Título I
Disposiciones generales
ART. 1º— Objeto. Mediante esta Resolución se regulan aspectos comerciales del mercado mayorista de gas natural, como parte del reglamento de operación de gas natural. Esta Resolución contiene el conjunto de disposiciones aplicables a las negociaciones del suministro de gas natural utilizado efectivamente como combustible que se realicen en el mercado primario y en el mercado secundario.
PAR.— De conformidad con el artículo 11 de la Ley 401 de 1997 y los artículos 8 y 26 del Decreto 2100 de 2011, la regulación sobre los aspectos comerciales del gas con destino al procesamiento de gas natural, a su utilización como materia prima de procesos industriales petroquímicos, al consumo de los productores comercializadores o a la exportación será la que sobre el particular se profiera o haya sido proferida por las autoridades competentes. ART. 2º— Ámbito de aplicación. La presente Resolución aplica a todos los participantes del mercado de gas natural
ART. 3º— Modificado. Res. 102 009/2024 Art. 1. CREG. Definiciones. Para la interpretación y aplicación de esta Resolución se tendrán en cuenta las siguientes definiciones, además de las contenidas en la Ley 142 de 1994, los decretos del Gobierno Nacional y las resoluciones de la CREG.
Almacenador: participante del mercado que presta el servicio de almacenamiento, entendido servicio de almacenamiento en los términos del numeral 2.3 del RUT o aquellas que lo modifiquen o sustituyan. Su participación en el mercado mayorista de gas natural será objeto de regulación aparte.
Boletín Electrónico Central, BEC: página web en la que el gestor del mercado despliega información transaccional y operativa que haya sido recopilada, verificada y publicada conforme a los lineamientos de la presente Resolución. Es también una herramienta que permite a participantes del mercado intercambiar información para la compra y venta de gas natural y de capacidad de transporte de gas natural, con el propósito de facilitar las negociaciones en el mercado de gas natural y de dotar de publicidad y transparencia a dicho mercado.
Cantidades Importadas Disponibles para la Venta – CIDV. Adicionado. Res. 102 009/2024, art. 2º. CREG corresponde a la definición incluida en el artículo 2.2.2.1.4. del Decreto 1073 de 2015, o aquellos que lo modifiquen o sustituyan.
Comercialización: actividad consistente en la compra de gas natural y/o de capacidad de transporte en el mercado primario y/o en el mercado secundario y su venta con destino a otras operaciones en dichos mercados, o a los usuarios finales. En el caso de la venta a los usuarios finales también incluye la intermediación comercial de la distribución de gas natural.
Comercializador: participante del mercado que desarrolla la actividad de comercialización. En adición a lo dispuesto en la Resolución CREG 057 de 1996, el comercializador no podrá tener interés económico en productores-comercializadores, entendido el interés económico como los porcentajes de participación en el capital de una empresa que se establecen en el literal d) del artículo 6 de la Resolución CREG 057 de 1996, o aquellas que la modifiquen o sustituyan. Las empresas de servicios públicos que tengan dentro de su objeto la comercialización tendrán la calidad de comercializadores.
Comercializador de gas importado: agente importador de gas que vende el gas importado para la atención del servicio público domiciliario de gas combustible.
Comprador cesionario: persona jurídica con la cual un comprador primario celebra un contrato de cesión de derechos de suministro de gas. Deberá corresponder a alguno de los participantes del mercado que puede comprar gas natural en el mercado secundario, de acuerdo con lo dispuesto en esta Resolución.
Comprador de corto plazo: persona jurídica con la cual un comprador primario, un comprador cesionario o un comprador secundario celebra un contrato de compraventa de derechos de suministro de gas como resultado del proceso úselo o véndalo de corto plazo. Deberá corresponder a alguno de los participantes del mercado que puede comprar gas natural en el mercado secundario y que esté registrado en el BEC, de acuerdo con lo dispuesto en esta Resolución.
Comprador primario: persona jurídica con la cual un productor-comercializador o un comercializador de gas importado celebra un contrato para el suministro de gas natural. Deberá corresponder a alguno de los participantes del mercado que puede comprar gas natural en el mercado primario, de acuerdo con lo dispuesto en esta Resolución.
Comprador secundario: persona jurídica con la cual un comprador primario o un comprador cesionario celebra un contrato de compraventa de derechos de suministro de gas. Deberá corresponder a alguno de los participantes del mercado que puede comprar gas natural en el mercado secundario, de acuerdo con lo dispuesto en esta Resolución.
Condición de probable escasez: corresponderá a los eventos en que el precio del predespacho ideal del mercado mayorista de energía, en al menos una hora, sea igual o superior al 95% del precio de escasez de activación.
Contrato con interrupciones, CI: contrato escrito en el que las partes acuerdan no asumir compromiso de continuidad en la entrega o recibo de suministro de gas natural, durante un período determinado. El servicio puede ser interrumpido por cualquiera de las partes, en cualquier momento y bajo cualquier circunstancia, dando aviso previo a la otra parte.
Contrato de opción de compra de gas, OCG: contrato escrito en el que un agente garantiza el suministro de una cantidad máxima de gas natural durante un período determinado, sin interrupciones, cuando se presente la condición de probable escasez y en hasta cinco (5) días calendario adicionales definidos a discreción del comprador. El comprador pagará una prima por el derecho a tomar hasta la cantidad máxima de gas, y un precio de suministro al momento de la entrega del gas nominado. Las cantidades nominadas deberán ser aceptadas por el vendedor al ejercicio de la opción. La prima se pagará mensualmente.
Contrato de opción de compra de gas contra exportaciones, OCGX: contrato escrito en el que un agente garantiza el suministro de una cantidad máxima de gas natural, que está comprometida para exportaciones, durante un período determinado, sin interrupciones, cuando se presente la condición de entrega pactada entre el comprador y el vendedor. Dicha condición de entrega no podrá estar supeditada a la ocurrencia de aspectos técnicos y/u operativos. Las cantidades nominadas deberán ser aceptadas por el vendedor al ejercicio de la opción.
Contrato de suministro con firmeza condicionada, CFC: contrato escrito en el que un agente garantiza el suministro de una cantidad máxima de gas natural durante un período determinado, sin interrupciones, excepto cuando se presente la condición de probable escasez y excepto en hasta cinco (5) días calendario definidos a discreción del vendedor.
Contrato de suministro de contingencia, CSC. Modificado. Res. 102 009/2024, art. 1º. CREG. contrato escrito en el que un vendedor garantiza el suministro de una cantidad máxima de gas natural desde una fuente alterna de suministro, sin interrupciones, cuando el mismo vendedor u otro participante del mercado que suministra gas natural se enfrenta a un evento que le impide la prestación del servicio desde la(s) fuente(s) de suministro pactada(s). El suministro de gas natural desde la fuente alterna y mediante esta modalidad contractual sólo se realizará durante el período en que se presente el mencionado impedimento para la prestación del servicio. Esta modalidad contractual requiere contar con de Respaldo Físico, y deberá estar suscrito únicamente entre los Participantes del Mercado.
Contrato de suministro de contingencia, CSC: contrato escrito en el que un participante del mercado garantiza el suministro de una cantidad máxima de gas natural desde una fuente alterna de suministro, sin interrupciones, cuando otro participante del mercado que suministra o transporta gas natural se enfrenta a un evento que le impide la prestación del servicio. El suministro de gas natural desde la fuente alterna y mediante esta modalidad contractual sólo se realizará durante el período en que se presente el mencionado impedimento para la prestación del servicio.
Contrato de suministro C1: contrato escrito en el que el vendedor garantiza el servicio de suministro de una cantidad máxima de gas natural, con un componente fijo equivalente a un porcentaje de la cantidad máxima y un derecho del comprador a ejercer el porcentaje restante únicamente para su consumo y no para reventa. Corresponde a suministro sin interrupciones, durante un período determinado, excepto en los días establecidos para mantenimiento y labores programadas. Esta modalidad de contrato requiere de respaldo físico.
Contrato de suministro C2: contrato escrito en el que el vendedor ofrece el servicio de suministro de una cantidad máxima de gas natural, en el que se garantiza una parte fija, porcentaje de la cantidad máxima, y la cantidad correspondiente al porcentaje restante se considera firme siempre y cuando exista la disponibilidad por la no ejecución de las opciones de contratos de suministro C1. Corresponde a suministro sin interrupciones, durante un período determinado, excepto en los días establecidos para mantenimiento y labores programadas. Esta modalidad de contrato requiere de respaldo físico, de acuerdo con las condiciones establecidas en la presente resolución.
Contrato de suministro firme al 95%, CF95: contrato escrito en el que el vendedor garantiza el servicio de suministro de una cantidad diaria máxima de gas natural sin interrupciones, durante un período determinado, y el comprador se compromete a pagar en la liquidación mensual mínimo el 95% de la cantidad contratada correspondiente al mes, independientemente de que sea consumida o no, excepto en los días establecidos para mantenimiento y labores programadas. Esta modalidad de contrato requiere de respaldo físico.
Contrato firme o que garantiza firmeza, CF: contrato escrito en el que un agente garantiza el servicio de suministro de una cantidad máxima de gas natural y/o de capacidad máxima de transporte, sin interrupciones, durante un período determinado, excepto en los días establecidos para mantenimiento y labores programadas. Esta modalidad de contrato requiere de respaldo físico.
Contrato firme o que garantiza firmeza. Adicionado. Res. 102 009/2024, art. 2º. CREG corresponde a la definición incluida en el artículo 2.2.2.1.4. del Decreto 1073 de 2015, o aquellos que lo modifiquen o sustituyan.
Demanda Esencial. Adicionado. Res. 102 009/2024, art. 2º. CREG. corresponde a la definición incluida en el artículo 2.2.2.1.4. del Decreto 1073 de 2015, o aquellos que lo modifiquen o sustituyan.
Desbalance de energía positivo: diferencia entre la cantidad de energía entregada y la cantidad de energía tomada por un remitente en un día de gas que es mayor a cero.
Desbalance de energía negativo: diferencia entre la cantidad de energía entregada y la cantidad de energía tomada por un remitente en un día de gas que es menor a cero.
Día D-1: día oficial de la República de Colombia que va desde las 00:00 hasta las 24:00 horas del día calendario anterior al día de gas.
Día D-2: día oficial de la República de Colombia que va desde las 00:00 hasta las 24:00 horas del día calendario anterior al día D-1.
Día D+1: día oficial de la República de Colombia que va desde las 00:00 hasta las 24:00 horas del día calendario posterior al día de gas.
Día D+2: día oficial de la República de Colombia que va desde las 00:00 hasta las 24:00 horas del día calendario posterior al día D+1.
Día de gas: día oficial de la República de Colombia que va desde las 00:00 hasta las 24:00 horas, durante el cual se efectúa el suministro y el transporte de gas.
Ejecución de contratos: Hace referencia al proceso previo a la nominación que corresponde a cantidades comerciales, es decir, a las cantidades solicitadas por el comprador que son tenidas en cuenta para efectos de facturación.
Eventos de fuerza mayor, caso fortuito o causa extraña: eventos que de acuerdo con los artículos 64 del Código Civil y 992 del Código de Comercio, o aquellos que los modifiquen o sustituyan, eximen de la responsabilidad por incumplimiento parcial o total de obligaciones contractuales, si el mismo se deriva de ellos. Dichos eventos deben ser imprevistos, irresistibles y sin culpa de quien invoca la causa eximente de responsabilidad.
