Ver Detalle
|
5.8. Reglas de actividad
Las demandas presentadas por los compradores habilitados, a partir de la ronda 1, estarán sujetas a las siguientes reglas de actividad:
a) Regla de actividad de los compradores habilitados: la demanda total de cada uno de estos compradores deberá mantenerse o reducirse en la medida en que avanza la subasta, así:
b) Regla de actividad de los compradores habilitados que desean retirar demanda b': cada comprador b', entendido como aquel que en la ronda r+1 solicite una cantidad de energía del producto C1f inferior a la que solicitó en la ronda r, deberá presentar al subastador el precio
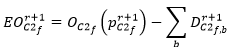
c) Regla de control de exceso de oferta: durante la subasta se controlará que la demanda de energía de un producto por parte de los compradores habilitados no se reduzca, de una ronda a otra, en una cantidad tal que se genere un exceso de oferta. Para esto el subastador dará aplicación a este procedimiento en cada ronda de la subasta:
i. Calculará el valor del exceso de demanda EDrC1f de la siguiente manera:
Donde:
EDrC1f : Exceso de demanda de energía del producto C1f en la ronda r. Este valor se expresará en MBTUD.
DrC1f,b : Cantidad de energía del producto C1f solicitada en la ronda r por parte del comprador habilitado b. Este valor se expresará en MBTUD. OC1f (prC1f) : Cantidad de energía del producto C1f ofrecida en la subasta por parte de todos los vendedores habilitados al precio prC1f. Este valor se expresará en MBTUD. r: Número de la ronda de la subasta . ii. Verificará si se cumple la siguiente condición: iii. Si no se cumple la condición anterior no habrá exceso de oferta y por tanto no habrá lugar a aplicar lo dispuesto en el resto de este literal. iv. Si se cumple la condición del numeral ii, calculará el exceso de oferta Donde:
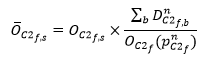
v. Eliminará el exceso de oferta Donde:
b1' : Comprador habilitado con el mayor precio, bm' : Comprador habilitado con el menor precio. b2' a bm-1' : Compradores habilitados con precios menores a
d) Regla de convergencia: En caso de que el exceso de demanda de energía de un producto C1f sea inferior a 100 MBTUD se considerará, para efectos del cierre de la subasta, que para este producto C1f no hay exceso de demanda. En este caso al finalizar la subasta las cantidades demandadas que exceden la OC1f (prC1f) se asignarán, o se racionarán, de acuerdo con las siguientes reglas: i. A los vendedores habilitados, comenzando con el que declaró el menor precio de reserva, PRC1f,s1 , y finalizando con el que declaró el mayor precio de reserva, PRC1f,sq se les dará la opción de ofrecer una cantidad tal que se elimine el exceso de demanda al precio de cierre de la subasta para el producto C1f. Siendo sq los vendedores habilitados que hayan declarado PRC1f,sq como precio de reserva del producto C1f.
ii. En caso de que ningún vendedor habilitado ofrezca la cantidad de energía que elimine el exceso de demanda, este exceso se eliminará racionando a los compradores habilitados a prorrata de las asignaciones del producto C1f..
5.9. Regla de terminación de la subasta
La subasta se terminará en la ronda n cuando para ninguno de los productos se presente exceso de demanda. A cada comprador habilitado se le adjudicará una cantidad igual a la suma de
5.10 Reglas de racionamiento
a) Regla de asignación para los vendedores habilitados que presenten el precio de reserva PRC1f,s1: Si para el producto C1f se presenta exceso de oferta desde la ronda cero (0) hasta la ronda n, a cada vendedor habilitado con precio de reserva PRC1f,s1 que ofrezca dicho producto se le racionará una cantidad tal que se elimine el exceso de oferta, así:
Donde:
OC1 f,s: Cantidad de energía del producto C1f ofrecida en la subasta por parte del vendedor s. Este valor se expresará en MBTUD.
b) Regla de asignación para los vendedores habilitados con precio de reserva igual a 5.11. Regla de minimización de contratos
Tras la terminación de la subasta, el administrador de la subasta definirá las partes de los contratos buscando minimizar el número de los mismos. Para estos efectos el administrador de la subasta:
a) Hará una lista de los vendedores habilitados del producto C1f, dejando en el primer lugar a aquel con la mayor cantidad asignada para la venta y en el último lugar a aquel con la menor cantidad asignada para la venta.
b) Hará una lista de los compradores habilitados del producto C1f, dejando en el primer lugar a aquel con la mayor cantidad asignada para la compra y en el último lugar a aquel con la menor cantidad asignada para la compra.
c) Con base en estas listas determinará las partes de los contratos. El primer comprador habilitado de la lista suscribirá un contrato con el primer vendedor habilitado de la lista. Los siguientes compradores habilitados en la lista suscribirán contratos con los vendedores habilitados con las mayores cantidades residuales del producto C1f. Si a un comprador habilitado se le asignó una cantidad mayor a la asignada al respectivo vendedor habilitado, el administrador de la subasta determinará sus contrapartes buscando minimizar el número de contratos mediante los pasos de los literales a) y b) anteriores.
Una vez surtido este proceso, el administrador de la subasta expedirá los correspondientes certificados de asignación de cada uno de los productos. 5.12. Regla de suscripción de los contratos
Una vez la Dirección Ejecutiva publique el informe de que trata el literal g) del numeral 4.2 de este Anexo, y si en él el auditor de la subasta establece que se dio cumplimiento a la regulación vigente aplicable a la subasta, los compradores y vendedores contarán hasta con siete (7) días hábiles para tener sus contratos debidamente suscritos ante el gestor del mercado. Para estos efectos, las partes podrán acordar de mutuo acuerdo las garantías contractuales, y en caso tal de no llegar a un acuerdo se deberán constituir los mecanismos de cumplimiento de que trata el numeral 7.1.1 de este Anexo. En estos contratos se deberán reflejar los resultados de la subasta.
Los vendedores y los compradores serán responsables de verificar la idoneidad de sus contrapartes, de acuerdo con los criterios objetivos que cada uno de ellos publique tres (3) semanas antes de la negociación mediante subasta. Los vendedores y los compradores sólo podrán abstenerse de suscribir un contrato cuando dicha verificación revele que su contraparte no cumple los mencionados criterios, caso en el cual deberán informarlo y soportarlo a la contraparte y a la autoridad competente, si fuera el caso; sólo estos eventos no serán considerados un incumplimiento. 6. Procedimiento de la subasta de contratos de suministro C2
6.1. Tipo de subasta
Subasta simultánea de “reloj ascendente”.
