RESOLUCIÓN CREG 008 DE 2005 (S.V)

Fecha de publicación en el diario oficial No. 45.850: 14 MAR. 2005 / Última actualización del editor: 30 JUN. 2022.

 

Por la cual se regula el costo de compresión de gas natural y se determina la metodología para establecer el costo máximo unitario para el transporte de gas natural comprimido en vehículos de carga de que trata el artículo 34 de la Resolución CREG-011 de 2003

 

Nota: Derogada tácitamente por la Resolución CREG 137 de 2013.

 

La Comisión de Regulación de Energía y Gas

en ejercicio de sus atribuciones constitucionales y legales, en especial las conferidas por las Leyes 142 de 1994, y en desarrollo de los Decretos 1524 y 2253 de 1994.

 

CONSIDERANDO:

Que el artículo 73.11 de la Ley 142 de 1994, atribuyó a la Comisión de Regulación de Energía y Gas, la competencia para establecer las fórmulas para la fijación de las tarifas del servicio público domiciliario de gas combustible;

Que el artículo 87 de la Ley 142 de 1994, estableció los criterios bajo los cuales se debe definir el régimen tarifario de las empresas de servicios públicos;

Que la Comisión de Regulación de Energía y Gas mediante Resolución CREG-011 de 2003, estableció los criterios generales para remunerar las actividades de distribución y comercialización de gas combustible, y las fórmulas generales para la prestación del servicio público domiciliario de distribución de gas combustible por tubería;

Que en el artículo 34 de la Resolución CREG-011 de 2003 se establecen las fórmulas tarifarias generales para usuarios regulados del servicio público de gas natural comprimido;

Que en las fórmulas tarifarias generales para usuarios regulados del servicio público de gas natural comprimido establecidas en la Resolución CREG-011 de 2003 se incluyen los componentes TVm y Pm definidos así:

TVm: Costo máximo unitario en $/m3 para el transporte de gas natural comprimido en vehículos de carga de acuerdo con la metodología definida por la CREG en resolución independiente.

Pm: Costo de compresión del gas natural expresado en $/m3, establecido en resolución independiente por la CREG.

Que de conformidad con lo anterior es necesario definir la metodología aplicable al componente TVm y el costo de compresión Pm del gas natural expresado en $/m3;

Que en el año 2001, consciente de la necesidad de disponer de mayores elementos para regular la actividad de gas natural comprimido (GNC) para uso domiciliario, la Comisión contrató el estudio “Definición de Costos en el Transporte de Gas Natural Comprimido para Poblaciones”, el cual fue puesto a consideración de la industria y terceros interesados;

Que mediante Resolución CREG-001 de 2002 se sometió a consideración de los agentes, usuarios y terceros interesados los criterios generales para remunerar las actividades de distribución y comercialización de gas combustible y las fórmulas generales para el servicio de distribución de gas combustible por redes de tubería;

Que en el artículo 35 de la Resolución CREG-001 de 2002 se contempló la fórmula tarifaria para usuarios regulados del servicio público de gas natural comprimido, incluyendo los componentes TVm y Pm;

Que actualmente se realiza la actividad de GNC para atender usuarios de algunas poblaciones aisladas de los Sistemas de Transporte;

Que en el proceso de definición de cargos de distribución para el nuevo período tarifario, según la metodología general adoptada mediante la Resolución CREG-011 de 2003, se han encontrado varias iniciativas tendientes a utilizar la tecnología de GNC para la prestación del servicio público domiciliario de gas natural en poblaciones aisladas de los Sistemas de Transporte;

Que el GNC requiere las etapas de compresión, transporte y almacenamiento;

Que para efectos de estimar el costo de compresión Pm se considera la unidad constructiva para gas natural comprimido estipulada en el anexo 1 de la Resolución CREG-011 de 2003;

Que el costo máximo unitario para el transporte TVm contempla un costo por transporte en vehículos de carga que se puede determinar a partir de los costos de transporte que se establezcan para los recorridos entre los municipios en donde se encuentran las estaciones de compresión (orígenes) y los municipios donde se encuentran las estaciones de descompresión (destinos) y un costo de almacenamiento resultante de las inversiones en los módulos de almacenamiento con sus respectivos gastos de AOM;

Que el Ministerio de Transporte, mediante Decreto No. 1609 del 31 de julio de 2002, reglamentó, entre otros aspectos, el manejo y transporte terrestre automotor del gas natural;

Que el artículo 5º del Decreto 1609 del 31 de julio de 2002 establece los requisitos de la unidad de transporte y vehículo de carga destinado al transporte de mercancías peligrosas, consideradas entre ellas el gas natural;