Eventos eximentes de responsabilidad en suministro: eventos taxativamente establecidos en la presente Resolución, distintos a los eventos de fuerza mayor, caso fortuito o causa extraña, que eximen de responsabilidad a los participantes del mercado por incumplimiento parcial o total de obligaciones contractuales, si éste se deriva de ellos, por estar razonablemente fuera de control de la parte que lo alega pese a la oportuna diligencia y cuidado debidos por dicha parte para prevenir o impedir su acaecimiento o los efectos del mismo. Las interrupciones por mantenimientos o labores programadas se considerarán eventos eximentes de responsabilidad, de acuerdo con lo dispuesto en esta Resolución.
Fuente de suministro. Adicionado. Res. 102 009/2024, art. 2º. CREG. Se entiende por fuente de suministro un campo de producción ubicado en el territorio colombiano o un punto de importación.
Gas Natural (GN). Adicionado. Res. 102 009/2024, art. 2º. CREG. es una mezcla de hidrocarburos livianos, principalmente constituida por metano, que se encuentra en los yacimientos en forma libre o en forma asociada al petróleo. El gas natural, cuando lo requiera, debe ser acondicionado o tratado para que satisfaga las condiciones de calidad de gas establecidas por la CREG en la Resolución 071 de 1999 o aquellas que la adicionen, modifiquen o sustituyan.
Gas disponible para contratos C2: corresponde al gas que cada vendedor tiene disponible para entregar en contratos C2, una vez descontadas las cantidades requeridas para cumplir con las ejecuciones de la parte variable de los contratos C1 que haya suscrito y se encuentren vigentes, conforme a lo estipulado en la presente Resolución.
Gestor del mercado: responsable de la prestación de los servicios de gestión del mercado primario y del mercado secundario, en los términos establecidos en la regulación de la CREG.
Indicador de formación de precios: valor indicativo determinado a partir de información de precios de un conjunto de puntos estándar de entrega.
Infraestructura de Importación. Adicionado. Res. 102 009/2024, art. 2º. CREG. es aquella infraestructura que permite entregar gas natural que ha sido obtenido en el exterior, al SNT o a otros medios de transporte, para abastecimiento de la demanda nacional.
Infraestructura de Regasificación. Adicionado. Res. 102 009/2024, art. 2º. CREG. corresponde a la definición incluida en el artículo 2.2.2.1.4. del Decreto 1073 de 2015, o aquellos que lo modifiquen o sustituyan.
Interconexión Internacional de Gas Natural. Adicionado. Res. 102 009/2024, art. 2º. CREG. corresponde a la definición incluida en el artículo 2.2.2.1.4. del Decreto 1073 de 2015, o aquellos que lo modifiquen o sustituyan.
Mercado mayorista de gas natural: conjunto de transacciones de compraventa de gas natural y/o de capacidad de transporte en el mercado primario y en el mercado secundario. También comprende las transacciones de intermediación comercial de la compra, transporte y distribución de gas natural y su venta a usuarios finales. Estas transacciones se harán con sujeción al reglamento de operación de gas natural.
Mercado primario: es el mercado donde los productores-comercializadores de gas natural y los comercializadores de gas importado pueden ofrecer gas natural.
Mercado secundario: mercado donde los participantes del mercado con derechos de suministro de gas pueden negociar sus derechos contractuales. Los productores-comercializadores de gas natural, los comercializadores de gas importado y los transportadores podrán participar como compradores en este mercado, en los términos de esta Resolución.
Oferta de cantidades importadas disponibles para la venta en firme, oferta de CIDVF: cantidad diaria promedio mes de gas natural, expresada en GBTUD, por punto de entrada al SNT, o por punto del SNT que corresponda al sitio de inicio o terminación de alguno de los tramos de gasoductos definidos para efectos tarifarios, que un comercializador de gas importado está dispuesto a ofrecer bajo las modalidades que garantizan firmeza según lo dispuesto en la presente resolución. Deberá ser igual o inferior a la cantidad importada disponible para la venta, CIDV, declarada según lo señalado en el Decreto 2100 de 2011 o aquel que lo modifique o sustituya.
Oferta de producción total disponible para la venta en firme, oferta de PTDVF: cantidad diaria promedio mes de gas natural, expresada en GBTUD, por campo, punto de entrada al SNT, o por punto del SNT que corresponda al sitio de inicio o terminación de alguno de los tramos de gasoductos definidos para efectos tarifarios, que un productor-comercializador está dispuesto a ofrecer bajo las modalidades que garantizan firmeza según lo dispuesto en la presente resolución. Deberá ser igual o inferior a la producción total disponible para la venta, PTDV, declarada según lo señalado en el Decreto 2100 de 2011 o aquel que lo modifique o sustituya.
Oferta de producción total disponible para la venta en pruebas - PTDV en pruebas. Adicionado. Res. 102 009/2024, art. 2º. CREG. cantidad diaria promedio mes de gas natural, expresada en GBTUD, por campo, punto de entrada al SNT, o por punto del SNT que corresponda al sitio de inicio o terminación de alguno de los tramos de gasoductos definidos para efectos tarifarios, que un productor-comercializador está dispuesto a entregar de manera continua y sin interrupciones, durante la ejecución de las pruebas extensas o antes de la declaración de comercialidad, según lo dispuesto en la presente resolución. Deberá ser igual o inferior a la producción total disponible para la venta, PTDV, declarada según lo señalado en el Decreto 1073 de 2015 o aquel que lo modifique o sustituya.”
Participantes del mercado: personas jurídicas entre las cuales se dan las relaciones operativas y/o comerciales de compra, venta, cesión, suministro y/o transporte de gas natural, comenzando desde la producción y pasando por los sistemas de transporte hasta alcanzar el punto de salida de un usuario. Son participantes los productores-comercializadores, los comercializadores de gas importado, los procesadores de gas en el SNT, los transportadores, los distribuidores, los comercializadores, los almacenadores y los usuarios no regulados.
Precio de Reserva. Adicionado. Res. 102 009/2024, art. 2º. CREG .Equivale a aquel precio que sirve de base, de mínimo o de inicio en un proceso de subasta o en un mecanismo de concurrencia de interesados en comprar gas natural en estado gaseoso, que sea desarrollado por un vendedor del Mercado Mayorista y que refleja el precio mínimo al cual se ofrece para la venta el gas natural.
Precio fijo o único. Adicionado. Res. 102 009/2024, art. 2º. CREG. Equivale a aquel precio al cual se ofrece para la venta una cantidad de gas determinada.
Procesador de gas en el SNT: participante del mercado que toma gas natural en un punto de salida del SNT dentro de las condiciones de calidad establecidas en el RUT, le extrae componentes e inyecta el gas natural residual al SNT dentro de las condiciones de calidad señaladas en el RUT. Su participación en el mercado mayorista de gas natural será objeto de regulación aparte.
Proceso úselo o véndalo de corto plazo de suministro: mecanismo por medio del cual se pone a disposición de los interesados el gas natural que haya sido contratado en el mercado primario y no haya sido nominado para el siguiente día de gas.
Productor-comercializador: es el productor de gas natural que vende gas en el mercado primario, con entrega al comprador en el campo, en un punto de entrada al SNT, o en un punto del SNT que corresponda al sitio de inicio o terminación de alguno de los tramos de gasoductos definidos para efectos tarifarios. Puede comprar gas en el mercado secundario, sin ser considerado un comercializador. El productor-comercializador no podrá realizar transacciones de intermediación comercial de la compra de gas natural y su venta a usuarios finales. En adición a lo dispuesto en la Resolución CREG 057 de 1996, el productor-comercializador no podrá tener interés económico en comercializadores, entendido el interés económico como los porcentajes de participación en el capital de una empresa que se establecen en el literal d) del artículo 6 de la Resolución CREG 057 de 1996.
Producción Total Disponible para la Venta – PTDV. Adicionado. Res. 102 009/2024, art. 2º. CREG. corresponde a la definición incluida en el artículo 2.2.2.1.4. del Decreto 1073 de 2015, o aquellos que lo modifiquen o sustituyan.
Promotor de mercado: participante del mercado, responsable de sostener negociaciones de contratos firmes en el mercado secundario, con el fin de estimular la liquidez de dicho mercado.
Puntos estándar de entrega: puntos del SNT definidos para la entrega del gas negociado en el mercado secundario.
Reglamento de operación de gas natural: conjunto de principios, criterios y procedimientos para regular el funcionamiento del mercado mayorista de gas natural. El reglamento de operación comprende varios documentos sobre los temas del funcionamiento del sector gas natural.
Reglamento único de transporte de gas natural, RUT: se refiere a la Resolución CREG 071 de 1999, sus modificaciones y adiciones.
Respaldo Físico. Adicionado. Res. 102 009/2024, art. 2º. CREG. Corresponde a la definición incluida en el artículo 2.2.2.1.4. del Decreto 1073 de 2015, o aquellos que lo modifiquen o sustituyan.
Responsable de la nominación de gas: será el comprador primario cuando éste no haya cedido sus derechos contractuales; o el comprador cesionario cuando haya suscrito la cesión de derechos de suministro de gas.
Spread: diferencia entre el precio de venta y el precio de compra de las ofertas que realiza un promotor de mercado.
Titular:, el titular de los derechos de suministro de gas será el último comprador en haber suscrito la compraventa o la cesión de tales derechos.
ART. 4º— Siglas. Para efectos de la presente Resolución se tendrán en cuenta las siguientes siglas:
ANH: Agencia Nacional de Hidrocarburos.
AOM: Administración, operación y mantenimiento.
BEC: Boletín Electrónico Central.
BTU: Abreviatura de British Thermal Unit.
CIDV: Cantidades importadas disponibles para la venta.
CIDVF: Cantidades importadas disponibles para la venta en firme.
CMMP: Capacidad máxima de mediano plazo.
CNOG: Consejo Nacional de Operación de Gas Natural.
CREG: Comisión de Regulación de Energía y Gas.
GBTU: Giga BTU.
GBTUD: Giga BTU por día.
KPC: Mil pies cúbicos estándar.
KPCD: Mil pies cúbicos estándar por día.
MBTU: Millón de BTU.
MBTUD: Millón de BTU por día.
OEF: Obligaciones de energía firme.
PTDV: Producción total disponible para la venta.
PTDVF: Oferta de producción total disponible para la venta en firme.
RUT: Reglamento único de transporte de gas natural.
SNT: Sistema nacional de transporte de gas.
UPME: Unidad de Planeación Minero Energética.
Título II
Gestor del mercado
ART. 5º— Servicios a cargo del gestor del mercado. El gestor del mercado prestará los siguientes servicios:
1. Diseño, puesta en funcionamiento y administración del BEC.
El gestor del mercado deberá diseñar, poner en funcionamiento y administrar el BEC, que deberá funcionar en su página web. A través del BEC el gestor del mercado prestará los servicios especificados en los numerales 2 y 4 del presente artículo. Así mismo, el gestor del mercado podrá hacer uso del BEC para prestar los servicios señalados en los numerales 3, 5 y 6 del presente artículo.
2. Centralización de información transaccional y operativa.
El gestor del mercado deberá:
a) Recopilar, verificar, publicar y conservar la información sobre el resultado de las negociaciones realizadas en el mercado primario y en el mercado secundario, tal como se establece en el Anexo 1 de esta Resolución y de la Resolución CREG 185 de 2020, o aquellas que las modifiquen o sustituyan.
b) Recopilar, verificar, publicar y conservar la información sobre el resultado de las negociaciones entre comercializadores y usuarios no regulados, tal como se establece en el Anexo 1 de esta Resolución y de la Resolución CREG 185 de 2020, o aquellas que las modifiquen o sustituyan.
c) Recopilar, verificar, publicar y conservar la información operativa del sector de gas natural, tal como se establece en el Anexo 1 de esta Resolución y de la Resolución CREG 185 de 2020, o aquellas que las modifiquen o sustituyan.