6.2. Productos
Los productos, C2f, que se negociarán mediante la subasta tendrán los siguientes atributos:
c) Modalidad contractual, C2: de acuerdo con lo dispuesto en el literal B del Artículo 23 de esta Resolución, en la subasta sólo se negociarán contratos de suministro C2, con duración de un (1) año para el año t. La fecha de inicio será el 1° de diciembre del año calendario en que se realiza la subasta y la fecha de terminación será el 30 de noviembre del año calendario siguiente.
d) Fuente, f: se deberá especificar el punto de entrega del gas natural. Se entenderá por punto de entrega el campo, punto de entrada al SNT o punto del SNT que corresponda al sitio de inicio o terminación de alguno de los tramos de gasoductos definidos para efectos tarifarios.
6.3. Tamaño de los productos
La cantidad de energía ofrecida por cada vendedor, bajo cada modalidad contractual, C2, corresponderá a un múltiplo entero de un (1) MBTUD y deberá corresponder a lo estipulado en el numeral 3 del literal B del Artículo 23.
6.4. Participación de los vendedores.
Con una antelación a la subasta de suministro C2 no menor a un (1) día hábil, el administrador de la subasta determinará y notificará la oferta de producto C2 para cada uno de los vendedores de que trata el Artículo 16, con base en lo estipulado en el Artículo 24. Asimismo, el administrador de la subasta calculará y publicará el porcentaje de firmeza mínima de los contratos de suministro C2, con base en las cantidades asignadas de contratos de suministro C1, para cada vendedor y por cada campo o punto de entrada. La firmeza mínima corresponderá a la parte firme fija (75%) más la parte de la opción de venta que no dependa de la ejecución de la parte variable de contratos de suministro C1.
El administrador de la subasta deberá verificar que las cantidades a ofrecer en contratos de suministro C2 estén enmarcadas dentro los mecanismos de cubrimiento entregados por cada vendedor se ajusten a lo dispuesto en el numeral 7 de este Anexo y que el vendedor no se encuentre en las listas o reportes asociados con actividades ilícitas de que trata el numeral 7.1.2 de este Anexo. Si se cumplen estos requisitos, el administrador de la subasta entenderá que es un vendedor habilitado para participar en la subasta y lo incluirá en el documento de que trata el literal j) del numeral 4.1 de este Anexo.
En el evento en que una oferta no se ajuste a lo aquí dispuesto el administrador de la subasta lo pondrá en conocimiento del vendedor respectivo, el cual dispondrá de 24 horas, contadas a partir del momento en que el administrador de la subasta lo haya informado, para la corrección correspondiente. Si cumplido este plazo el administrador de la subasta no recibe la oferta debidamente ajustada, éste entenderá que el vendedor no participará en la subasta.
La información señalada en este numeral deberá ser presentada a través del medio y de los formatos que defina el administrador de la subasta.
6.5. Declaración de interés de los compradores
A más tardar un (1) día hábil antes de la subasta, cada uno de los compradores a los que se hace referencia en el Artículo 17 de esta Resolución, con excepción de los agentes térmicos, deberá declarar ante el administrador de la subasta la máxima cantidad de energía que está dispuesto a comprar mediante contratos de suministro C2. Para estos efectos deberá presentar al administrador de la subasta la información señalada en la Tabla 7 de este Anexo.
Donde:
DC2b : Máxima cantidad de energía que será demandada en la subasta de contratos de suministro C2 por parte del comprador b. Este valor se expresará en MBTUD, deberá corresponder a un múltiplo entero de un (1) MBTUD y deberá ser igual o mayor a cien (100) MBTUD.
b: Comprador al que se hace referencia en el Artículo 17 de esta Resolución y que hace la declaración respectiva. Esta declaración deberá estar enmarcada dentro de los mecanismos de cubrimiento y de los formatos diligenciados de que tratan los numerales 7 y 7.1.2 de este Anexo. El administrador de la subasta deberá verificar que las cantidades declaradas por los compradores del presente numeral cuenten con garantías de respaldo conforme a los mecanismos de cubrimiento entregados por cada comprador según lo dispuesto en el numeral 7 de este Anexo. Previamente el administrador de las subastas deberá haber verificado que el comprador no se encuentre en las listas o reportes asociados con actividades ilícitas de que trata el numeral 7.1.2 de este Anexo, y que los sistemas computacionales y de comunicación requeridos por cada comprador funcionan adecuadamente según lo dispuesto en el literal i) del numeral 4.1 de este Anexo. Si se cumplen los requisitos anteriores, el administrador de la subasta entenderá que es un comprador habilitado para participar en la subasta y lo mantendrá en el documento de que trata el literal j) del numeral 4.1 de este Anexo. En el evento en que una declaración de demanda máxima no se ajuste a lo aquí dispuesto el administrador de la subasta lo pondrá en conocimiento del comprador respectivo, el cual dispondrá de 24 horas, contadas a partir del momento en que el administrador de la subasta lo haya informado, para la corrección correspondiente. Si cumplido este plazo el administrador de la subasta no recibe la declaración debidamente ajustada, éste entenderá que el comprador no participará en la subasta. La información señalada en este numeral deberá ser presentada a través del medio y de los formatos que defina el administrador de la subasta. 6.6. Ronda cero (0)
La subasta se iniciará con la ronda cero (0), en la cual tendrán lugar los siguientes eventos:
a) Para cada producto el subastador hará público el precio de inicio de la subasta y la cantidad total de energía ofrecida a ese precio, en los términos de la Tabla 8 de este Anexo.
Donde:
OC2f (prC2f) : Cantidad de energía del producto C2f ofrecida en la subasta por parte de todos los vendedores habilitados al precio prC2f . Este valor se expresará en MBTUD.
prC2f : Precio del producto C2f durante la ronda r. Este valor se expresará en dólares de los Estados Unidos de América por MBTU.