Que para determinar los costos correspondientes al transporte de gas natural comprimido entre municipios origen y municipios destino, se pueden utilizar los resultados del estudio “Estimación de Costos de Transporte de GLP a granel y envasado en cilindros” elaborado por la firma Duarte Guterman & Cia. Ltda., el cual estimó una función de costo medio de transporte para diferentes escenarios de tipo de carretera, tipo de vehículo, tipo de carga (a granel y en cilindros);

Que la normatividad del Ministerio de Transporte contempla requerimientos idénticos para el transporte de GLP y GNC por lo cual se adecua la matriz resultado de dicho estudio al transporte del GNC;

Que el producto final del estudio es una matriz de costos de transporte entre par origen-destino expresada en $/Ton de Diciembre de 2002 y discriminada de acuerdo con la tipificación de vehículos con carga a granel o cilindros;

Que para el caso particular de transporte de GNC se considera la tipología de vehículos que transportan únicamente cilindros;

Que los activos requeridos para la etapa de descompresión del GNC hacen parte de la estación de puerta de ciudad que se remunera a través del cargo promedio de distribución aprobado para el respectivo Mercado Relevante de Distribución;

Que el parágrafo del Artículo 34 de la Resolución CREG-011 de 2003 estipula que los componentes TVm y Pm podrán incluirse dentro del componente Tm de la Fórmula Tarifaria General para el servicio de distribución de gas natural por gasoductos;

Que es necesario aclarar el procedimiento a seguir por los agentes para efectos de incluir, si es del caso, los componentes TVm y Pm dentro del componente Tm de la Fórmula Tarifaria General para el servicio de distribución de gas natural por gasoductos;

Que el Artículo 87.1 de la Ley 142 de 1994 establece que el régimen de tarifas procurará que estas se aproximen a lo que serían los precios de un mercado competitivo;

Que mediante Resolución CREG-064 de 2004, la Comisión de Regulación de Energía y Gas sometió a consideración de los agentes, usuarios y terceros interesados, la propuesta de regulación del costo de compresión de gas natural y la metodología para establecer el costo máximo unitario para el transporte de gas natural comprimido en vehículos de carga de que trata el artículo 34 de la Resolución CREG-011 de 2003;

Que el documento CREG-002 de 2005 contiene los comentarios recibidos sobre el proyecto de regulación, y el análisis del Comité de Expertos sobre los mismos;

Que con base en las observaciones recibidas y en análisis internos de la CREG, cuyos resultados están contenidos en el documento CREG-002 de 2005, la Comisión consideró necesario efectuar algunas modificaciones a la propuesta contenida en la Resolución CREG-064 de 2004;

Que la Comisión de Regulación de Energía y Gas, en su Sesión No. 250 del 24 de febrero de 2005, aprobó el contenido de la presente resolución;

 

RESUELVE

ART. 1º— Costo de compresión – Pm: El costo de compresión de gas natural para uso domiciliario se establece en 106.09 $/m3 (cifras a diciembre de 2003).

ART. 2º— Costo máximo unitario para el transporte – TVm: El costo máximo unitario en $/m3 para el transporte de gas natural comprimido en vehículos de carga se obtiene adicionando el costo del transporte más el costo del almacenamiento.

PAR. 1º— Procedimiento para determinar el costo de transporte: Para determinar el costo de transporte de GNC cada agente deberá adoptar el siguiente procedimiento:

1. Seleccionar el tipo de camión de acuerdo con los siguientes criterios:

a) Camión rígido hasta 4 ejes para abastecer aquellas poblaciones cuya demanda diaria es menor o igual a 1.500 m3,

b) Camión articulado para poblaciones cuya demanda diaria es superior a los 1.500 m3.

2. Determinar el costo de transporte de acuerdo con el tipo de camión requerido para cada municipio (destino) que forma parte del mercado relevante y considerando el municipio en donde se hace la compresión (origen). Lo anterior se obtiene a partir de la matriz origen - destino de GNC, que permanecerá actualizada y publicada en la página WEB de la Comisión.

3. Determinar el costo promedio ponderado de transporte de GNC multiplicando cada uno de los costos de transporte de cada municipio por la demanda mensual correspondiente y luego dividiendo por la suma de la demanda total correspondiente a GNC de los municipios considerados.

PAR. 2º— Costo del Almacenamiento: El costo de almacenamiento de gas natural comprimido para uso domiciliario se establece en 71.73 $/m3 (cifras a diciembre de 2003).