Como parte de este servicio el gestor del mercado publicará a través del BEC la información que se señala en los numerales 1, 2, 3 y 4 del Anexo 1 de esta Resolución y de la Resolución CREG 185 de 2020, o aquellas que las modifiquen o sustituyan. Cualquier persona podrá acceder, sin costo alguno, a esta información agregada y publicada por el gestor del mercado. El gestor del mercado podrá prestar otros servicios de información que podrán dar lugar a su cobro. 3. Gestión del mecanismo de subasta en el mercado primario de gas natural.
El gestor del mercado deberá facilitar la comercialización de gas natural en el mercado primario, para lo cual dará aplicación al procedimiento de negociación mediante el mecanismo de subasta a que se refiere el Artículo 23 de la presente Resolución. 4. Gestión de los mecanismos de comercialización del mercado secundario de gas natural.
El gestor del mercado deberá facilitar las negociaciones del mercado secundario, para lo cual dará aplicación a los procedimientos de que tratan el Artículo 33 y Artículo 36 de la presente Resolución y 29, 32 y 33 de la Resolución CREG 185 de 2020, o aquellas que los modifiquen o sustituyan. 5. Gestión del mecanismo de subasta previsto para los contratos con interrupciones en el mercado mayorista de gas natural.
El gestor del mercado deberá facilitar la comercialización de gas natural bajo la modalidad de contrato con interrupciones, para lo cual dará aplicación al procedimiento de negociación mediante el mecanismo de subasta a que se refiere el Artículo 40 de la presente Resolución. 6. Reporte de información para el seguimiento del mercado mayorista de gas natural.
En desarrollo de este servicio, el gestor del mercado pondrá a disposición de las entidades competentes la información transaccional y operativa que las mismas le soliciten para efectos de la regulación, inspección, vigilancia y control del mercado mayorista de gas natural. La entrega de esta información no dará lugar a cobro alguno por parte del gestor del mercado.
PAR. 1º— Todos los participantes del mercado están obligados a declarar la información señalada en el Anexo 1 de la presente Resolución y de la Resolución CREG 185 de 2020, o aquellas que lo modifiquen o sustituyan, según sea el caso. Dicha información deberá ser declarada de manera completa, ordenada y exhaustiva, de acuerdo con los formatos que establezca el gestor del mercado. En consecuencia, ninguna cláusula de confidencialidad en los contratos celebrados entre los participantes del mercado será oponible al gestor del mercado, pero éste deberá dar el manejo que corresponda a la información que revista carácter reservado.
PAR. 2º— La no declaración al gestor del mercado de la información señalada en el Anexo 1 de esta Resolución y de la Resolución CREG 185 de 2020, o aquellas que lo modifiquen o sustituyan podrá ser considerada por la autoridad competente como una práctica contraria a la libre competencia. Igual consideración se podrá dar a la declaración reiterada de dicha información de manera inconsistente. Lo anterior sin perjuicio de la responsabilidad derivada de la posible falla en la prestación del servicio que se cause por la no declaración de esta información.
PAR. 3º— El gestor del mercado no tendrá competencia para determinar la ocurrencia de casos de ejercicio de poder de mercado, prácticas contrarias a la libre competencia o similares. Tampoco tendrá potestades para sancionar comportamientos de los participantes del mercado.
PAR. 4º— En la elaboración de los formatos requeridos para la captura de información transaccional y operativa, según lo establecido en el Anexo 1 de esta Resolución y de la Resolución CREG 185 de 2020, o aquellas que lo modifiquen o sustituyan, el gestor del mercado podrá apoyarse en el CNOG. ART. 6º— Selección del gestor del mercado. Con la periodicidad que determine la CREG, ésta adelantará un concurso público para seleccionar al gestor del mercado que prestará los servicios establecidos en el Artículo 5 de esta Resolución. Dicho concurso estará sujeto a los principios de transparencia y selección objetiva y a la metodología definida por la CREG en resolución aparte. ART. 7º— Remuneración del gestor del mercado. La remuneración de los servicios prestados por el gestor del mercado estará sujeta a un esquema de ingreso regulado. Dicho ingreso se determinará con base en el proceso de selección de que trata el Artículo 6 de esta Resolución.
El ingreso regulado será pagado al gestor del mercado por los vendedores a los que se hace referencia en el Artículo 16 de la presente resolución que hayan suscrito contratos firmes y/o de suministro con firmeza condicionada. Los vendedores podrán incluir este costo en el precio del gas natural, al momento de la suscripción del contrato correspondiente. Título III
Aspectos comerciales del mercado primario
Capítulo I
Modalidades de contratos de suministro
ART. 8º— Modalidades de contratos permitidas. En el mercado primario sólo podrán pactarse las siguientes modalidades de contratos:
1. Contrato de suministro Firme al 95%, CF95.
2. Contrato de suministro C1.
3. Contrato de suministro C2.
4. Contrato de opción de compra de gas contra exportaciones.
5. Contrato de suministro de contingencia.
6. Contrato con interrupciones.
7. Contrato de suministro con firmeza condicionada.
8. Contrato de opción de compra de gas.
PAR. 1º— Los contratos de suministro de gas que estén en vigor a la entrada en vigencia de la presente Resolución continuarán rigiendo hasta la fecha de terminación pactada en los mismos. Sin embargo, las partes no podrán prorrogar su vigencia, con excepción de los casos señalados en los parágrafos 1 y 2 del Artículo 19 de esta Resolución.
PAR. 2º— A partir de la entrada en vigencia de la presente Resolución no podrán pactarse contratos en modalidades y/o condiciones diferentes a las contempladas en el presente artículo y en ningún caso se podrán pactar periodos de compensación para cantidades pagadas y no consumidas.
PAR. 3º— Los contratos que se pacten en el mercado primario deberán ser escritos, sin perjuicio de su naturaleza consensual. Cada contrato sólo podrá adoptar una de las modalidades contractuales establecidas en este artículo y no podrá contrariar, en forma alguna, la definición establecida en el Artículo 3 de la presente Resolución para la respectiva modalidad contractual. Dicha definición deberá estar en el objeto del contrato, así como en sus cláusulas, según su modalidad.
PAR. 4º— Todos los contratos del mercado primario serán de entrega física.
Capítulo II
Requisitos mínimos de los contratos de suministro
ART. 9º— Requisitos mínimos de los contratos de suministro. Los contratos referidos en los numerales 1,2,3 y 4 referidos en el Artículo 8 de la presente Resolución, con excepción de los contratos de contingencia y de los contratos con interrupciones, deberán cumplir los requisitos mínimos que se establecen en el presente capítulo y los mismos deberán estar en su clausulado.
PAR. 1 - En el caso de los contratos de contingencia y de los contratos con interrupciones las partes tendrán la potestad de determinar su contenido sin contrariar, en forma alguna, la definición establecida en el Artículo 3 de la presente Resolución para la respectiva modalidad contractual. Dicha definición deberá estar en el objeto del contrato, así como en sus cláusulas, según su modalidad.
PAR. 2 - Adicionado. Res. 102 009/2024, art. 3. CREG. Los requisitos mínimos de la CREG que se aplicarán durante la ejecución de los contratos de suministro de tipo firme, serán los establecidos al momento de la suscripción del contrato realizado entre las partes, en los casos de contratos que tiene como fuentes de suministro campos que no hayan declarado comercialidad, y en los demás casos, serán los establecidos al momento del registro de los mismos ante el gestor del mercado. En todo caso, las partes podrán acogerse voluntariamente a cambios en dichos requisitos, en caso de que la CREG los modifique de manera general en forme posterior, previo al inicio de ejecución del contrato o durante la misma.
Para efectos de lo anterior, en el caso de contratos de campos que no han declarado comercialidad al momento de la suscripción del contrato, los vendedores deberán comunicar al gestor del mercado que se ha suscrito el contrato o acuerdo comercial o documento de compromiso asimilable, cuya fecha servirá de referencia, dentro de los diez (10) días hábiles siguientes a que ocurra la suscripción, anexando la información con que se cuente de la establecida en el numeral 1.1 del Anexo 1 de la presente Resolución.
ART. 10º— Eventos de fuerza mayor, caso fortuito o causa extraña. En la ejecución de los contratos referidos en el Artículo 8 de la presente Resolución, con excepción de los contratos de contingencia y de los contratos con interrupciones, ninguna de las partes será responsable frente a la otra por el incumplimiento de las obligaciones contraídas por ellas, incluyendo demoras, daños por pérdidas, reclamos o demandas de cualquier naturaleza, cuando dicho incumplimiento, parcial o total, se produzca por causas y circunstancias que se deban a un evento de fuerza mayor, caso fortuito o causa extraña, según lo definido por la ley colombiana.
La ocurrencia de un evento de fuerza mayor, caso fortuito o causa extraña no exonerará ni liberará a las partes, en ningún caso, del cumplimiento de las obligaciones causadas con anterioridad a la ocurrencia de los hechos a los que se refiere este artículo.
En caso de que ocurra un evento de fuerza mayor, caso fortuito o causa extraña se deberá proceder de la siguiente forma:
1. La parte afectada directamente por el evento de fuerza mayor, caso fortuito o causa extraña notificará por escrito a la otra parte el acaecimiento del hecho, dentro de las veinticuatro (24) horas siguientes, invocando las circunstancias constitutivas del evento de fuerza mayor, caso fortuito o causa extraña.
2. La parte afectada directamente por el evento de fuerza mayor caso fortuito o causa extraña entregará por escrito a la otra parte, dentro de los cinco (5) días calendario siguientes al acaecimiento del hecho, toda la información necesaria para demostrar la ocurrencia del mismo y los efectos del evento en la prestación del servicio para la otra parte.
3. Una vez que la parte afectada directamente por el evento de fuerza mayor, caso fortuito o causa extraña haya hecho la notificación, se suspenderá el cumplimiento de la obligación de entregar o de aceptar la entrega, a partir del acaecimiento del respectivo hecho y hasta el momento en que haya cesado la causa eximente de responsabilidad y superado el evento, y se considerará que ninguna de las partes ha incumplido.
4. Si dentro de los diez (10) días hábiles siguientes al recibo de la notificación la parte no afectada directamente rechaza por escrito la existencia de un evento de fuerza mayor, caso fortuito o causa extraña se procederá de acuerdo con los mecanismos de solución de controversias previstos en el respectivo contrato, sin perjuicio de suspender el cumplimiento de las obligaciones afectadas. Si dentro del plazo de los diez (10) días hábiles mencionados la parte no afectada directamente no manifiesta por escrito el rechazo de la fuerza mayor, caso fortuito o causa extraña se entenderá que ha aceptado la existencia de la eximente de responsabilidad mientras duren los hechos constitutivos de la misma.
5. La parte que invoque la ocurrencia de un evento de fuerza mayor, caso fortuito o causa extraña deberá realizar sus mejores esfuerzos para subsanar la causa que dio lugar a su declaratoria, e informará por escrito a la otra parte, dentro de las veinticuatro (24) horas siguientes a la superación del evento, la fecha y hora en que fue superado. El cumplimiento de las obligaciones suspendidas se reiniciará el día de gas siguiente a la notificación de la superación del evento, siempre y cuando dicha notificación sea recibida por la parte no afectada directamente al menos dos (2) horas antes del inicio del ciclo de nominación para el siguiente día de gas. En caso contrario las obligaciones suspendidas se reiniciarán el segundo día de gas siguiente la notificación.
PAR. 1º— La obligación de los compradores de pagar el servicio de suministro del gas contratado se suspenderán durante los eventos de fuerza mayor, caso fortuito o causa extraña. En caso de que no se afecte la capacidad total de suministro el comprador deberá pagar la cantidad que efectivamente le fue entregada.