OC2f,s1 : Cantidad total de energía del producto C2f ofrecida en la subasta por parte de los vendedores s1 , siendo s1 los vendedores habilitados que hayan declarado PRC2f,s1 como precio de reserva del producto C2f. Este valor se expresará en MBTUD. PRC2f,s1 : Menor precio de reserva del producto C2f . Este valor se expresará en dólares de los Estados Unidos de América por MBTU. b) Una vez se publique la información a la que se hace referencia en el literal a) de este numeral, y durante el tiempo que determine el subastador, cada comprador habilitado le informará al subastador su demanda de energía de cada producto, para lo cual deberá declarar la información establecida en la Tabla 9 de este Anexo. Esto lo hará a través del medio y del formato que defina el subastador.
Donde:
DoC2f,b : Cantidad de energía del producto C2f solicitada en la ronda cero (0) por parte del comprador habilitado b. Este valor se expresará en MBTUD.
La demanda solicitada por cada comprador habilitado estará sujeta a que la energía demandada por el comprador habilitado b del producto C2 en todos los campos o fuentes de suministro, deberá ser igual o inferior a la demanda máxima declarada por dicho comprador habilitado, así:
En el evento en que una declaración de demanda no se ajuste a lo aquí dispuesto, el subastador entenderá que el comprador habilitado se retiró de la subasta. c) Si el subastador encuentra que para cada producto ofrecido al precio de reserva PRC2f,s1 la oferta es igual o superior a la demanda por el mismo, la subasta terminará en la ronda cero (0). En este caso, a cada comprador habilitado b se le adjudicará la cantidad de energía de cada producto que él demandó, DoC2f,b, al respectivo precio de inicio, PRC2f,s1 . Para estos efectos el subastador dará cumplimiento a lo dispuesto en los numerales 6.10 y 6.11 de este Anexo.
Si la demanda de uno o más productos es superior a la cantidad ofrecida a los precios de reserva PRC2f,s1, la subasta continuará. En este caso, el subastador continuará la subasta, dando aplicación a lo señalado en los numerales 6.7 a 6.11 de este Anexo.
6.7. Información al final de cada ronda
Al final de cada ronda r de la subasta, el subastador hará pública la siguiente información para cada producto:
a) Si hay o no exceso de demanda.
b) Precio de cierre de la siguiente ronda,
c) Oferta de gas,
d) Duración de la siguiente ronda.
6.8. Reglas de actividad
Las demandas presentadas por los compradores habilitados, a partir de la ronda 1, estarán sujetas a las siguientes reglas de actividad:
a) Regla de actividad de los compradores habilitados: la demanda total de cada uno de estos compradores deberá mantenerse o reducirse en la medida en que avanza la subasta, así:
b) Regla de actividad de los compradores habilitados que desean retirar demanda b': cada comprador b', entendido como aquel que en la ronda r+1 solicite una cantidad de energía del producto C2f inferior a la que solicitó en la ronda r, deberá presentar al subastador el precio
c) Regla de control de exceso de oferta: durante la subasta se controlará que la demanda de energía de un producto por parte de los compradores habilitados no se reduzca, de una ronda a otra, en una cantidad tal que se genere un exceso de oferta. Para esto el subastador dará aplicación a este procedimiento en cada ronda de la subasta:
i. Calculará el valor del exceso de demanda EDrC2f de la siguiente manera:
Donde:
EDrC2f : Exceso de demanda de energía del producto C2f en la ronda r. Este valor se expresará en MBTUD.
DrC2f,b : Cantidad de energía del producto C2f solicitada en la ronda r por parte del comprador habilitado b. Este valor se expresará en MBTUD.
OC2f (prC2f) : Cantidad de energía del producto C2f ofrecida en la subasta por parte de todos los vendedores habilitados al precio prC2f . Este valor se expresará en MBTUD.
r: Número de la ronda de la subasta.
ii. Verificará si se cumple la siguiente condición:
iii. Si no se cumple la condición anterior no habrá exceso de oferta y por tanto no habrá lugar a aplicar lo dispuesto en el resto de este literal.
iv. Si se cumple la condición del numeral ii, calculará el exceso de oferta
Donde:
v. Eliminará el exceso de oferta
Donde:
b1' : Comprador habilitado con el mayor precio, bm' : Comprador habilitado con el menor precio, b2' a bm-1' : Compradores habilitados con precios
d) Regla de convergencia: En caso de que el exceso de demanda de energía de un producto C2f sea inferior a 100 MBTUD se considerará, para efectos del cierre de la subasta, que para este producto C2f no hay exceso de demanda. En este caso al finalizar la subasta las cantidades demandadas que exceden la OC2f (prC2f ) se asignarán, o se racionarán, de acuerdo con las siguientes reglas: i. A los vendedores habilitados, comenzando con el que declaró el menor precio de reserva, PRC2f,s1, y finalizando con el que declaró el mayor precio de reserva, PRC2f,sq, se les dará la opción de ofrecer una cantidad tal que se elimine el exceso de demanda al precio de cierre de la subasta para el producto C2f. Siendo sq los vendedores habilitados que hayan declarado PRC2f,sq como precio de reserva del producto C2f.
ii. En caso de que ningún vendedor habilitado ofrezca la cantidad de energía que elimine el exceso de demanda, este exceso se eliminará racionando a los compradores habilitados a prorrata de las asignaciones del producto C2f.
6.9. Regla de terminación de la subasta
La subasta se terminará en la ronda n cuando para ninguno de los productos se presente exceso de demanda. A cada comprador habilitado se le adjudicará una cantidad igual a la suma de
6.10. Reglas de racionamiento
a) Regla de asignación para los vendedores habilitados que presenten el precio de reserva PRC2f,s1 : Si para el producto C2f se presenta exceso de oferta desde la ronda cero (0) hasta la ronda n, a cada vendedor habilitado con precio de reserva PRC2f,s1 que ofrezca dicho producto se le racionará una cantidad tal que se elimine el exceso de oferta, así:
Donde:
OC2f,s : Cantidad de energía del producto C2f ofrecida en la subasta por parte del vendedor s. Este valor se expresará en MBTUD.
b) Regla de asignación para los vendedores habilitados con precio de reserva igual a
7. Mecanismos de cubrimiento y de verificación de idoneidad
7.1. Mecanismos de cubrimiento para participar en las subastas
Cada comprador deberá presentar al administrador de la subasta los mecanismos de cubrimiento para participar en las subastas de suministro C1 y/o C2 que cubran: i) el riesgo de que el comprador no participe en la respectiva subasta; y ii) el riesgo de que el comprador que resulte con asignaciones en la respectiva subasta no suscriba el respectivo contrato y/o presente los correspondientes mecanismos de cumplimiento de que trata el numeral 7.1.1 de este Anexo.
