Mercado Secundario.”
ART. 7° — Adicionar el artículo 33 a la Resolución CREG 102 008 de 2022, el cual quedará así:
“Artículo 33. El parámetro FIC de la ecuación establecida en el artículo 43.2 de la Resolución CREG 175 de 2021, tomará el valor de cero (0).”
ART. 8° — Modificar el Anexo 4 de la Resolución CREG 102 008 de 2022, el cual quedará así:
“Anexo 4. Cálculo de los montos a facturar a los beneficiarios
Con el fin de realizarse los pagos por parte de los beneficiarios de los proyectos, se desarrollarán las siguientes ecuaciones para la facturación del servicio:
1.) Facturación a los transportadores por parte del adjudicatario o del transportador incumbente que desarrolle proyectos IPAT
El adjudicatario o el transportador incumbente que ejecute en primera instancia un proyecto IPAT, desarrollará las siguientes ecuaciones con el fin de obtener el valor total a facturar a los transportadores que atienden beneficiarios del proyecto PAGN en los sistemas de transporte que operan:
.png)
Donde:
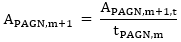
Valor total a facturar por el adjudicatario o el transportador incumbente que ejecute un proyecto IPAT, en el mes m+1, por el servicio prestado en el mes m por el proyecto PAGN. Dado en pesos/mes.
Ingreso mensual a pagar por parte de los beneficiarios, calculado como se expresa en el artículo 17, por el servicio prestado en el mes m por el proyecto PAGN. Dado en pesos/mes.
Valor de las compensaciones por indisponibilidad, por el servicio prestado en el mes m por el proyecto PAGN. Dado en pesos/mes.
Ingresos de corto plazo reales correspondientes a la prestación de servicios asociados al proyecto PAGN, obtenidos en el mes de prestación del servicio anterior al mes m, por el adjudicatario o por el transportador incumbente que ejecuta un proyecto IPAT o que comercializa un proyecto IPAT ejecutado por un adjudicatario de procesos de selección de la UPME.
En el caso de un proyecto IPAT, corresponde al valor IDk,m-1 calculado según el literal e) del artículo 36 de la Resolución CREG 175 de 2021 o aquellas que la modifiquen o sustituyan.
El valor de los ingresos de corto plazo para este cálculo deberá corresponder al valor a pagar por parte de los agentes, según los contratos suscritos para prestar los servicios del proyecto, antes de aplicarse cualquier tipo de compensación pactada en favor de los agentes contratantes, excepto las correspondientes a indisponibilidades a las que haya lugar. Dado en pesos/mes.
Para el mes siguiente al mes de publicación de la presente resolución, dado el caso de que existan ingresos del ejecutor del proyecto PAGN superiores a los establecidos en la remuneración oficializada por la CREG para dicho proyecto, que no hayan sido posibles de aplicar a favor de los beneficiarios del proyecto, en el cálculo del ICCPAGN,m-1 se deberán tener en cuenta el valor de esos ingresos extraordinarios.
Recursos provenientes en el mes m, de la ejecución de garantías asociadas a proyectos ejecutados mediante procesos de selección y proyectos del IPAT ejecutados por transportador incumbente, según se establece en el artículo 30 de la presente Resolución. Dado en pesos/mes.
Ingresos obtenidos por el adjudicatario por la prestación de servicios adicionales, durante el mes m, por el proyecto PAGN. Dado en pesos/mes.
PSA: Porcentaje del SAPAGN,m,t. Se definirá en resolución aparte para cada proyecto PAGN, si es del caso.
m: Corresponde al mes calendario en que se realiza la prestación del servicio.
Si el valor obtenido de APAGN,m+1 es menor que cero (0), no habrá lugar a facturación alguna por parte del ejecutor del proyecto del PAGN, ya sea adjudicatario o sea transportador incumbente que ejecute en primera instancia un proyecto IPAT. En ese caso, el ejecutor del proyecto PAGN deberá proceder con la aplicación de lo establecido para ello en el numeral 2.) del presente Anexo 4.
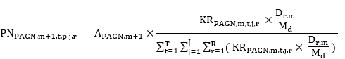
A partir del valor total obtenido con las ecuaciones 1 y 2 anteriores, el adjudicatario o el transportador incumbente que ejecute en primera instancia un proyecto IPAT, determinará el valor a facturar a cada transportador que atiende beneficiarios del proyecto PAGN, aplicando la siguiente ecuación:

(ecuación No. 3a)
Donde:
Valor total a facturar por el adjudicatario o transportador incumbente que ejecuta el proyecto IPAT, al transportador del sistema de transporte t en el mes m+1, por el servicio prestado en el mes m por el proyecto PAGN. Dado en pesos/mes.
PPAGN,m,t: Participación en el pago, del transportador del sistema de transporte t, en el mes m, de acuerdo con lo establecido en el numeral iv. del literal a) del artículo 17 de la presente resolución, por el servicio prestado en el mes m por el proyecto PAGN. Se calcula con seis decimales.
Con:

(ecuacion 3b)

(se aplica cuando la identificación de los beneficiarios se establece con nodos UPME)
(ecuación 3c)

(Se aplica cuando la identificación de los beneficiarios se establece con la totalidad del SNT)
(ecuación 3d)

(ecuación 3e)
Donde:
DPUPME,PAGN,m,t,p: Demanda atendible proyectada por la UPME para el nodo de referencia p, en el sistema de transporte t, para el mes m de prestación del servicio del proyecto PAGN. Dado en MPCD, con seis (6) decimales.
tPAGN,m,t: Valor total de la cantidad proyectada por la UPME, de la demanda atendible de los beneficiarios, en el sistema de transporte t, para el mes m de prestación del servicio del proyecto PAGN. Dado en MPCD, con seis (6) decimales.
TPAGN,m: Valor total de la cantidad proyectada por la UPME, de la demanda atendible de los beneficiarios en la totalidad de los sistemas de transporte t, para el mes m de prestación del servicio del proyecto PAGN. Dado en MPCD, con seis (6) decimales.
Capacidad contratada bajo cualquier modalidad contractual del Mercado Primario, en el contrato de capacidad de transporte r, por el beneficiario j, en el sistema de transporte t, que contiene el punto de salida final de entrega al beneficiario j, vigente en el mes m de prestación del servicio del proyecto PAGN. Dado en kPCD.
T: Número total de sistemas de transporte t, que atienden beneficiarios del proyecto PAGN, bajo cualquier modalidad contractual, en el Mercado Primario, mediante contratos de capacidad de transporte que contienen cada punto de salida final de entrega al beneficiario, vigentes en el mes m de prestación del servicio del proyecto PAGN.
J: Número total de beneficiarios j, del proyecto PAGN en el sistema de transporte t, atendidos bajo cualquier modalidad contractual, en el Mercado Primario, mediante contratos de capacidad de transporte, vigentes en el mes m de prestación del servicio del proyecto PAGN.
R: Número total de contratos de capacidad de transporte que contienen cada punto de salida final de entrega al beneficiario j, bajo cualquier modalidad, en el Mercado Primario, en el sistema de transporte t, vigentes en el mes m de prestación del servicio del proyecto PAGN.
Dr,m: Número de días calendario de duración del contrato de transporte r del Mercado Primario, en el mes m.
Md: Número de días calendario de duración del contrato de transporte r del Mercado Primario, en el mes m.
2.) Facturación a los beneficiarios por parte del transportador
Cada transportador que atiende beneficiarios del proyecto PAGN desarrollará los siguientes cálculos con el fin de facturar el valor que le corresponde cobrar a cada beneficiario del proyecto PAGN, en el sistema de transporte que opera, en cada contrato de capacidad de transporte del Mercado Primario de cualquier modalidad, en el punto de salida final en el que el beneficiario recibe el gas transportado:

(ecuación 4)
Con:

(ecuación 5)
Donde:
Valor a facturar en el contrato de transporte r del Mercado Primario, al beneficiario j, ubicado en el nodo de referencia p identificado por la UPME , en el sistema de transporte t, en el mes m+1, por el servicio prestado en el mes m por el proyecto PAGN y por los servicios comerciales prestados por el transportador del sistema de transporte t. Dado en pesos/mes.
Valor a facturar, excluyendo cobros por mora en pagos, en el contrato de transporte r del Mercado Primario, que contiene el punto de salida final de entrega al beneficiario j, en el nodo de referencia p identificado por la UPME, o en el punto de salida final al beneficiario que contrata el servicio de transporte de cualquier ruta o tramo del sistema de transporte correspondiente, en el sistema de transporte t, en el mes m+1, por el servicio prestado el mes m por el proyecto PAGN y por los servicios comerciales prestados por el transportador del sistema de transporte t. Dado en pesos/mes.
Valor a facturar en el contrato de transporte r del Mercado Primario, que contiene el punto de salida final de entrega al beneficiario j, en el nodo de referencia p identificado por la UPME, en el sistema de transporte t, en el mes m+1, por el servicio prestado en el mes m por el proyecto PAGN. Dado en pesos/mes.
RC: Riesgo de cartera que asume el transportador que recauda los valores facturados a los beneficiarios. Su valor es de 0.071%.
PAGN: Cada uno de los proyectos del PAGN.
m: Mes de prestación del servicio del proyecto PAGN.
Con:

(ecuación 6)

(se aplica cuando la identificación de los beneficiarios se establece con nodos UPME)
(ecuación 7a)

(se aplica cuando la identificación de los beneficiarios se establece con nodos UPME)
(ecuación 7b)

(se aplica cuando la identificación de los beneficiarios se establece como la totalidad del SNT)
(ecuación 7c)

(ecuación 7d)

(ecuación 8)
Donde:
Valor a facturar en el mes m+1, en el contrato de transporte r del Mercado Primario, por el servicio prestado, que contiene el punto de salida final de entrega al beneficiario j, ubicado en el nodo de referencia p identificado por la UPME, en el sistema de transporte t, por el servicio prestado en el mes m por el proyecto PAGN. Dado en pesos/mes.
Cociente de participación del nodo de referencia p, obtenido para el mes m. Se calcula con seis decimales.
KRPAGN,m,t,p,j,r: Capacidad contratada bajo cualquier modalidad contractual del Mercado Primario, en el contrato de transporte r, que contiene el punto de salida final de entrega al beneficiario j, ubicado en el nodo de referencia p identificado por la UPME, en el sistema de transporte t, en el mes m. Dado en kPCD.
p: Nodo de referencia que contiene el punto de salida final de entrega al beneficiario j, identificado por la UPME de acuerdo con lo establecido en los numerales i. y ii. del literal a) del artículo 17 de la presente resolución.
R: Número total de contratos de transporte r, bajo cualquier modalidad del Mercado Primario, que contienen el punto de salida final de entrega en el nodo de referencia p.
J: Número total de beneficiarios j, en el nodo de referencia p.
Dr,m: Número de días calendario de duración del contrato de transporte r del Mercado Primario, en el mes m.
Md: Número de días calendario de duración del mes M.
Impuestos y costos generados por la transferencia de recursos recaudados del contrato de transporte r del Mercado Primario, por el beneficiario j, que contiene el punto de salida final de entrega al beneficiario j, en el nodo de referencia p identificado por la UPMD, en el sistema de transporte t, en el mes m+1, para remunerar el servicio prestado por el proyecto PAGN. Dado en pesos/mes.
CFFm+1,t,j,r: Costo fijo que reconoce los servicios comerciales prestados en el contrato de transporte r del Mercado Primario, por el beneficiario j, al transportador del sistema de transporte t, en el mes m+1 por el recaudo y pago del proyecto PAGN. Dado en pesos/mes.
Con:

(ecuación 9)
Donde:
Costo total fijo incurrido por el transportador del sistema de transporte t, por los servicios prestados en el mes m+1. Dado en pesos/mes.
Número total de contratos r, bajo cualquier modalidad del Mercado Primario, que contienen el punto de salida final de entrega al beneficiario j, en el nodo de referencia p.
P:Total de los nodos de referencia p que son atendidos por el transportador del sistema de transporte t.
Margen operativo por las actividades establecidas en el artículo 17 de la presente Resolución, en el sistema de transporte t. Su valor es de 1.60%.
En el caso que el valor del parámetro TPAGN,m,t sea igual a cero (0), el valor del cociente de participación del nodo de referencia p, PPUPME,m, será igual al valor obtenido en el mes inmediatamente anterior en el que se haya presentado un valor de TPAGN,m,t diferente de cero (0).
El valor mensual del componente CEPAGN,m+1,t,p,j,r, calculado con la aplicación de la ecuación 5 del presente numeral, deberá ser informado al comprador de cada contrato del Mercado Primario en anexo a la factura mensual de cobro del servicio, establecida en el literal f) del artículo 1y de la presente resolución.
En el caso de que, para el mes de facturación de la prestación del servicio del proyecto PAGN, se hubiese obtenido un valor APAGN,m+1 menor que cero (0) como resultado de la aplicación de la ecuación 1 del presente Anexo 4, el valor absoluto del valor APAGN,m+1 obtenido será distribuido en el mismo mes m, por el transportador incumbente como un menor valor a cobrar en la facturación mensual de cada uno de los contratos de capacidad de transporte del tramo de gasoducto en que se ejecuta el proyecto PAGN, de cualquier modalidad contractual, de cualquier duración, de cualquier sentido de flujo y de cualquier pareja de cargos, en proporción a la participación del valor a facturar de cada contrato de capacidad de transporte. El menor valor a pagar por cada remitente se calculará de la siguiente manera, en cada contrato de capacidad de transporte del tramo en que se ejecutó el proyecto PAGN:

Donde:
MVPm+1,r,g,PAGN: Menor valor a pagar en el mes m+1, por parte del remitente r, por el contrato de capacidad de transporte g con el transportador incumbente, del tramo en que se ejecuta el proyecto PAGN. Dado en pesos/mes.
VFm+1,r,g,PAGN: Valor facturado en el mes m+1, por cada contrato de capacidad de transporte g con el transportador incumbente, del tramo en que se ejecuta el proyecto PAGN. Dado en pesos/mes.
G: Número total de contratos de capacidad de transporte con el transportador incumbente, de cualquier modalidad, de cualquier duración y de cualquier pareja de cargos, ejecutados en el mes m, del tramo en que se ejecuta el proyecto PAGN.
Si en un mismo contrato de capacidad de transporte del transportador incumbente, se incluyen rutas compuestas por diversos tramos, el transportador incumbente deberá realizar los cálculos teniendo en cuenta únicamente el valor de facturación que surge en virtud del tramo en que se ejecuta el proyecto PAGN.
Como máximo plazo, a partir de la facturación del tercer mes de prestación de servicio del proyecto PAGN se deberá aplicar el menor valor a pagar a los remitentes de acuerdo con lo arriba establecido. Dado el caso de que existan ingresos del ejecutor del proyecto PAGN superiores a los ingresos regulados oficializados, que no hayan sido posibles de aplicar a favor de los remitentes por este plazo máximo en los dos meses anteriores, en el cálculo de la facturación del tercer mes de prestación del servicio del proyecto PAGN se deberá tener en cuenta el valor de esos ingresos acumulados para ser distribuidos a favor de los remitentes.
COSTOS FIJOS

(ecuación 10)
Donde:
a) Licenciamiento

(ecuación 11)
Donde:
LCt: Costos del licenciamiento y/o desarrollo de software en los sistemas de cómputo (ERP), del transportador del sistema de transporte t, reportado anualmente. Dado en pesos/año.
b) Compensación gestión humana:

(ecuación 12)
Con:

(ecuación 13)
Donde:
CSm+1,t: Compensación por la gestión humana para el mes m+1, del transportador del sistema de transporte t, por las actividades de liquidación, facturación, recaudo y transferencia de recursos asociados a proyectos PAGN Dado en pesos/mes.
Costo promedio mensual para el mes m+1, del empleador del recurso humano capacitado para la función requerida, en tiempo completo, del transportador del sistema de transporte t. Dado en pesos/mes.
CAt: Costo promedio anual del empleador, por el talento humano capacitado para la función requerida, en tiempo completo, del transportador del sistema de transporte t. Dado en pesos/año.
d: Días del mes por el talento humano dedicado para la función requerida.
D: Días laborales por mes
c) Costo financiero de la garantía:

(ecuación 14)
Donde:
Costo financiero por la constitución de la garantía de pago incurrido por el transportador del sistema de transporte t, en el mes m+1, a favor del adjudicatario del proyecto PAGN. Dado en pesos/mes.
Tasa de interés efectiva mensual a aplicar por el transportador del sistema de transporte t, en el mes m+1, que refleja el costo financiero de la garantía de pago a favor del adjudicatario del proyecto PAGN.
Ingreso mensual calculado como se expresa en el artículo 17, de responsabilidad del transportador del sistema de transporte t, por el servicio prestado en el mes m por el proyecto PAGN, informado por el adjudicatario o el transportador incumbente que ejecuta proyectos IPAT, a cada transportador que atiende beneficiarios del proyecto de acuerdo con lo establecido en el literal f) del artículo 17 de la presente resolución. Dado en pesos/mes.
Donde:

El costo de la garantía para el mes m+1 equivale al costo financiero expresado como el interés efectivo mensual. El valor a ser considerado como costo financiero deberá ser informado a la CREG de acuerdo con el formato de reporte de información que se publicará mediante circular de la dirección ejecutiva. El transportador deberá reportar en dicho formato, el costo financiero a ser reconocido en el siguiente año calendario. Dicho valor será verificado en el año de aplicación, sustentado con la presentación de la garantía constituida.
COBROS POR MORA

Donde:
Cobros por mora en pagos en el contrato de transporte r del Mercado Primario, por el beneficiario j, al transportador del sistema de transporte t, ocasionado en el mes m+1, para el proyecto PAGN. Dado en pesos/mes.
Tasa de interés moratoria diaria vigente aplicada por el transportador del sistema de transporte t en el mes m, publicada por la Superintendencia Financiera de Colombia.
Días de mora del pago en el contrato de transporte r del Mercado Primario, del beneficiario j, al transportador del sistema de transporte t, en el mes m+1.
Saldo pendiente por pagar en el contrato de transporte r del Mercado Primario, por el beneficiario j, por el transportador del sistema de transporte t, por los servicios comerciales prestados en el mes m+1, para el proyecto PAGN. Dado en pesos.
3.) Facturación de los vendedores de capacidad de transporte del Mercado Secundario a los compradores de dicha capacidad
3.1. Cada vendedor del Mercado Secundario que reciba cobros de los transportadores mediante contratos de capacidad de transporte que este suscribió en el Mercado Primario que contienen el punto de salida final de entrega en un nodo identificado por la UPME como beneficiario del proyecto PAGN, aplicará las siguientes ecuaciones con el fin de incluir en la facturación del contrato del Mercado Secundario, el valor correspondiente de cobro del servicio prestado por el proyecto PAGN:

(ecuación 16)
Donde:
Valor a facturar en el contrato de transporte s del Mercado Secundario, al comprador c, que contiene el punto de salida final de entrega ubicado en el nodo de referencia p identificado por la UPME, en el sistema de transporte t, en el mes m+1, por el servicio prestado en el mes m por el proyecto PAGN y por los servicios comerciales prestados por el transportador del sistema de transporte t. Dado en pesos/mes.
Valor a facturar, excluyendo cobros por mora en pagos, en el contrato de transporte r del Mercado Primario, al beneficiario j, que contiene el punto de salida final de entrega, ubicado en el nodo de referencia p identificado por la UPME, en el sistema de transporte t, en el mes m+1, por el servicio prestado en el mes m por el proyecto PAGN y por los servicios comerciales prestados por el transportador del sistema de transporte t. Este valor debe ser idéntico al valor mensual informado por el vendedor del Mercado Primario para el contrato r. Dado en pesos/mes.
Capacidad contratada bajo cualquier modalidad contractual en el Mercado Secundario en el contrato de transporte s, por el comprador c, proveniente de la capacidad contratada en el Mercado Primario en el contrato de transporte r, que contiene el punto de salida final de entrega en el nodo de referencia p identificado por la UPME, en el sistema de transporte t, en el punto de salida final en el que el beneficiario recibe el gas transportado, en el mes m. Dado en KPCD.
Capacidad contratada bajo cualquier modalidad contractual del Mercado Primario en el contrato de transporte r, por el beneficiario j, que contiene el punto de salida final de entrega en el nodo de referencia p identificado por la UPME, en el sistema de transporte t, en el punto de salida final en el que el beneficiario recibe el gas transportado, en el mes m. Dado en kPCD.
p: Nodo de referencia, utilizado por la UPME de acuerdo con lo establecido en los numerales i) y ii) del literal a) del artículo 17 de la presente resolución, en el que está contenido el punto de salida del contrato de capacidad de transporte.
Número de días calendario de duración del contrato de transporte s del Mercado Secundario, en el mes m.
Dr,m: Número de días calendario de duración del contrato de transporte r del Mercado Primario, en el mes m.
3.2. Cada comercializador del Mercado Secundario que haya vendido en dicho Mercado a otro comercializador, una capacidad de transporte en un contrato de cualquier modalidad, parte de la capacidad comprada en un contrato de cualquier modalidad que contiene el punto de salida final de entrega en el nodo identificado por la UPME como beneficiario del proyecto PAGN, aplicará las siguientes ecuaciones con el fin de incluir en la facturación de la venta del contrato del Mercado Secundario, el valor correspondiente de cobro del servicio prestado por el proyecto PAGN en el punto de salida final en el que el beneficiario recibe el gas transportado:

(ecuación 17)
Donde:
Valor a facturar en el contrato de transporte l del Mercado Secundario, al comprador g, por el vendedor c, que contiene el punto de salida final de entrega en el nodo de referencia p identificado por la UPME, en el sistema de transporte t, en el mes m+1, por el servicio prestado en el mes m por el proyecto PAGN y por los servicios comerciales prestados por el transportador del sistema de transporte t. Dado en pesos/mes.
Valor facturado en el contrato de transporte s del Mercado Secundario, al comprador c, que contiene el punto de salida final de entrega en el nodo de referencia p identificado por la UPME, en el sistema de transporte t, en el mes m+1, por el servicio prestado en el mes m por el proyecto PAGN y por los servicios comerciales prestados por el transportador del sistema de transporte t. Dado en pesos/mes.
Capacidad contratada en el Mercado Secundario en el contrato de transporte l, por el comprador g, que contiene el punto de salida final de entrega en el nodo de referencia p identificado por la UPME, en el sistema de transporte t, en el mes m. Dado en KPCD.
Capacidad contratada bajo cualquier modalidad contractual en el Mercado Secundario en el contrato de transporte s, por el comprador g, que contiene el punto de salida final de entrega en el nodo de referencia p identificado por la UPME, en el sistema de transporte t, en el punto de salida final en el que el beneficiario recibe el gas transportado, en el mes m. Dado en KPCD.
p: Nodo de referencia, utilizado por la UPME de acuerdo con lo establecido en los numerales i) y ii) del literal a) del artículo 17 de la presente resolución, en el que está contenido el punto de salida del contrato de capacidad de transporte.
Número de días calendario de duración del contrato de transporte s del Mercado Secundario, en el mes m.
Dl,m: Número de días calendario de duración del contrato de transporte l del Mercado Secundario, en el mes m.”
ART. 9° —Vigencia. La presente resolución rige a partir de su publicación en el Diario Oficial, deroga el artículo 20 de la Resolución CREG 102 008 de 2022 y las demás normas que le sean contrarias.
Publíquese y cúmplase.