PAR. 2º— Las obligaciones suspendidas por la ocurrencia de un evento de fuerza mayor, caso fortuito o causa extraña se podrán reiniciar antes del período establecido en el numeral 5 de este artículo si las partes así lo convienen.
ART. 11º— Eventos eximentes de responsabilidad. Por evento eximente de responsabilidad se entenderá lo establecido en el Artículo 3 de la presente Resolución.
En los contratos a que se refiere el Artículo 8 de la presente Resolución, con excepción de los contratos de contingencia y de los contratos con interrupciones, únicamente podrán ser pactados los siguientes eventos eximentes de responsabilidad:
1. La imposibilidad parcial o total para la operación y funcionamiento de las instalaciones o infraestructura para la producción, manejo, entrega o recibo del gas, así como de las conexiones o las instalaciones de cualquiera de las partes, por actos malintencionados de terceros ajenos al control y manejo directo de cualquiera de las partes y sin su culpa, tales como los ataques o sabotajes terroristas o guerrilleros o las alteraciones graves del orden público, que directa o indirectamente contribuyan o resulten en la imposibilidad de alguna de las partes para cumplir con sus obligaciones.
2. Cesación ilegal de actividades, cuando esos actos contribuyan o resulten en la imposibilidad de cualquiera de las partes para cumplir con sus obligaciones.
3. Las suspensiones por labores programadas para reparaciones técnicas o mantenimientos periódicos, siempre que de ello se dé aviso amplio y oportuno conforme al protocolo al que se hace referencia en el parágrafo 3 de este artículo. Las suspensiones por este concepto estarán sujetas a lo establecido en el Artículo 12 de la presente Resolución.
4. Cuando por causas imputables a una de las partes del contrato no se haya realizado el registro de que trata el literal b) del numeral 1.2 del Anexo 1. En este caso la no entrega del gas natural debido a la inexistencia del registro serán consideradas como eventos eximentes de responsabilidad para la otra parte.
5. Adicionado. Res. 102 009/2024, art. 4º. CREG. Los eventos de fuerza mayor, caso fortuito o causa extraña y eventos eximentes de cualesquiera de los tramos del contrato de transporte del SNT que contiene el punto de entrada que sirve como punto de entrega del respectivo contrato de suministro.
6. Adicionado. Res. 102 009/2024, art. 4º. CREG. El evento eximente ocasionado por labores programadas para reparaciones técnicas o mantenimientos periódicos de cualesquiera de los tramos del contrato de transporte del SNT, que contiene el punto de entrada que sirve como punto de entrega del respectivo contrato de suministro, siempre que de ello se dé aviso amplio y oportuno conforme al protocolo al que se hace referencia en el parágrafo 3 de este artículo, y el parágrafo 3 del artículo 11 de la Resolución CREG 185 de 2020, o aquellas que la modifiquen o sustituyan.
7. Adicionado. Res. 102 009/2024, art. 4º. CREG. En el caso de los contratos de tipo firme que se registren por parte de los comercializadores de gas importado, con compradores que no lo destinan para la atención de la Demanda Esencial, se podrá pactar como un evento eximente de entrega del gas y, si así lo acuerdan las partes, la situación que se presenta cuando la nominación de regasificación de gas natural licuado total recibida, es decir, la suma de todas las nominaciones individuales recibidas para cualquier tipo de demanda, por el operador de la infraestructura de regasificación para un mismo día de gas, no sea igual o superior al valor del mínimo operativo técnico requerido por esa infraestructura para la regasificación del gas natural licuado.
La cantidad del mínimo operativo técnico deberá ser establecida en el contrato de suministro entre el comercializador de gas importado y el comprador, y deberá ser igual en cualquier contrato de suministro de ese mismo comercializador, independientemente del tipo de demanda que se contrata, siempre y cuando se trate de la misma infraestructura de regasificación.
PAR. 1º— La obligación de los compradores de pagar el servicio de suministro del gas contratado se suspenderá durante los eventos eximentes de responsabilidad. En caso de que no se afecte la capacidad total de suministro el comprador deberá pagar la cantidad que efectivamente le fue entregada.
PAR. 2º— Para los eventos señalados en los numerales 1 y 2 del presente artículo deberá seguirse el procedimiento establecido en el Artículo 10 de la presente Resolución. Las obligaciones suspendidas por la ocurrencia de un evento eximente de responsabilidad se podrán reiniciar antes del período establecido en el numeral 5 del Artículo 10 de la presente Resolución si las partes así lo convienen.
PAR. 3º— Los productores-comercializadores y los comercializadores de gas importado informarán al CNOG y coordinarán con dicho organismo las suspensiones por labores programadas para reparaciones técnicas o mantenimientos periódicos, de acuerdo con el protocolo que adopte la CREG. El CNOG someterá a consideración de la CREG dicho protocolo operativo del proceso de coordinación de mantenimientos e intervenciones en instalaciones de producción, importación y transporte de gas natural, establecido en la Resolución CREG 147 de 2015, o aquellas que la modifiquen o sustituyan.
Los compradores informarán a los productores-comercializadores, comercializadores de gas importado las suspensiones por labores programadas para reparaciones técnicas o mantenimientos periódicos con una anticipación no inferior a un mes.
ART. 12º— Duración permisible para suspensiones del servicio. La máxima duración de las suspensiones del servicio por labores programadas para reparaciones técnicas o mantenimientos periódicos que se podrá pactar en los contratos a que se refiere el Artículo 8 de la presente Resolución, con excepción de los contratos de contingencia y de los contratos con interrupciones, deberá ser la misma para cada una de las partes y, para cada una de ellas, no podrá ser superior a cuatrocientas ochenta (480) horas continuas o discontinuas durante un año.
PAR. 1º— La CREG podrá reducir gradualmente la duración máxima señalada en este artículo en la medida en que en el mercado mayorista haya las condiciones suficientes para reducir la duración permisible para estas interrupciones y/o se viabilice la importación de gas natural. Dichas reducciones serán aplicables a los contratos que se suscriban con posterioridad a la adopción de esa medida.
PAR. 2º— No se considerará un evento eximente de responsabilidad la suspensión del servicio por labores programadas para reparaciones técnicas o mantenimientos periódicos que excedan el menor tiempo entre aquel que adopte la CREG, de conformidad con el protocolo al que se hace referencia en el parágrafo 3 del Artículo 11 de la presente Resolución, y el establecido en el presente artículo. Lo anterior sin perjuicio de las demás normas que la CREG adopte en dicho protocolo. ART. 13º— Incumplimiento. Para efectos regulatorios se considera que se incumplen los contratos de suministro, con excepción de los contratos de contingencia y de los contratos con interrupciones, en los siguientes casos:
1. En el caso de los contratos de suministro de gas natural bajo las modalidades firme, de firmeza condicionada y de opción de compra:
a) Por parte del vendedor, cuando éste incumple su obligación de entregar la cantidad de energía nominada. En todo caso la cantidad nominada deberá ser igual o inferior a la cantidad de energía contratada por el comprador; además, el comprador deberá estar al día en el cumplimiento de su obligación de pago.
b) Por parte del comprador, cuando éste incumple su obligación de pagar el gas contratado.
2. En el caso de los contratos de suministro de gas natural bajo las modalidades de suministro C1:
a) Por parte del vendedor, cuando éste incumple su obligación de entregar la cantidad de energía nominada. En todo caso la cantidad nominada deberá ser igual o inferior a la cantidad de energía fija más la cantidad ejecutada de la parte variable por parte del comprador; además, el comprador deberá estar al día en el cumplimiento de su obligación de pago.
b) Por parte del comprador, cuando éste incumple su obligación de pagar el máximo entre el gas ejecutado y el componente fijo de la cantidad contratada.
3. En el caso de los contratos de suministro de gas natural bajo las modalidades de suministro C2:
a) Por parte del vendedor, cuando éste incumple su obligación de entregar la cantidad de energía de gas disponible en el programa definitivo para contratos C2 conforme al proceso de ejecución de contratos. En todo caso la cantidad nominada deberá ser igual o inferior a la cantidad de energía contratada por el comprador; además, el comprador deberá estar al día en el cumplimiento de su obligación de pago.
b) Por parte del comprador, cuando éste incumple su obligación de pagar el gas disponible para contratos C2.
4. En el caso de los contratos de suministro firme CF95:
a) Por parte del vendedor, cuando éste incumple su obligación de entregar la cantidad de energía nominada. En todo caso la cantidad nominada deberá ser igual o inferior a la cantidad de energía contratada por el comprador; además, el comprador deberá estar al día en el cumplimiento de su obligación de pago.
b) Por parte del comprador, cuando éste incumple su obligación de pagar el máximo entre el gas nominado y el componente 95% de la cantidad contratada, en la liquidación mensual.
5. Adicionado. Res. 102 009/2024, art. 5º. CREG. En el caso de los contratos de tipo firme que se registren por parte de los comercializadores de gas importado, con compradores que lo destinan para la atención de la Demanda Esencial, se considerará como incumplimiento por parte del comercializador de gas importado, la no entrega del gas nominado por el comprador, cualquiera sea dicha cantidad, siempre que no supere la cantidad máxima contratada, sin excepción alguna, incluso cuando la nominación de regasificación de Gas natural licuado total recibida, es decir, la suma de todas las nominaciones individuales recibidas para cualquier tipo de demanda por el operador de la infraestructura de regasificación para un mismo día de gas, no sea igual o superior al valor del mínimo operativo técnico requerido por esa infraestructura para la regasificación del gas natural licuado.
La cantidad del mínimo operativo técnico deberá ser establecida en el contrato de suministro entre el comercializador de gas importado y el comprador, y deberá ser igual en cualquier contrato de suministro de ese mismo comercializador, independientemente del tipo de demanda que se contrata, siempre y cuando se trate de la misma infraestructura de regasificación.
PAR. 1º— Las partes podrán definir otras circunstancias en que se configure un incumplimiento, sin que las mismas sean consideradas incumplimientos para efectos de esta Resolución.
PAR. 2º— Los productores-comercializadores y los comercializadores de gas importado deberán acotar la cantidad de energía a suministrar a las cantidades contratadas. El suministro de cantidades de energía por encima de las contratadas podrá ser considerado por las autoridades competentes como una práctica contraria a la libre competencia.
PAR. 3º— La cantidad de energía a suministrar por parte de un productor-comercializador o de un comercializador de gas importado y la cantidad de energía autorizada por parte de un transportador deberán ser iguales en el punto de entrada. Cualquier reducción en la cantidad de energía a suministrar o en la cantidad de energía autorizada para dar cumplimiento a esta disposición, que obedezca a que las cantidades nominadas no sean iguales, no será considerada un incumplimiento por parte del productor-comercializador, del comercializador de gas importado o del transportador, según corresponda.
PAR. 4º— La obligación de asegurar que la cantidad de energía nominada al vendedor sea igual o inferior a la cantidad de energía contratada por el comprador y la obligación de asegurar que la cantidad de energía nominada al transportador sea igual o inferior a la equivalencia energética de la capacidad contratada por el remitente comenzarán a regir a partir de los 60 días calendario siguientes al día en que inicie el período de vigencia de la obligación de prestación de los servicios a cargo del gestor del mercado. A partir de esa fecha dichas disposiciones aplicarán a todos los contratos de suministro y de transporte suscritos antes o después de la entrada en vigencia de esta Resolución.