Cada vendedor deberá presentar al administrador de la subasta los mecanismos de cubrimiento para participar en las subastas que cubran: i) el riesgo de que el vendedor que resulte con asignaciones en la subasta suscriba el respectivo contrato y/o no presente los correspondientes mecanismos de cumplimiento de que trata el numeral 7.1.1 de este Anexo.
El administrador de la subasta administrará los mecanismos de cubrimiento para participar en cada una de las subastas a través de un instrumento fiduciario regido por los criterios definidos por la Comisión en la Resolución CREG 163 de 2014. Este instrumento fiduciario recibirá y aprobará los mecanismos de cubrimiento, fungirá como su depositario, los ejecutará según instrucciones del administrador de la subasta y transferirá los recursos provenientes de la ejecución de los mecanismos de cubrimiento a quien lo indique el administrador de la subasta. Una vez el administrador de la subasta defina dicho instrumento, se lo informará a los participantes del mercado.
Al adoptar las reglas sobre los mecanismos de cubrimiento la CREG dejará en claro que los destinatarios de los recursos provenientes de la ejecución de los mecanismos de cubrimiento serán exclusivamente las partes afectadas.
La propuesta de los productores-comercializadores en relación con los mecanismos de cubrimiento a los que se hace referencia en los dos (2) primeros incisos de este numeral deberá contemplar lo siguiente:
a) Mecanismos admisibles de cubrimiento para participar en la subasta.
b) Determinación del valor de la cobertura para participar en la subasta.
7.1.1. Mecanismos de cubrimiento para el cumplimiento
Cada comprador y cada vendedor deberá presentar a su contraparte los mecanismos de cubrimiento para el cumplimiento de las obligaciones derivadas de la subasta de suministro C1 y/o de la subasta de suministro C2 respectivamente. Estos mecanismos de cubrimiento se deberán sujetar a las reglas establecidas por la CREG mediante la Resolución CREG 065 de 2015 o aquellas que la modifiquen, complementen o sustituyan.
La propuesta de los productores-comercializadores en relación con los mecanismos de cubrimiento a los que se refiere este numeral deberá contemplar lo siguiente:
a) Mecanismos admisibles de cubrimiento para el cumplimiento de las asignaciones que resulten en cada subasta.
b) Determinación del valor de la cobertura para el cumplimiento de las asignaciones que resulten en cada subasta.
7.1.2. Criterios de verificación de idoneidad
La propuesta de los productores-comercializadores en relación con los criterios de verificación de idoneidad de los vendedores y de los compradores deberá contemplar lo siguiente:
a) Formato para la declaración del origen de bienes y de los fondos para el desarrollo de su actividad.
b) Formatos para la declaración de que el comprador o el vendedor no se encuentran en listas o reportes asociados con actividades ilícitas. 5.7. Información al final de cada ronda Al final de cada ronda r de la subasta, el subastador hará pública la siguiente información para cada producto: a). Si hay o no exceso de demanda.
b). Precio de cierre de la siguiente ronda,
c). Oferta de gas,
d). Duración de la siguiente ronda.
6.11. Regla de minimización de contratos
Tras la terminación de la subasta, el administrador de la subasta definirá las partes de los contratos buscando minimizar el número de los mismos. Para estos efectos el administrador de la subasta:
a) Hará una lista de los vendedores habilitados del producto C2f, dejando en el primer lugar a aquel con la mayor cantidad asignada para la venta y en el último lugar a aquel con la menor cantidad asignada para la venta.
b) Hará una lista de los compradores habilitados del producto C2f, dejando en el primer lugar a aquel con la mayor cantidad asignada para la compra y en el último lugar a aquel con la menor cantidad asignada para la compra.
c) Con base en estas listas determinará las partes de los contratos. El primer comprador habilitado de la lista suscribirá un contrato con el primer vendedor habilitado de la lista. Los siguientes compradores habilitados en la lista suscribirán contratos con los vendedores habilitados con las mayores cantidades residuales del producto C2f. Si a un comprador habilitado se le asignó una cantidad mayor a la asignada al respectivo vendedor habilitado, el administrador de la subasta determinará sus contrapartes buscando minimizar el número de contratos mediante los pasos de los literales a) y b) anteriores.
Una vez surtido este proceso, el administrador de la subasta expedirá los correspondientes certificados de asignación de cada uno de los productos.
6.12. Regla de suscripción de los contratos
Una vez la Dirección Ejecutiva publique el informe de que trata el literal g) del numeral 4.2 de este Anexo, y si en él el auditor de la subasta establece que se dio cumplimiento a la regulación vigente aplicable a la subasta, los compradores y vendedores contarán hasta con siete (7) días hábiles para tener sus contratos debidamente suscritos ante el gestor del mercado. Para estos efectos, las partes podrán acordar de mutuo acuerdo las garantías contractuales, y en caso tal de no llegar a un acuerdo se deberán constituir los mecanismos de cumplimiento de que trata el numeral 7.1.1 de este Anexo. En estos contratos se deberán reflejar los resultados de la subasta.
Los vendedores y los compradores serán responsables de verificar la idoneidad de sus contrapartes, de acuerdo con los criterios objetivos que cada uno de ellos publique tres (3) semanas antes de la negociación mediante subasta. Los vendedores y los compradores sólo podrán abstenerse de suscribir un contrato cuando dicha verificación revele que su contraparte no cumple los mencionados criterios, caso en el cual deberán informarlo y soportarlo a la contraparte y a la autoridad competente, si fuera el caso; sólo estos eventos no serán considerados un incumplimiento.
5.6. Ronda cero (0)
La subasta se iniciará con la ronda cero (0), en la cual tendrán lugar los siguientes eventos:
a) Para cada producto el subastador hará público el precio de inicio de la subasta y la cantidad total de energía ofrecida a ese precio, en los términos de la Tabla 4 de este Anexo.