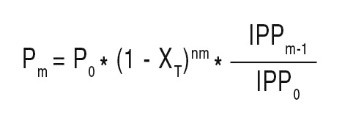
ART. 3º— Fórmula de actualización de los cargos Pm y TVm: El costo de compresión (Pm) de gas natural en $/m3 de que trata la presente Resolución y el costo máximo unitario en $/m3 para el transporte de gas natural comprimido en vehículos de carga (TVm) se actualizará utilizando las siguientes expresiones:

Donde:

Pm: Costo de Compresión del gas natural correspondiente al mes m de prestación del servicio.

P0: Costo de Compresión del gas natural aprobado por resolución de la CREG y expresado en precios de diciembre de 2003.

IPPm-1: Índice de Precios al Productor Total Nacional reportado por el Banco de la República para el mes (m-1).

IPP0: Índice de Precios al Productor Total Nacional reportado por el Banco de la República para diciembre de 2003.

XT: Factor de productividad mensual de la actividad de transporte de gas natural por ductos. Dicho factor será aplicable una vez la Comisión adopte el respectivo factor de productividad para la actividad de transporte de gas natural.

nm: Número de meses transcurridos desde la entrada en vigencia de la presente resolución.

La actualización del TVm se realizará para cada uno de sus componentes de la siguiente manera:

a) La matriz origen-destino de GNC será actualizada por la Comisión los primeros días de enero con el Índice de Precios al Consumidor y la pondrá a disposición de los agentes para que sea utilizada todo el año calendario.

b) El costo de almacenamiento será actualizado así:

Donde:

A: Costo de almacenamiento del gas natural correspondiente al mes m de prestación del servicio.

A0: Costo de almacenamiento del gas natural aprobado por resolución de la CREG y expresado en precios de diciembre de 2003.

IPPm-1: Índice de Precios al Productor Total Nacional reportado por el Banco de la República para el mes (m-1).

IPP0: Índice de Precios al Productor Total Nacional reportado por el Banco de la República para diciembre de 2003.

XT: Factor de productividad mensual de la actividad de transporte de gas natural por ductos. Dicho factor sería aplicable una vez la Comisión adopte el respectivo factor de productividad para la actividad de transporte de gas natural.

nm: Número de meses transcurrido desde la entrada en vigencia de la presente resolución.

ART. 4º— Fórmula para mercados atendidos con sistemas de transporte y distribución por gasoductos y transporte de GNC. Para aquellos Mercados Relevantes aprobados por la CREG y conformados por municipios atendidos con Sistemas de Distribución y Transporte de gas natural por gasoductos y Sistemas de Distribución de Gas Natural Comprimido - GNC, los componentes TVm y Pm podrán incluirse dentro del componente Tm de la Formula Tarifaria General adoptando la siguiente fórmula:

Donde:

Tm: Costo promedio máximo unitario en $/m3 para municipios atendidos con Sistemas de Distribución y Transporte de gas natural por gasoductos y Sistemas de transporte de gas natural comprimido, aplicable en el mes m.

Tmo: Costo promedio máximo unitario en $/m3 para el transporte de gas natural por gasoducto en cada Sistema de Transporte, aplicable en el mes m.

Qo: Volumen de gas en m3 transportado en gasoducto por cada Sistema de Transporte en el mes m. No debe ser superior al Q total del mercado, teniendo en cuenta que el QGNC usa el Sistema de Transporte.

TVm: Costo máximo unitario en $/m3 para el transporte de gas natural comprimido en vehículos de carga.

Pm: Costo de compresión del gas natural expresado en $/m3.

QGNC: Volumen de GNC en m3 transportado en vehículos de carga en el mes m.

PAR. 1º—Para fusionar los costos de transporte de municipios del mercado relevante atendidos a través de sistemas de transporte por gasoductos con municipios atendidos con transporte de GNC, al momento de iniciar la prestación del servicio se debe verificar que el costo de prestación del servicio de gas natural en puerta de usuario sea inferior al costo equivalente en unidades de energía del servicio de GLP en puerta de usuario, de acuerdo con los datos reportados por la CREG para este energético. En caso de ser mayor, se debe establecer un cargo de transporte y compresión independiente por municipio que refleje los costos reales de prestación del servicio, de lo contrario podrá aplicarse la fórmula establecida en el presente artículo. Lo anterior aplica para los municipios en los cuales no se estaba prestando el servicio con transporte de GNC a la entrada en vigencia de la Resolución CREG 011 de 2003.

PAR. 2º—Se podrá establecer un cargo promedio ponderado, por concepto de TVm y Pm, entre los municipios donde se establezcan cargos de transporte y compresión independientes y que pertenezcan a un mismo mercado.

ART. 5º— Vigencia. La presente Resolución rige a partir de la fecha de su publicación en el Diario Oficial.

 

PUBLÍQUESE Y CÚMPLASE