PAR. 5º— Las disposiciones establecidas en el parágrafo 2 de este artículo comenzarán a regir a partir de los 60 días calendario siguientes al día en que inicie el período de vigencia de la obligación de prestación de los servicios a cargo del gestor del mercado. A partir de esa fecha dichas disposiciones aplicarán a todos los contratos de suministro suscritos antes o después de la entrada en vigencia de esta Resolución.
PAR. 6º - Adicionado. Res. 102 009/2024, art. 6º. CREG. No habrá incumplimiento del contrato de suministro, cuando el vendedor entregue las cantidades contractuales nominadas por el comprador, con gas natural proveniente de otra fuente de suministro, propia o de un tercero, diferente a la que se previó en el contrato de suministro, siempre y cuando esto no le implique al comprador asumir por esta razón, mayores costos en las demás actividades de la cadena de prestación del servicio.
ART. 14º— Compensaciones. En caso de que se presente alguno de los incumplimientos definidos en el Artículo 13 de esta Resolución, deberán pagarse únicamente las siguientes compensaciones: 1. En el caso de los contratos de suministro de gas natural bajo las modalidades firme, de firmeza condicionada, de opción de compra, firme CF95, de suministro C1 y de suministro C2:
a) Si el vendedor incumple sus obligaciones, conforme a lo dispuesto en los literales a) de los numerales 1, 2, 3 y 4 del Artículo 13 de esta Resolución, deberá reconocer y pagar al comprador el siguiente valor, según corresponda:
i. Cuando el incumplimiento no conlleve la interrupción del servicio a usuarios regulados, el valor que resulte de aplicar lo dispuesto en el numeral 1 del Anexo 2 de esta Resolución.
ii. Cuando el incumplimiento conlleve la interrupción del servicio a usuarios regulados, el valor que resulte de aplicar lo dispuesto en el numeral 2 del Anexo 2 de esta Resolución.
b) Si el comprador incumple su obligación de pagar el gas contratado, el vendedor podrá hacer efectivas las garantías que hayan sido pactadas en el contrato respectivo. Lo anterior sin perjuicio del cobro de los intereses de mora que se hayan previsto en el contrato.
PAR. 1º— Las sumas que resulten de aplicar lo dispuesto en el presente artículo deberán ser liquidadas mensualmente, por parte del beneficiario, y facturadas con la misma periodicidad de la facturación del servicio.
PAR. 2º— Lo establecido en el presente artículo no excluye la aplicación del artículo 992 del Código de Comercio para los contratos de transporte de gas natural.
PAR. 3º— La CREG determinará el momento a partir del cual las compensaciones definidas en este artículo podrán ser calculadas con base en los precios de las negociaciones realizadas en el mercado secundario. Dichas disposiciones serán aplicables a los contratos que se suscriban con posterioridad a la adopción de las mismas.
PAR. 4º— Si las partes definen otras circunstancias en que se configure un incumplimiento, según lo previsto en el parágrafo 1 del Artículo 13 de esta Resolución, las partes también podrán acordar las compensaciones correspondientes. ART. 15º— Actualización de precios. Los precios pactados en los contratos de suministro bajo las modalidades firme, firme CF95, de firmeza condicionada y de opción de compra, sólo se actualizarán anualmente con base en las ecuaciones establecidas en el Anexo 3.
PAR. 1º— La actualización de precios de que trata este artículo también se aplicará a la prima de los contratos de opción de compra de gas.
PAR. 2º— La actualización de precios de que trata este artículo se aplicará cada 1 de diciembre.
PAR. 3º— Las partes de los contratos de más de un año celebrados con posterioridad al 15 de agosto de 2013 y que de mutuo acuerdo se acogieron a lo dispuesto en los artículos 1 y 2 de la Resolución CREG 017 de 2015, y a la opción del Artículo 2 de la Resolución CREG 183 de 2014, podrán acordar libremente la regla de actualización de precios que aplicará a partir del 1 de diciembre de 2015 y que deberá corresponder a valores determinísticos para cada uno de los años restantes de la vigencia del contrato o depender de un índice de manejo público dispuesto por una tercera parte independiente. El valor resultante de la actualización de precios será único para cada año. Los productores enviarán copia de dicho acuerdo a la CREG a más tardar el 8 de septiembre de 2015.
De no lograr un acuerdo entre las partes, estas aplicarán las ecuaciones de actualización de precios establecidas en los numerales 2.1 y 2.2 del Anexo 3 de la presente Resolución, según corresponda, y las partes aplicarán un factor de alfa (α) y un factor beta (β), los cuales publicará la CREG mediante circular de la Dirección Ejecutiva a más tardar el 30 de septiembre de 2015.
En la aplicación de las ecuaciones de actualización de precios para el 1 de diciembre de 2015, en caso de requerir precios promedio ponderado de 2014, las partes deberán utilizar el precio promedio ponderado que incluya los precios resultantes de haber aplicado las disposiciones del Artículo 3 de la Resolución CREG 017 de 2015 y del Artículo 1 de la Resolución CREG 183 de 2014.
PAR. 4º— Las partes de los contratos de más de un año vigentes y celebrados con posterioridad al 15 de agosto de 2013, diferentes a los que trata el parágrafo 3 del presente artículo, que prevean ajustes regulatorios en relación con la actualización de precios, podrán acordar libremente la regla de actualización de precios que aplicará a partir del 1 de diciembre de 2015 y que deberá corresponder a valores determinísticos para cada uno de los años restantes de la vigencia del contrato o depender de un índice de manejo público dispuesto por una tercera parte independiente. El valor resultante de la actualización de precios será único para cada año. Los productores enviarán copia de dicho acuerdo a la CREG a más tardar el 8 de septiembre de 2015.
De no lograr un acuerdo entre las partes, estas aplicarán la ecuación de actualización de precios del Anexo 3 de la presente Resolución que corresponda según lo establecido en el contrato.
En la aplicación de las ecuaciones de actualización de precios del Anexo 3 de la presente Resolución para el primero (1) de diciembre de 2015, en caso de requerir un precio promedio ponderado de 2014, las partes deberán utilizar el precio promedio ponderado publicado mediante la Circular CREG 108 de 2014. En caso de utilizar las ecuaciones establecidas en los numerales 2.1 y 2.2, según corresponda, las partes aplicarán un factor de alfa (α) y un factor beta (β), los cuales publicará la CREG mediante circular de la Dirección Ejecutiva a más tardar el 30 de septiembre de 2015.
PAR. 5º— Las partes de los contratos de más de un año, diferentes a los que tratan los parágrafos 3 y 4 del presente artículo, celebrados con posterioridad al 15 de agosto de 2013, podrán acordar libremente la regla de actualización de precios que aplicará a partir del 1 de diciembre de 2015. Dicha regla deberá ser informada a la CREG a más tardar el 8 de septiembre de 2015 y deberá corresponder a valores determinísticos para cada uno de los años restantes de la vigencia del contrato o depender de un índice de manejo público dispuesto por una tercera parte independiente. El valor resultante de la actualización de precios será único para cada año.
De no lograr un acuerdo entre las partes, estas aplicarán la actualización de precios establecida en el numeral 1 del Anexo 3 de la presente Resolución.
En la aplicación de las ecuaciones de actualización de precios del Anexo 3 de la presente Resolución para el primero (1) de diciembre de 2015, en caso de requerir un precio promedio ponderado de 2014, las partes deberán utilizar el precio promedio ponderado publicado mediante la Circular CREG 108 de 2014.
PAR. 6º— En los contratos de más de un año que se celebren a partir del 21 de julio de 2015, como resultado del mecanismo de negociación directa, las partes aplicarán las ecuaciones de actualización de precios establecidas en el numeral 2 del Anexo 3 de la presente Resolución, según corresponda, con un factor de alfa (α) igual a cero (0).
Las partes podrán acordar libremente un único valor del factor beta (β), el cual deberá corresponder a un valor entre cero (0) y uno (1), que aplicará desde la primera y hasta la última actualización de la vigencia del contrato.
De no lograr un acuerdo entre las partes, estas deberán aplicar el factor beta (β) que publicará la CREG mediante circular de la Dirección Ejecutiva a más tardar el 30 de septiembre de 2015.
PAR. 7º— Los precios de los contratos de largo plazo de más de un año que se celebren como resultado de la negociación mediante subasta se actualizarán con base en las ecuaciones definidas en el numeral 2 del Anexo 3 de la presente Resolución, con un factor de alfa (α) igual a cero (0) y el factor beta (β) publicado por la CREG mediante circular 113 de 2015. Capítulo III
Participantes en el mercado primario
ART. 16º— Vendedores de gas natural. Los productores-comercializadores y los comercializadores de gas importado son los únicos participantes del mercado que podrán vender gas natural en el mercado primario. Para la negociación de los respectivos contratos de suministro de gas natural estos participantes del mercado deberán seguir los mecanismos y procedimientos establecidos en el capítulo IV del título III y en el título V de la presente Resolución.
PAR.— El comercializador del gas natural de propiedad del Estado y de las participaciones de la ANH sólo podrá participar como vendedor de gas natural en el mercado primario.
ART. 17º— Compradores de gas natural. Los comercializadores y los usuarios no regulados son los únicos participantes del mercado que podrán comprar gas natural en el mercado primario. Para la negociación de los respectivos contratos de suministro de gas natural estos participantes del mercado deberán seguir los mecanismos y procedimientos establecidos en el capítulo IV del título III y en el título V de la presente Resolución.
Capítulo IV
Comercialización de gas natural
ART. 18º— Mecanismos de comercialización. Con excepción del gas natural que se comercialice mediante la modalidad con interrupciones, en el mercado primario sólo se podrán utilizar los mecanismos de comercialización señalados en los Artículo 19, Artículo 22, y Artículo 23 de esta Resolución. En el caso del gas natural que se comercialice mediante la modalidad con interrupciones se deberá dar aplicación a lo previsto en el título V de esta Resolución.
PAR.— El comercializador del gas natural de propiedad del Estado y de las participaciones de la ANH comercializará dicho gas natural con sujeción a lo dispuesto en el Artículo 19, Artículo 22 y Artículo 23 de esta Resolución. En esas negociaciones participará como vendedor. ART. 19º— Negociación directa en cualquier momento del año. Los vendedores y los compradores a los que se hace referencia en los Artículos 16 y 17 de esta Resolución podrán negociar directamente el suministro de gas natural, en cualquier momento del año, en los casos señalados a continuación.
1. Los productores-comercializadores sólo podrán comercializar gas natural mediante negociaciones directas, en cualquier momento del año, en los siguientes casos:
a) Modificado. Res. 102 009/2024, art. 7º. CREG. Cuando el suministro del gas natural provenga de las actividades que se relacionan en el artículo 2.2.2.2.24 del Decreto 1073 de 2015, o aquel que lo modifique, complemente o sustituya.
b) Cuando provenga de un campo aislado. Se deberá entender como campo aislado aquel que no tiene conexión, a través de gasoductos, a sistemas de transporte del SNT que tienen acceso físico, directamente o a través de otros sistemas de transporte, a los puntos de Ballena en el Departamento de La Guajira o de Cusiana en el Departamento de Casanare.
c) Cuando provenga del desarrollo de un nuevo campo de producción de gas natural. Se deberá entender desarrollo en los términos del contrato de exploración y producción de hidrocarburos de la ANH. El gas natural proveniente de ese nuevo campo y que se declare como oferta de PTDVF podrá negociarse directamente durante los tres (3) años siguientes a la declaratoria de comercialidad del nuevo campo, período durante el cual deberán celebrarse los contratos resultantes de dichas negociaciones. Una vez terminado ese período de tiempo el gas natural proveniente de ese campo se deberá comercializar de acuerdo con lo dispuesto en el Artículo 22 y el Artículo 23 de esta Resolución.
d) Cuando se ofrezca mediante la modalidad de contrato de opción de compra contra exportaciones, siempre que la cantidad a negociar no supere la cantidad vendida o por vender por el respectivo productor-comercializador con destino a exportaciones.
e) Cuando se ofrezca mediante la modalidad de contrato de suministro de contingencia.