Donde:
Oc1f (prc1f) : Cantidad de energía del producto C1f ofrecida en la subasta por parte de todos los vendedores habilitados al precio prc1f . Este valor se expresará en MBTUD.
prc1f : Precio del producto C1f durante la ronda r. Este valor se expresará en dólares de los Estados Unidos de América por MBTU.
OC1 f,s1 : Cantidad total de energía del producto C1f ofrecida en la subasta por parte de los vendedores s1, siendo s1 los vendedores habilitados que hayan declarado PRC1f,s1 como precio de reserva del producto C1f. Este valor se expresará en MBTUD.
PRC1f,s1 : Menor precio de reserva del producto C1f. Este valor se expresará en dólares de los Estados Unidos de América por MBTU.
b) Una vez se publique la información a la que se hace referencia en el literal a) de este numeral, y durante el tiempo que determine el subastador, cada comprador habilitado le informará al subastador su demanda de energía de cada producto, para lo cual deberá declarar la información establecida en la Tabla 5 de este Anexo. Esto lo hará a través del medio y del formato que defina el subastador.
Donde:
Doc1 f,b : Cantidad de energía del producto C1f solicitada en la ronda cero (0) por parte del comprador habilitado b . Este valor se expresará en MBTUD. La demanda solicitada por cada comprador habilitado estará sujeta a que la energía demandada por el comprador habilitado b del producto C1 en todos los campos o fuentes de suministro, deberá ser igual o inferior a la demanda máxima declarada por dicho comprador habilitado, así: En el evento en que una declaración de demanda no se ajuste a lo aquí dispuesto, el sistema de subasta no deberá aceptar la solicitud ingresada por el comprador y solicitarle que sea ajustada.
c) Si el subastador encuentra que para cada producto ofrecido al precio de reserva PRC1f,s1 la oferta es igual o superior a la demanda por el mismo, la subasta terminará en la ronda cero (0). En este caso, a cada comprador habilitado b se le adjudicará la cantidad de energía de cada producto que él demandó, DoC1 f,b, al respectivo precio de inicio, PRC1f,s1 . Para estos efectos el subastador dará cumplimiento a lo dispuesto en los numerales 5.10 y 5.11 de este Anexo.
Si la demanda de uno o más productos es superior a la cantidad ofrecida a los precios de reserva PRC1f,s1, la subasta continuará. En este caso, el subastador continuará la subasta, dando aplicación a lo señalado en los numerales 5.7 a 5.11 de este Anexo.
5.5 Declaración de interés de los compradores
A más tardar diez (10) días hábiles antes de la subasta, cada uno de los compradores a los que se hace referencia en el Artículo 17 de esta Resolución deberá declarar ante el administrador de la subasta la máxima cantidad de energía que está dispuesto a comprar mediante contratos de suministro C1. Para estos efectos deberá presentar al administrador de la subasta la información señalada en la Tabla 3 de este Anexo.
Donde:
DC1b : Máxima cantidad de energía que será demandada en la subasta de contratos de suministro C1 por parte del comprador b. Este valor se expresará en MBTUD, deberá corresponder a un múltiplo entero de un (1) MBTUD y deberá ser igual o mayor a cien (100) MBTUD. b: Comprador al que se hace referencia en el Artículo 17 de esta Resolución y que hace la declaración respectiva. Esta declaración deberá estar enmarcada dentro de los mecanismos de cubrimiento y de los formatos diligenciados de que tratan los numerales 7 y 7.1.2 de este Anexo. El administrador de la subasta deberá verificar que los mecanismos de cubrimiento entregados por cada comprador se ajusten a lo dispuesto en el numeral 7 de este Anexo, que el comprador no se encuentre en las listas o reportes asociados con actividades ilícitas de que trata el numeral 7.1.2 de este Anexo, y que los sistemas computacionales y de comunicación requeridos por cada comprador funcionan adecuadamente según lo dispuesto en el literal i) del numeral 4.1 de este Anexo. Si se cumplen estos requisitos, el administrador de la subasta entenderá que es un comprador habilitado para participar en la subasta y lo incluirá en el documento de que trata el literal j) del numeral 4.1 de este Anexo. En el evento en que una declaración de demanda máxima no se ajuste a lo aquí dispuesto el administrador de la subasta lo pondrá en conocimiento del comprador respectivo, el cual dispondrá de 24 horas, contadas a partir del momento en que el administrador de la subasta lo haya informado, para la corrección correspondiente. Si cumplido este plazo el administrador de la subasta no recibe la declaración debidamente ajustada, éste entenderá que el comprador no participará en la subasta. La información señalada en este numeral deberá ser presentada a través del medio y de los formatos que defina el administrador de la subasta. 5.4. Participación de los vendedores
A más tardar diez (10) días hábiles antes de la subasta cada uno de los vendedores a los que se hace referencia en el Artículo 16 de esta Resolución deberán declarar ante el administrador de la subasta la oferta de producto C1. Para estos efectos le deberá presentar al administrador de la subasta la información señalada en la Tabla 2 de este Anexo, a través del medio y del formato que aquel defina. Esta declaración deberá estar enmarcada dentro de los mecanismos de cubrimiento y de los formatos diligenciados de que tratan los numerales 7 y 7.1.2 de este Anexo.
Donde:
OC1 f,s : Cantidad de energía para contratos de suministro C1 de la fuente f que será ofrecida en la subasta por parte del vendedor s, exclusivamente para el año t. Este valor se expresará en MBTUD.
s: Productor-comercializador o comercializador de gas importado que hace la declaración
El administrador de la subasta deberá verificar que los mecanismos de cubrimiento entregados por cada vendedor se ajusten a lo dispuesto en el numeral 7 de este Anexo y que el vendedor no se encuentre en las listas o reportes asociados con actividades ilícitas de que trata el numeral 7.1.2 de este Anexo. Si se cumplen estos requisitos, el administrador de la subasta entenderá que es un vendedor habilitado para participar en la subasta y lo incluirá en el documento de que trata el literal j) del numeral 4.1 de este Anexo. En el evento en que una oferta no se ajuste a lo aquí dispuesto el administrador de la subasta lo pondrá en conocimiento del vendedor respectivo, el cual dispondrá de 24 horas, contadas a partir del momento en que el administrador de la subasta lo haya informado, para la corrección correspondiente. Si cumplido este plazo el administrador de la subasta no recibe la oferta debidamente ajustada, éste entenderá que el vendedor no participará en la subasta. La información señalada en este numeral deberá ser presentada a través del medio y de los formatos que defina el administrador de la subasta. 5.3. Tamaño de los productos
La cantidad de energía ofrecida por cada vendedor, bajo cada modalidad contractual, C1, corresponderá a un múltiplo entero de un (1) MBTUD y deberá ser igual o superior al 25% de su PTDVF o CIDVF disponible conforme a lo estipulado en el numeral 1 del literal B del Artículo 23. 5.2. Productos
Los productos, C1f, que se negociarán mediante la subasta tendrán los siguientes atributos:
a) Modalidad contractual, C1: de acuerdo con lo dispuesto en el literal B del Artículo 23 de esta Resolución, en la subasta sólo se negociarán contratos de suministro C1, con duración de un (1) año para el año t. La fecha de inicio será el 1° de diciembre del año calendario en que se realiza la subasta y la fecha de terminación será el 30 de noviembre del año calendario siguiente.