2. Los comercializadores de gas importado sólo podrán comercializar gas natural mediante negociaciones directas, en cualquier momento del año, en los siguientes casos:
a) Cuando se destine a la atención de la demanda del sector térmico, en los términos señalados en la Resolución CREG 062 de 2013, o aquellas que la modifiquen o sustituyan.
b) Cuando se ofrezca mediante la modalidad de contrato de suministro de contingencia.
PAR. 1º— Los contratos que estén vigentes al momento de la expedición de esta Resolución y que tengan fecha de vencimiento anterior a un 30 de noviembre podrán ser extendidos, de mutuo acuerdo entre las partes, hasta el 30 de noviembre inmediatamente siguiente a la fecha de vencimiento prevista al momento de la expedición de esta Resolución.
PAR. 2º— Los productores-comercializadores cuya participación en un contrato de asociación o en un contrato de exploración y producción finalice en una fecha anterior a un 30 de noviembre podrán comercializar el gas natural que les corresponde mediante negociaciones directas con otros productores-comercializadores o con los compradores a los que se hace referencia en el Artículo 17 de esta Resolución. Estas negociaciones deberán tener como fecha de inicio de la obligación de entrega el 30 de noviembre inmediatamente anterior a la fecha de finalización de la participación en el respectivo contrato de asociación o de exploración y producción, y deberán tener como fecha de terminación de la obligación de entrega la fecha de finalización de la participación en el respectivo contrato de asociación o de exploración y producción. En este caso no se dará aplicación a las disposiciones de la Resolución CREG 093 de 2006 o aquella que la modifique, complemente o sustituya.
PAR. 3º— En cualquiera de los casos señalados en este artículo los productores-comercializadores y los comercializadores de gas importado podrán comercializar gas natural a través de los mecanismos de negociación a que se refiere el Artículo 23 de esta Resolución. PAR 4º - Adicionado. Res. 102 009/2024, art. 8º. CREG. Todos los vendedores deberán establecer un procedimiento de priorización en las negociaciones directas que desarrollen, para la asignación de las cantidades solicitadas por parte de los compradores que atienden directamente a usuarios que hacen parte de la Demanda Esencial, dado el caso de que el gestor del mercado obtenga un “año de gas con priorización” como resultado de lo establecido en el parágrafo 2 del artículo 24 de la presente resolución. Particularmente, se deberá tener en cuenta los aspectos establecidos en el literal d) y el parágrafo, ambos del artículo 22 de la presente resolución.
Comentarios
Texto anterior: a) Cuando, de conformidad con lo establecido en el artículo 12 del Decreto 2100 de 2011, o aquel que lo modifique, complemente o sustituya, provenga de las siguientes fuentes de producción: i. Campos que se encuentren en pruebas extensas o sobre los cuales no se haya declarado su comercialidad. ii. Campos menores. iii. Yacimientos no convencionales. ART. 20º— Contratos objeto de las negociaciones directas en cualquier momento del año. En las negociaciones directas a las que se hace referencia en el Artículo 19 de esta Resolución sólo se podrán pactar contratos de suministro a los que se hace referencia en los numerales 1, 2, 3, 4, 5, 7 y 8 del Artículo 8, los cuales se sujetarán a lo dispuesto en los capítulos I y II del título III de la presente Resolución. Los contratos celebrados tendrán la duración que acuerden las partes, pero deberán tener como fecha de terminación el 30 de noviembre del año que éstas acuerden.
PAR.— Modificado. Res. 102 009/2024, art. 9º. CREG . De esta disposición se exceptúan los siguientes casos: i.) La comercialización de gas en campos de hidrocarburos que se encuentren en pruebas extensas o sobre los cuales no se haya declarado su comercialidad, ii.) La comercialización de un campo aislado, iii.) La comercialización de gas importado cuando se destine a la atención de la demanda del sector térmico, en los términos señalados en la Resolución CREG 062 de 2013, o aquellas que la modifiquen o sustituyan, y iv.) La comercialización con destino a la demanda de gas natural eléctrica, en las condiciones establecidas en el Decreto 484 de 2024 y en la resolución 40142 del Ministerio de Minas y Energía o aquellas que la modifiquen o sustituyan.
En los casos i), ii) y iii) anteriores las partes definirán las condiciones de los contratos que celebren. En el caso de que la modalidad corresponda a un contrato cuya ejecución se inicia durante las pruebas antes de declarar comercialidad en el que se garantiza el servicio de suministro de una cantidad máxima de gas natural, sin interrupciones, durante un período determinado, excepto en los días establecidos para mantenimiento y labores programadas, los contratos deberán incluir los requisitos mínimos establecidos en el Capítulo II del Título III de la presente Resolución.
Comentarios
Texto anterior: PAR.— De esta disposición se exceptúan los casos señalados en el numeral i del literal a) del numeral 1, en el literal b) del numeral 1 y en el literal a) del numeral 2 del Artículo 19 de esta Resolución. En estos casos las partes definirán las condiciones de los contratos que celebre.
ART. 21º— Negociación según el balance de la UPME. Los vendedores y los compradores a los que se hace referencia en el Artículo 16 y en el Artículo 17 de esta Resolución podrán negociar el suministro de gas natural, durante el período de tiempo que defina la CREG, mediante los mecanismos de comercialización establecidos en esta Resolución, según lo dispuesto en este artículo.
Dentro de los primeros diez (10) días hábiles de julio de cada año, la CREG establecerá mediante resolución el mecanismo de comercialización a aplicar y el cronograma para el desarrollo del mismo. Lo anterior con base en el análisis del más reciente balance entre la oferta agregada y la demanda agregada de gas realizado por la UPME. El balance deberá ser aquel que considere el escenario de demanda media.
Cuando el balance realizado por la UPME muestre que la oferta de gas natural es superior a la demanda de gas natural, en al menos tres (3) de los cinco (5) años siguientes al momento del análisis, se deberá dar aplicación al mecanismo de negociación directa establecido en el Artículo 22 de la presente resolución. Cuando el balance muestre lo contrario, se deberá dar aplicación al mecanismo de negociación mediante subasta establecido en el Artículo 24 de la presente resolución.
PAR. 1º— La aplicación de lo dispuesto en el presente artículo tendrá lugar hasta noviembre de 2016 únicamente. Lo anterior sin perjuicio de que los contratos celebrados bajo el esquema dispuesto en este Artículo que estén en vigor a la entrada en vigencia de la presente Resolución continúen rigiendo con las condiciones pactadas vigentes hasta su fecha de terminación.
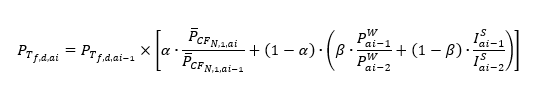
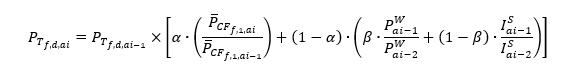
PAR. 2º— Los contratos de largo plazo celebrados bajo el esquema dispuesto en el presente artículo, cuya actualización de precios requiera de la aplicación de las ecuaciones establecidas en el numeral 1 del Anexo 3 y necesiten el promedio ponderado por cantidades de los precios de los contratos firmes, de la fuente f, con duración de un (1) año, negociados para el año ai, ¯PCF f,1,ai , tomarán como precio de referencia el resultante de aplicar la siguiente ecuación:

La definición de las variables PA y PB de la anterior ecuación se establece en el numeral 4 del literal A del Artículo 23 de la presente Resolución.
ART. 22.— Modificado. Res. 102 009/2024, art. 10º. CREG. Negociación de contratos de largo plazo. En los casos no previstos en el artículo 19 de esta Resolución, los vendedores y los compradores a los que se hace referencia en los artículos 16 y 17 de esta Resolución podrán pactar directamente el suministro de gas natural, dentro del plazo que establezca la CREG, mediante contratos de suministro firme CF95, C1, C2, opción de compra de gas y/o firmeza condicionada, cuya duración sea de 1 (uno) o más años. Dichos contratos se sujetarán a lo dispuesto en los capítulos I y II del título III de la presente Resolución. (Res. 102 007/2022, CREG, art. 2º). https://regimenjuridico.grupovanti.com (§ 5397, 5398, 5407).
Durante el primer semestre de cada año, la Dirección Ejecutiva de la CREG establecerá mediante circular el cronograma de toda la comercialización para el respectivo año.
En el mencionado cronograma la CREG establecerá, entre otros aspectos, la ventana de fechas para registrar ante el gestor del mercado los contratos suscritos como resultado de las negociaciones directas. Después de esta fecha no se podrán registrar contratos negociados bajo el mecanismo de negociaciones directas, exceptuando los casos permitidos en la regulación vigente.
Los contratos de modalidades de tipo firme o que garanticen firmeza que resulten de las negociaciones de fuentes de suministro cuyos vendedores no hayan realizado previamente las declaraciones de PTDVF, PTDV en pruebas y/o CIDVF no podrán registrarse ante el gestor del mercado y tendrá los efectos previstos en la Resolución CREG 186 de 2020.
Para la suscripción y el registro ante el gestor del mercado de los contratos de suministro se deberán tener en cuenta los siguientes aspectos:
a) Los contratos de suministro destinados a atender demanda regulada deberán tener como fecha de inicio del suministro 1 de diciembre del año en que se inicie el suministro, que podrá ser cualquiera con el que se cuente PTDVF/CIDVF declarada el gestor del mercado. La fecha de terminación del suministro deberá corresponder al 30 de noviembre del año que corresponda, que podrá ser cualquiera con el que se cuente PTDVF/CIDVF declarada el gestor del mercado.
b) Los contratos de suministro destinados a atender demanda no regulada deberán tener como fecha de inicio del suministro alguna de las dos siguientes fechas: i) cualquier momento del año comprendido entre el 1 de diciembre del año en que se realice la negociación directa y el 30 de junio del año inmediatamente siguiente o; ii) el 1 de diciembre del año en que se inicie el suministro, que podrá ser cualquiera con el que se cuente PTDVF y/o CIDVF. La fecha de terminación del suministro deberá corresponder al 30 de noviembre del año en que se cumpla el plazo de ejecución del contrato, que podrá ser cualquiera con el que se cuente PTDVF/CIDVF declarada el gestor del mercado.
c) El precio del gas al momento de iniciar el suministro deberá corresponder al precio pactado por las partes al momento de la suscripción del contrato, dado el caso que el inicio de la ejecución del suministro sea en el mismo año de negociación del contrato o en el siguiente año. En el caso de que el inicio de ejecución del suministro sea en un año posterior a alguno de los anteriormente mencionados, podrá pactarse la actualización del precio de inicio de ejecución del contrato, de acuerdo con lo establecido en el artículo 15 de la presente Resolución.
d) Dado el caso de que el gestor del mercado obtenga un “año de gas con priorización” como resultado de lo establecido en el parágrafo 2 del artículo 24 de la presente resolución, los vendedores del mercado primario deberán establecer para la asignación de las cantidades solicitadas para ser ejecutadas en ese año, un procedimiento de priorización en las negociaciones directas que desarrollen, para la asignación de las cantidades solicitadas por parte de los comercializadores que atienden directamente a usuarios regulados y no regulados que hacen parte de la Demanda Esencial y las solicitadas por parte de los usuarios no regulados que hacen parte de la Demanda Esencial. Para efectos de lo anterior se deberán tener en cuenta los siguientes aspectos:
i. En caso de que el vendedor utilice en la negociación directa un proceso de comercialización con base en algún tipo de subasta o en general, de concurrencia simultánea de varios compradores, se asignarán primero las cantidades solicitadas por los compradores que atienden directamente la Demanda Esencial de usuarios regulados, al Precio de Reserva establecido por el vendedor.