b) Fuente, f: se deberá especificar el punto de entrega del gas natural. Se entenderá por punto de entrega el campo, punto de entrada al SNT o punto del SNT que corresponda al sitio de inicio o terminación de alguno de los tramos de gasoductos definidos para efectos tarifarios. 5. Procedimiento de la subasta de contratos de suministro C1
5.1. Tipo de subasta
Subasta simultánea de “reloj ascendente”. 4.7. Mecanismos de contingencia para las subastas
Cuando el sistema de subasta se suspenda por las causas señaladas a continuación, se procederá como se establece para cada una de ellas:
a) Suspensión por fallas técnicas durante el transcurso de una ronda.
Si el sistema de subasta interrumpe su operación por fallas técnicas durante el transcurso de una ronda y afecta total o parcialmente el servicio se procederá como se describe a continuación:
Una vez restablecida la operación del sistema de subasta, si a criterio del subastador existe tiempo suficiente durante el mismo día hábil para realizar de nuevo la ronda, el administrador procederá a informarlo. Esta ronda tendrá las mismas condiciones de precio de cierre y duración vigentes de la ronda en la cual se suspendió el servicio del sistema de subasta. Antes de iniciar de nuevo la ronda el sistema deberá eliminar la totalidad de las ofertas realizadas durante la ronda en la cual se presentó la suspensión.
Una vez restablecida la operación del sistema de subasta, si a criterio del subastador no existe tiempo suficiente para realizar nuevamente la ronda, el administrador procederá a informarlo y la operación del sistema se suspenderá hasta el día hábil siguiente. La nueva ronda tendrá las mismas condiciones de precio de cierre y duración de la ronda en la cual se suspendió el servicio del sistema de subasta. Antes de iniciar de nuevo la ronda el sistema deberá eliminar la totalidad de las ofertas realizadas durante la ronda en la cual se presentó la suspensión.
b) Suspensión parcial de la operación del sistema de subasta.
Se entenderá como suspensión parcial de la operación del sistema de subasta la falla asociada a las estaciones de trabajo de cualquiera de los compradores habilitados o de sus sistemas de comunicación.
Cuando se presente la suspensión parcial de la operación del sistema de subasta el comprador habilitado cuya estación de trabajo o sistema de comunicación falló deberá remitir, de acuerdo con la vía alterna establecida por el administrador de la subasta, las demandas de cada uno de los productos cumpliendo con la reglamentación vigente. Dichas demandas serán ingresadas al sistema de subasta conforme a los procedimientos establecidos por el administrador de la subasta.
El administrador de la subasta deberá informar estos mecanismos de contingencia a más tardar veinte (20) días calendario antes de la realización de la subasta de los contratos de suministro C1. 4.6. Sistema de subasta
Para cada una de las subastas, la plataforma tecnológica deberá cumplir con los siguientes requisitos mínimos:
a) Estar basada en protocolos de Internet.
b) Permitir el acceso a cada uno de los compradores habilitados desde el sitio en el territorio nacional donde estos dispongan de la infraestructura de computación y comunicaciones.
c) Mantener las bases de datos y servidores del sistema de subasta en el sitio que para tal fin establezca el administrador de la subasta.
d) Garantizar la autenticación de los usuarios que acceden al sistema.
e) Cumplir las exigencias establecidas en la legislación que rige en materia de comercio electrónico.
f) Tener un sistema que permita el manejo de información confidencial o sujeta a reserva legal.
g) Incluir sistemas de respaldo que garanticen la operación continua durante el proceso de subasta.
h) Estar dotado de un registro de todos los procesos realizados en él, incluyendo el registro de ingreso de cada uno de los usuarios.
i) Contar con los sistemas de respaldo que el administrador de la subasta considere necesarios para el correcto funcionamiento del sistema. El administrador de la subasta no será responsable por la suspensión o interrupción de los servicios, ni por las deficiencias mecánicas, electrónicas o de software que se observen en la prestación del servicio, derivadas de las limitaciones tecnológicas propias del sistema computacional, ni por cualquier otro hecho que escape al control del administrador, como caso fortuito o fuerza mayor.
El administrador de la subasta deberá contar con diez (10) estaciones de trabajo disponibles para la utilización por parte de aquellos compradores habilitados cuyos sistemas computacionales o de comunicaciones presenten fallas por cualquier hecho que escape del control de los compradores.
4.5. Obligaciones de los vendedores
a) A más tardar un (1) mes antes de la subasta de suministro C1 del numeral 5, cada uno de los vendedores a los que se hace referencia en el Artículo 16 de esta Resolución deberá enviar al administrador de la subasta el texto del contrato para cada una de las modalidades contractuales de suministro C1 y C2. El administrador de la subasta publicará los textos correspondientes tres (3) semanas antes de la subasta, identificando el nombre del vendedor correspondiente.
b) A más tardar diez (10) días hábiles antes de la subasta de suministro C1, cada uno de los vendedores a los que se hace referencia en el Artículo 16 de esta Resolución deberán declarar ante el administrador de la subasta el precio de reserva para los productos C1 y C2, para lo cual deberá aportar la información establecida en la Tabla 1 de este Anexo. Esto lo hará a través del medio y del formato que defina el administrador de la subasta.
Donde:
PRC1 f,s : Precio de reserva del producto C1 para la fuente f declarado por parte del vendedor s. Este valor se expresará en dólares de los Estados Unidos de América por MBTU. PRC2 f,s : Precio de reserva del producto C2f para la fuente f declarado por parte del vendedor s. Este valor se expresará en dólares de los Estados Unidos de América por MBTU. El precio de reserva para los productos C1 y C2 deberá ser mayor o igual a cero (0) y no podrá tener más de dos (2) cifras decimales. 4.4. Obligaciones de los compradores habilitados en relación con el uso del sistema de subasta
a) Tener a su disposición la estructura operativa y el equipo computacional y de comunicaciones apropiado de acuerdo con las especificaciones operativas y técnicas establecidas por el administrador de la subasta.
b) Utilizar y operar el sistema de subasta única y exclusivamente a través del personal debidamente capacitado para el efecto por el administrador de la subasta, que haya recibido el respectivo certificado de capacitación emitido por éste.
c) Acreditar ante el administrador de la subasta el cumplimiento de las obligaciones a que se refieren los literales a) y b) de este numeral, previo al inicio de cada subasta, mediante una declaración suscrita por el representante legal del comprador.
d) Permitir al administrador de las subastas la realización de las verificaciones a los sistemas computacionales y de comunicaciones utilizados por el comprador para su participación en la subasta.
e) Mantener las claves de acceso al sistema de subasta bajo su exclusiva responsabilidad y estrictos estándares de seguridad y confidencialidad.
f) Abstenerse de realizar actos contrarios a la libre competencia, actos contrarios a la legislación o a la regulación vigente y actos que afecten la transparencia del proceso o la adecuada formación de precios.
g) Informar de manera inmediata al administrador de la subasta cualquier error o falla del sistema de subasta. 4.3. Responsabilidades y deberes del subastador
Para cada subasta de producto C1 y de producto C2 el subastador deberá:
a) Anunciar, al inicio de la ronda cero (0), el menor precio de reserva de cada producto y la oferta correspondiente a este precio, en los términos de los numerales 5.6 y 6.6 de este Anexo.
b) Anunciar, al finalizar cada ronda: i) si hay exceso de demanda de cada producto; ii) el precio de cierre de cada producto en la siguiente ronda; iii) la oferta correspondiente al precio de cierre de cada producto en la siguiente ronda; y iv) el tiempo de duración de la siguiente ronda. Lo anterior en los términos del numeral 5.7 y 6.7 de este Anexo.
c) Declarar el cierre de la subasta e informar el precio de adjudicación de la misma para cada uno de los productos.
Para cada uno de los productos, el subastador pondrá en conocimiento de los vendedores habilitados y de los compradores habilitados, única y exclusivamente la información señalada en este numeral. 4.2. Responsabilidades y deberes del auditor de la subasta
a) Verificar la correcta aplicación de la regulación prevista para cada una de las subastas.
b) Verificar que las comunicaciones con el administrador de las subastas y el subastador se realicen única y exclusivamente mediante los canales formales de comunicación establecidos por el administrador de la subasta.
c) Verificar que durante cada una de las subastas se sigan expresamente los pasos y reglas establecidos en este Anexo.
d) Informar al administrador de las subastas las situaciones en las que considere que el mismo administrador o el subastador no están dando cumplimiento a las disposiciones contenidas en la regulación vigente, para que el administrador de las subastas tome los correctivos del caso de manera inmediata.
e) Informar a los órganos responsables de la inspección, vigilancia y control las situaciones en las que considere que los vendedores habilitados y los compradores habilitados no están dando cumplimiento a las disposiciones contenidas en la regulación.
f) Solicitar al administrador la suspensión de la subasta cuando considere que no se está dando cumplimiento a las disposiciones contenidas en la regulación.
g) Remitir a la CREG, dentro de los cinco (5) días calendario siguientes a la finalización de cada una de las subastas, un informe en el cual se establezca, sin ambigüedades, si se dio cumplimiento o no a la regulación aplicable a dicho proceso. La Dirección Ejecutiva de la CREG publicará el informe de cada subasta mediante una circular.
Para los casos en los cuales el auditor de las subastas establezca que en la subasta respectiva no se dio cumplimiento a la regulación, el proceso adelantado no producirá efectos, y se programará la subasta de nuevo. Lo anterior sin perjuicio de las acciones penales y/o civiles y las actuaciones administrativas a que haya lugar contra las personas que hayan incumplido la regulación. 4. Organización de la subasta
4.1. Responsabilidades y deberes del administrador de la subasta
a) Establecer, operar y mantener los sistemas de subasta, los cuales deberán estar disponibles a más tardar veinte (20) días calendario antes de la fecha programada para la realización de la subasta de producto C1.
b) Realizar a más tardar quince (15) días calendario antes de la fecha programada para la realización de la subasta de producto C1, a través de una empresa especializada, una auditoría operativa y de sistemas para verificar el adecuado funcionamiento de los sistemas de subasta y certificar su correcta operación frente a las especificaciones técnicas, operativas y de seguridad, respecto del programa y de los equipos. Igualmente, deberá remitir el certificado de dichas auditorías al auditor de las subastas antes de la fecha programada para la realización de la subasta de producto C1.
c) Elaborar los reglamentos que considere necesarios para llevar a cabo las actividades encomendadas para las subastas de producto C1 y producto C2, los cuales deberán ser puestos a consideración de la CREG para su concepto de no objeción a más tardar cuarenta (40) días calendario antes de la fecha programada para la realización de la subasta de producto C1. En especial deberá establecer la estructura computacional y de comunicaciones requerida para el acceso a los sistemas de subasta, así como los canales formales para su comunicación con el administrador y con el subastador.