ii. Para los casos de la Demanda Esencial de usuarios no regulados el vendedor deberá establecer una priorización para dicha demanda, que de entre varias maneras de aplicación libre, podría corresponder a un proceso en el que el comercializador o el usuario no regulado decida solicitar la asignación prioritaria del total o parte de las cantidades resultantes del cálculo del Anexo 8 de la presente resolución. En ese caso, el precio del contrato resultante será el precio de cierre del mecanismo de concurrencia. Asimismo, el comercializador o usuario no regulado de la Demanda Esencial, podrá participar activamente en el proceso de concurrencia, caso en el que podrá comprar cantidades incluso superiores a las obtenidas del cálculo del Anexo 8 de la presente resolución.
iii. El Precio de Reserva, en caso de ser usado, deberá ser informado por el vendedor al gestor del mercado antes de iniciar cualquier proceso de negociación directa, el cual podrá ser utilizado exclusivamente para efectos de seguimiento, vigilancia y control de las autoridades del sector, incluyendo la Superintendencia de Servicios Públicos Domiciliarios y la Superintendencia de Industria y Comercio. El gestor del mercado podrá recibir la información directamente por cualquier medio que éste establezca.
iv. En caso de que el vendedor utilice un proceso de comercialización con base en precio fijo, las cantidades disponibles se asignan primero a los compradores que representan a la Demanda Esencial, de acuerdo con las cantidades calculadas en el Anexo 8 de la presente Resolución.
v. En caso de haber excedentes de oferta de gas natural después de la asignación priorizada a la Demanda Esencial, los vendedores podrán ofrecer el gas natural a los compradores que atienden usuarios que no son parte de la Demanda Esencial de usuarios regulados. En ese caso, la asignación de las cantidades a la Demanda Esencial de los usuarios regulados se hará con el Precio de Reserva establecido por el vendedor.
vi. Para la determinación de las cantidades máximas a contratar para atender la Demanda Esencial, se deberá seguir el procedimiento establecido en el Anexo 8 de la presente Resolución.
vii. Es responsabilidad de los compradores del mercado primario que las solicitudes de compra que presenten a los vendedores y que tengan como destino atender directamente el consumo de los usuarios que hacen parte de la Demanda Esencial, contengan información veraz, dando cumplimiento a lo establecido en el Anexo 8 de la presente Resolución y en el marco de los comportamientos establecidos en la Resolución CREG 080 de 2019, en especial lo contemplado en el Capítulo II “Comportamientos que propenden por el cumplimiento de los fines de la regulación”.
viii. Es responsabilidad de los compradores del mercado primario que son priorizados para atender la Demanda Esencial, que el total de las cantidades contratadas, en caso de negociarse con más de un vendedor, no sea superior al valor obtenido de acuerdo con el numeral i.) del Anexo 8 de la presente Resolución.”
PAR. - Cualquier proceso de concurrencia de interesados que se utilice por parte de los vendedores de cualquier fuente de suministro, sin excepciones, a partir del mecanismo de negociaciones directas, deberá cumplir con los siguientes principios:
a) Eficiencia: el desarrollo del mecanismo de mercado conducirá a la formación de precios eficientes y/o de asignaciones de cantidades eficientes, a través de procesos que reflejen el costo de oportunidad del recurso.
b) Publicidad: se garantizará mediante la publicación obligatoria en la página web de cada vendedor. El vendedor deberá informar al gestor del mercado de dicha situación y la dirección del enlace, en el mismo día de la publicación en su página web, y el gestor del mercado publicará en un menú dedicado a ello en el BEC, el aviso dado por cada vendedor al día siguiente de haberlo recibido, junto con la dirección web del enlace respectivo.
c) Neutralidad: el diseño del mecanismo de mercado y el reglamento de este no permitirán, inducirán o adoptarán prácticas de discriminación indebida en contra de alguno de los Participantes.
d) Simplicidad y transparencia: el mecanismo de mercado será claro, explícito y constará por escrito, de tal forma que pueda ser comprendido sin duda ni ambigüedad.
e) Objetividad: los criterios de adjudicación del mecanismo de mercado serán claros e imparciales.”
Comentarios
Texto anterior: ART. 22º— Negociación de contratos de largo plazo. En los casos no previstos en el Artículo 19 de esta Resolución, los vendedores y los compradores a los que se hace referencia en los artículos 16 y 17 de esta Resolución podrán pactar directamente el suministro de gas natural, dentro del plazo que establezca la CREG, únicamente mediante contratos de suministro firme CF95, firmeza condicionada y opción de compra, cuya duración sea de tres (3) o más años.
Durante el primer semestre de cada año, la Dirección Ejecutiva de la CREG establecerá mediante circular el cronograma de toda la comercialización para el respectivo año.
El cronograma que se menciona en este artículo deberá establecer la fecha en que los vendedores a los que se hace referencia en el Artículo 16 de esta Resolución deberán declarar al gestor del mercado la oferta de PTDVF u oferta de CIDVF, según sea el caso.
La oferta de PTDVF o la oferta de CIDVF deberá ser igual o inferior al valor vigente de la PTDV o CIDV, según corresponda, aprobado por el Ministerio de Minas y Energía en cumplimiento del Decreto 2100 de 2011 o aquel que lo modifique o sustituya.
El gestor del mercado hará pública esta información con el fin de poder realizar las negociaciones directas de contratos CF95, firmeza condicionada y opción de compra de largo plazo, cuyas cantidades de energía negociadas no podrán ser superiores a las declaradas al gestor del mercado.
En el mencionado cronograma la CREG establecerá la ventana de fechas para registrar ante el gestor del mercado los contratos suscritos como resultado de las negociaciones directas. Después de esta fecha no se podrán registrar contratos bajo negociaciones directas.
En las negociaciones a las que se hace referencia en el presente artículo sólo se podrán suscribir contratos de suministro firme CF95, firmeza condicionada y opción de compra, de que tratan los numerales 1, 7 y 8 del Artículo 8, los cuales se sujetarán a lo dispuesto en los capítulos I y II del título III de la presente Resolución.
ART. 23.— Modificado. Res. 102 009/2024, art. 11º. CREG. Negociación de contratos de las modalidades C1 y C2. En las negociaciones directas del suministro bajo las modalidades contractuales C1 y C2 deberá tenerse en cuenta adicionalmente, las siguientes limitaciones:
1. Las cantidades de energía pactadas en los contratos de suministro C1 son firmes y se compondrán de un 30% fijo y una parte variable por el 70% restante.
El suministro de la parte fija al igual que la parte variable que se ejecute deberá pagarse al mismo precio, pactado en el contrato.
En condiciones normales de abastecimiento, es decir que no se haya declarado un racionamiento programado de gas natural por parte del Ministerio de Minas y Energía, las cantidades asociadas a la opción de compra se podrán ejercer únicamente para su consumo y no para reventa. Los titulares de los derechos de suministro de estos contratos sólo podrán vender contratos de suministro en el mercado secundario o en contratos con interrupciones por una cantidad menor o igual al componente fijo. El despacho de dichos contratos del mercado secundario o con interrupciones estará sujeto a que el titular de los derechos de suministro de los contratos de suministro C1 no ejerza su opción de solicitar más del 30% de su cantidad de energía contratada.
En caso de que se declare un evento de racionamiento programado en el mercado nacional, según se contempla en el Decreto 880 de 2007 compilado por el Decreto 1073 de 2015, o aquellos que lo modifiquen o sustituyan, y sólo mientras dure dicho evento, el total de las cantidades nominadas cada día correspondiente a contratos de suministro C1 podrán ser comercializadas en el mercado secundario según lo dispuesto en el Titulo IV de la presente Resolución.
2. Las cantidades de energía pactadas en los contratos de suministro C2 se compondrán de un firme 75% fijo y el 25% restante como opción de venta por parte del productor-comercializador o el comercializador de gas importado. La entrega del 25% sólo se podrá restringir por la ejecución de las partes variables de contratos de suministro C1 vendidas por el mismo productor-comercializador o el comercializador de gas importado. Esta restricción deberá ser por la cantidad mínima necesaria para cumplir las obligaciones de la parte variable de los contratos C1 que se hayan ejecutado y sólo en casos en que el vendedor no cuente con gas en firme disponible para cumplir con sus obligaciones de contratos C1.
En tal evento el productor-comercializador o el comercializador de gas importado restringirá el suministro a los contratos de suministro C2 en un mismo porcentaje para todos y cada uno de los contratos de suministro C2 que él haya suscrito.
El suministro de la parte fija al igual que la parte variable que se ejecute deberá pagarse al mismo precio, pactado en el contrato.
3. Ejecución de contratos
a) A más tardar a las 13:45 horas del día de gas, los titulares de los derechos de suministro de contratos C1 declararán a su vendedor las cantidades de la parte variable que desean tener disponible para el día D+1. Dicha declaración corresponderá a las cantidades preliminares que desea ejecutar de sus contratos y que para efectos comerciales serían las cantidades a facturar adicionales a la parte fija de estos contratos.
b) A más tardar a las 14:15 horas del día de gas, cada vendedor de contratos de suministro C1 y/o C2 deberá informar a sus compradores, de acuerdo con la declaración de ejecución de la parte variable de sus contratos C1 de que trata el literal a) anterior, las cantidades preliminares asignadas comercialmente a cada comprador y que estarían disponibles para nominar en cada uno de los contratos C1 y C2 para el día D+1.
c) Teniendo en cuenta la información suministrada por los vendedores de las cantidades preliminares disponibles para el día D+1, los titulares de derechos de suministro de contratos C1 que sean a su vez titulares de contratos C2, podrán modificar su solicitud de ejecución de la parte variable de contratos C1 declarando la nueva cantidad a su vendedor, que sólo podrá ser mayor a la cantidad preliminar declarada, a más tardar a las 14:45 horas del día de gas.
d) A partir de la información declarada en el literal c) anterior, los vendedores de contratos de suministro C1 y C2 calcularán las cantidades disponibles para entregar el día D+1 de los contratos C2 e informarán a las contrapartes la ejecución definitiva de los contratos C1 así como las cantidades definitivas disponibles para entrega r el día D+1 de contratos C2 a más tardar a las 15:15 del día de gas.
Las cantidades definitivas de que trata el literal d) anterior serán las cantidades a tener en cuenta para efectos de facturación por parte del vendedor y no podrán ser modificadas. La nominación por parte de los compradores deberá enmarcarse dentro de las cantidades ejecutadas y disponibles.
PAR. - Para efectos de cumplimiento de lo establecido en el artículo 2.2.2.2.16 del Decreto 1073 de 2015, o aquel que lo modifique o sustituya, los contratos de suministro C2 se contarán como contratos que garantizan firmeza en las cantidades correspondientes a las contratadas multiplicadas por el porcentaje de firmeza establecida en el numeral 2 del presente artículo.
ART. 24.— Modificado. Res. 102 009/2024, art. 12º. CREG. Cantidades disponibles en el mercado. Para efectos de la declaración de información de las cantidades de oferta de los vendedores del mercado primario, se deberán tener en cuenta los siguientes aspectos:
Los vendedores a los que se hace referencia en el artículo 16 de esta Resolución deberán declarar al gestor del mercado la oferta de PTDVF, la oferta de PTDV en pruebas y la oferta de CIDVF, según sea el caso, de todas las fuentes de suministro, sin excepción ninguna, a partir de la cuales se pretendan negociar y/o registrar contratos bajos las modalidades de tipo firme establecidas en los numerales 1, 2, 3, 5, 7 y 8 del artículo 8 y cualquier modalidad que se negocie con base en lo establecido en el parágrafo del artículo 20, en las fechas contenidas en el cronograma mencionado en el artículo 22, todos estos de la presente Resolución.