La CREG dará su concepto de no objeción, de tal manera que a más tardar veinte (20) días calendario antes de la realización de la subasta de producto C1 sean públicos los reglamentos.
d) Ofrecer e impartir la capacitación y asistencia necesaria en el manejo y operación de los sistemas de subasta a los vendedores y compradores a los que se hace referencia en los Artículos 16 y 17 de esta Resolución.
e) Emitir los certificados de capacitación a las personas que la reciban y que demuestren un adecuado manejo y operación del sistema de subasta que corresponda.
f) Contratar el auditor de las subastas, proceso que debe estar finalizado por lo menos treinta (30) días calendario antes de la fecha programada para la realización de la subasta de producto C1.
g) Si el administrador de las subastas no desempeña el papel de subastador, deberá contratarlo, proceso que deberá estar finalizado por lo menos treinta (30) días calendario antes de la fecha programada para la realización de la subasta de producto C1.
h) Definir e informar, por lo menos veinte (20) días calendario antes de la fecha programada para la realización de la subasta de producto C1, el instrumento fiduciario mediante el cual se administrarán los mecanismos de cubrimiento de participación de las subastas de producto C1 y C2, según lo indicado en el numeral 7 de este Anexo.
i) Realizar a más tardar quince (15) días calendario antes de la fecha programada para la realización de la subasta de producto C1, a través de una empresa especializada, una auditoría de los sistemas computacionales y de comunicación requeridos por cada uno de los compradores de las subastas, y de sus correspondientes sistemas de respaldo, para verificar su adecuado funcionamiento. Los resultados de esta auditoría deberán ser remitidos al administrador de las subastas y al auditor de la subasta antes de la fecha programada para la realización de la subasta. Los compradores sólo podrán acceder al sistema de subasta correspondiente desde equipos localizados en el territorio nacional.
j) Elaborar un documento en el que se señale el nombre de los vendedores y de los compradores habilitados para participar en cada una de las subastas, según lo establecido en los numerales 5.4, 6.4, 5.5 y 6.5 de este Anexo. Este documento será confidencial y sólo lo conocerán el subastador y las autoridades competentes. La fecha de elaboración será definida en el cronograma que para tales efectos expida la CREG, de que trata el Artículo 22 de esta Resolución.
k) Entregar al representante legal de cada uno de los compradores habilitados para participar en las subastas, según lo establecido en los numerales 5.5 y 6.5 de este Anexo, una clave de acceso al sistema de subasta según corresponda. El comprador habilitado será el único responsable por el uso que sus operadores, funcionarios o cualquier persona hagan de la clave de acceso y deberá velar porque la misma se mantenga y use bajo estricta reserva y seguridad. El administrador de las subastas podrá establecer el uso de firma digital que sustituya las claves de que trata el presente literal.
l) Suspender la subasta cuando sea requerido por el auditor de la subasta o el subastador de conformidad con las disposiciones contenidas en el presente Anexo.
m) Emitir los certificados en los que se informe a los vendedores habilitados y a los compradores habilitados el resultado de cada una de las subastas.
n) Conservar registros históricos, en medios electrónicos, de la totalidad de las operaciones realizadas durante el desarrollo de las subastas, de conformidad con las disposiciones legales vigentes en materia de conservación de documentos.
En desarrollo del servicio al que se hace referencia en el numeral 3 del Artículo 5 de esta Resolución, el gestor del mercado será el administrador de la subasta. 3. Principios generales de la subasta
La subasta se regirá por los siguientes principios:
a) Eficiencia: el desarrollo de la subasta conducirá a la formación de precios eficientes de cada uno de los productos.
b) Publicidad: se garantizará a través de los mecanismos dispuestos en la presente Resolución.
c) Neutralidad: el diseño de la subasta y el reglamento de la misma no permitirán, inducirán o adoptarán prácticas de discriminación indebida en contra de alguno de los participantes.
d) Simplicidad y transparencia: los mecanismos de la subasta serán claros, explícitos y constarán por escrito, de tal forma que puedan ser comprendidos sin duda ni ambigüedad.
e) Objetividad: los criterios de adjudicación serán claros e imparciales. 2. Definiciones
Administrador de la subasta: persona natural o jurídica encargada de organizar las subastas.
Auditor de la subasta: persona natural o jurídica, con reconocida experiencia en procesos de auditoría, contratada por el administrador de la subasta para auditar el desarrollo de las mismas.
Año t: corresponderá al año que inicia el 1 de diciembre del año calendario en que se realizan las subastas y termina el 30 de noviembre del año calendario siguiente.
Compradores habilitados: compradores a los que se hace referencia en el Artículo 17 de esta Resolución que cumplen cabalmente con lo señalado en los numerales 5.5 y 6.5 de este Anexo.
Precio de adjudicación: es el precio que pagarán los compradores por el gas natural adjudicado a través de la subasta. Corresponde al precio de cierre de la última ronda de la subasta o al precio con el cual los compradores habilitados no reducirían cantidades de producto, según sea el caso.
Precio de cierre: es el precio máximo establecido por el subastador para cada una de las rondas siguientes a la ronda cero (0).
Precio de reserva: precio mínimo al cual se ofrece para la venta un producto en la subasta.
Producto C1: cantidad de energía bajo la modalidad de contrato de suministro C1, que se entrega diariamente en un campo, punto de entrada al SNT o punto del SNT que corresponda al sitio de inicio o terminación de alguno de los tramos de gasoductos definidos para efectos tarifarios, con duración de un (1) año.
Producto C2: cantidad de energía bajo la modalidad de contrato de suministro C2 que se entrega diariamente en un campo, punto de entrada al SNT o punto del SNT que corresponda al sitio de inicio o terminación de alguno de los tramos de gasoductos definidos para efectos tarifarios, con duración de un (1) año.
Ronda: período de tiempo definido por el subastador durante el cual los compradores habilitados presentan sus solicitudes de compra, de acuerdo con lo establecido en este Anexo. Sistema de subasta: corresponde a la plataforma tecnológica en la cual se desarrollará la subasta que se reglamenta en este Anexo. Subasta: proceso dinámico de negociación, con reglas definidas para la formación de los precios y las asignaciones de los productos, de acuerdo con lo establecido en este Anexo. Subastador: persona natural o jurídica, con experiencia como subastador en al menos tres (3) subastas de alguno de los siguientes tipos: i) simultánea de reloj ascendente; ii) simultánea de reloj descendente; o iii) simultánea de sobre cerrado. Puede ser el administrador de la subasta u otra persona que éste contrate. Vendedores habilitados: vendedores a los que se hace referencia en el Artículo 16 de esta Resolución que cumplen cabalmente con lo señalado en los numerales 5.4 y 6.4 de este Anexo. 1. Objeto
El presente reglamento tiene por objeto establecer las condiciones y procedimientos para la negociación del suministro de gas natural mediante subasta, según lo dispuesto en el Artículo 23 de esta Resolución. Notas Anexo derogado por el artículo 20 de la Resolución CREG 102 009 de 2024 |