El gestor del mercado hará pública la información declarada de acuerdo con el literal a) anterior, en el plazo fijado en el cronograma establecido en el artículo 22 de la presente Resolución.
La oferta de PTDVF, la oferta de PTDV en pruebas o la oferta de CIDVF de una fuente de suministro deberá ser igual o inferior al valor vigente de la PTDV o CIDV, según corresponda, publicada por el Ministerio de Minas y Energía en cumplimiento del artículo 2.2.2.2.21 del Decreto 1073 de 2015.
En cualquier caso, la oferta de CIDVF deberá estar respaldada, previamente a la declaración que se realice al gestor del mercado, con contratos que permitan al comercializador de gas importado el acceso y derecho de uso de capacidad suficiente para inyectar gas natural proveniente de las infraestructuras de importación de gas natural, con el fin de cumplir con la entrega diaria del suministro garantizado, ya sea mediante Infraestructuras de Regasificación o mediante Interconexiones Internacionales, estén o no conectadas físicamente al SNT.
Para el registro ante el gestor del mercado de los contratos de modalidades de tipo firme resultantes de las negociaciones de gas obtenido en el exterior, el vendedor deberá entregar previamente al gestor del mercado copia de uno o varios contratos de obtención de gas en el exterior o documentos asimilables, ya sea que con ellos se cumpla con alguna de las siguientes dos condiciones: i.) Unos plazos de ejecución y cantidades de suministro del gas natural obtenidas en el exterior, por lo menos iguales a la duración y cantidades comprometidas en los contratos a registrar al Gestor del Mercado, en MBTUD; o ii.) Unas cantidades totales de gas natural obtenido en el exterior, o almacenadas en las plantas de regasificación, medidas en unidades de energía MBTU, que sean iguales o superiores a las cantidades de gas natural, medidas en las mismas unidades de energía, de los contratos a registrar al Gestor del Mercado.
El gestor del mercado deberá evidenciar, previo a la realización del registro de contrato de suministro de los comercializadores de gas importado, que la suma de las cantidades diarias contratadas totales de la infraestructura de regasificación a utilizar para cumplir dichos contratos de suministro, es igual o superior al valor del mínimo operativo técnico requerido de regasificación de esa misma infraestructura de regasificación de la que se hará uso. En caso de no cumplirse con esta condición, no se permitirá el registro del contrato de suministro y así lo hará saber el gestor del mercado a las partes del contrato que se desea registrar.
El gestor del mercado deberá calcular y publicar diariamente las cantidades diarias promedio mes remanentes de la PTDV y/o CIDV, para cada uno de los siguientes sesenta (60) meses, de cada fuente de suministro, tomando el valor de la PTDV y/o CIDV de la más reciente declaración de producción publicada por el Ministerio de Minas y Energía para dicha fuente y descontando las cantidades que se han registrado en contratos de tipo firme, desde esa fecha de publicación del Ministerio de Minas y Energía hasta el día hábil anterior al día de la publicación de la actualización diaria.
El gestor del mercado deberá calcular y publicar diariamente las cantidades diarias promedio mes remanentes, para cada uno de los siguientes sesenta (60) meses de la PTDVF, la PTDV en pruebas y/o CIDVF, de cada fuente de suministro, tomando el valor de la PTDVF, la PTDV en pruebas y/o CIDVF de la más reciente declaración presentada por el vendedor al gestor del mercado y descontando las cantidades que se han registrado en contratos de tipo firme o de las modalidades establecidas de acuerdo con el parágrafo del artículo 20 de la presente resolución, desde esa fecha de declaración al gestor del mercado hasta el día hábil anterior al día de la publicación de la actualización diaria. El gestor del mercado deberá discriminar los valores remanentes de PTDVF, PTDV en pruebas y/o CIDVF, para los contratos de modalidades OCG y CFC, en consistencia con lo establecido en el Anexo 7 de la presente resolución.
Los vendedores de las fuentes de suministro contempladas en los literales a), b) y c) del numeral 1 del artículo 19 de la presente Resolución, deberán declarar al gestor del mercado las nuevas cantidades mayores o menores de oferta de PTDVF y PTDV en pruebas que surjan por variación en la información disponible al momento de la declaración inicial de acuerdo con el cronograma publicado, en el primer día hábil del mes siguiente a su ocurrencia.
En la nueva declaración al gestor del mercado se deberá anexar un documento que exponga las razones que expliquen dichas cantidades mayores o menores, cuando no haya sido originada por ventas en contratos de tipo firme o por nuevas declaraciones de PTDV realizadas al MME. Estos documentos serán entregados en caso de que alguna autoridad competente los solicite, así como para uso de la CREG en los análisis y seguimiento de la regulación vigente.
Los vendedores del mercado primario podrán, en cualquier momento, actualizar al gestor del mercado la oferta de PTDVF, únicamente para suscribir y registrar contratos de la modalidad de suministro de contingencia.
Los vendedores del mercado primario podrán, en cualquier momento, actualizar al gestor del mercado la oferta de CIDVF.
Dado el caso de que el MME publique una nueva declaración de PTDV y/o CIDV de una fuente de suministro, con posterioridad a la publicación utilizada para la declaración de PTDVF, PTDV en pruebas y/o CIDVF inicial del cronograma anual, el vendedor de dicha fuente podrá modificar la declaración de PTDVF, PTDV en pruebas y/o CIDVF de esa misma fuente de suministro, como máximo en los cinco (5) días hábiles siguientes a la fecha de publicación realizada por el MME.
PAR. 1º - La oferta de PTDVF, la oferta de PTDV en pruebas o la oferta de CIDVF, de una fuente de suministro según corresponda, no deberá contener oferta comprometida firme, OCF. En el “Anexo 7 de esta Resolución se establece la forma de cálculo de la oferta comprometida firme, OCF y de la oferta disponible en firme, ODF, para contratos de las modalidades CFC y OCG.
PAR. 2º - El gestor del mercado, dentro de los cinco (5) días hábiles siguientes a la primera publicación de cada año de la Declaración de Producción de Gas Natural por parte del Ministerio de Minas y Energía o por quien corresponda, deberá desarrollar el procedimiento de cálculo establecido en el Anexo 9 de la presente Resolución y publicará el resultado obtenido para cada uno de los siguientes diez (10) años de gas.
ART. 25º— Condición de precio. El precio de los contratos de suministro de gas natural negociados mediante los mecanismos de comercialización de que trata el Artículo 18 de esta Resolución estará sujeto a las siguientes condiciones: 1. En el caso de las negociaciones directas a que se hace referencia en el Artículo 19 de esta Resolución el precio será el que acuerden las partes.
2. En el caso de las negociaciones de contratos de largo plazo a que se hace referencia en el Artículo 22 de esta Resolución el precio será el que acuerden las partes.
3. En el caso de las negociaciones de contratos de un año a que se hace referencia en el literal A del Artículo 23 de esta Resolución el precio será el definido en el numeral 5 del citado literal.
4. En el caso de las negociaciones de contratos de un año a que se hace referencia en el literal B Artículo 23 de esta Resolución el precio será el de cierre de la subasta para el respectivo producto.
PAR. 1º— Las partes de los contratos que resulten de las negociaciones a las que se hace referencia en los numerales 2, 3 y 4 de este artículo no podrán acordar modificaciones al precio inicial del contrato ni a las ecuaciones para la actualización de precios señaladas en el Artículo 15 de esta Resolución. Los descuentos se considerarán como una modificación al precio.
Título IV
Aspectos comerciales del mercado secundario
Capítulo I
Modalidades y requisitos mínimos de contratos de suministro
ART. 26º— Modalidades de contratos permitidos. En el mercado secundario sólo podrán pactarse las siguientes modalidades de contratos:
1. Contrato firme o que garantiza firmeza.
2. Contrato de suministro con firmeza condicionada.
3. Contrato de opción de compra de gas.
4. Contrato de opción de compra de gas contra exportaciones.
5. Contrato de suministro de contingencia.
6. Contrato con interrupciones.
Con excepción de los contratos con interrupciones, los contratos señalados en este artículo deberán cumplir las condiciones establecidas en los Artículos 10, 11, 13, 14, 27 y 28 de esta Resolución.
PAR. 1º— Los contratos del mercado secundario que estén en vigor a la entrada en vigencia de la presente Resolución continuarán rigiendo hasta la fecha de terminación pactada en los mismos. Sin embargo, las partes no podrán prorrogar su vigencia.
PAR. 2º— Todos los contratos del mercado secundario serán de entrega física.
PAR. 3º— Cada contrato que se suscriba en el mercado secundario sólo podrá adoptar una de las modalidades contractuales establecidas en este artículo y no podrá contrariar, en forma alguna, la definición establecida en el Artículo 3 de la presente Resolución para la respectiva modalidad contractual. Dicha definición deberá estar en el objeto del contrato, así como en sus cláusulas, según su modalidad.
PAR. 4º— Con excepción de los contratos con interrupciones, durante la vigencia de los contratos señalados en este artículo, las obligaciones de dichos contratos se considerarán permanentes y por el 100% del gas natural contratado.
PAR. 5º— La duración permisible para labores programadas para reparaciones técnicas o mantenimientos periódicos serán las acordadas por las partes del contrato, sin que se superen las establecidas en el Artículo 12 de esta Resolución. ART. 27º— Duración de los contratos. Los contratos para el servicio de suministro de gas que se pacten en el mercado secundario tendrán la duración que acuerden las partes, siempre y cuando la fecha del servicio de suministro inicie durante el año de gas en que se realizó el registro del correspondiente contrato.
PAR. 1º— Para efectos de la declaración de la información de que trata el numeral 2.1 del Anexo 1 de esta Resolución los vendedores y los compradores del mercado secundario deberán disponer de los contratos a los que se hace referencia en este artículo, los cuales deberán constar por escrito. ART. 28º— Puntos estándar de entrega e indicadores de formación de precios.
A. Puntos estándar de entrega. En los contratos de suministro de gas natural que se suscriban en el mercado secundario, distintos de los contratos con interrupciones negociados como se establece en el literal B del Artículo 40 de la presente Resolución, se deberá pactar el punto estándar de entrega, establecido en listado que adoptará la CREG en circular de la Dirección Ejecutiva.
En todo caso, dichos puntos de entrega deben corresponder a: i) un punto de transferencia de custodia entre el productor-comercializador, o el comercializador de gas importado, y el transportador cuando se trate de puntos de entrada al sistema de transporte; ii) un punto de transferencia de custodia entre el transportador y el vendedor del mercado secundario cuando se trate de puntos de salida del sistema de transporte; iii) un punto de transferencia entre transportadores; o iv) un punto de inicio o terminación del servicio de transporte.
B. Indicadores de formación de precios: Mediante circular la Dirección Ejecutiva de la CREG se definirá el conjunto de puntos estándar de entrega que se utilizarán para cada indicador. Asimismo, se definirá la metodología que se debe utilizar para el cálculo de los indicadores.
Una vez la Dirección Ejecutiva de la CREG defina el conjunto de puntos estándar de entrega que se utilizarán para cada indicador y la metodología a utilizar para el cálculo de los indicadores, el gestor del mercado calculará y publicará en el BEC los indicadores de formación de precios, con base en la información registrada por los participantes del mercado para cada punto estándar de entrega.
PAR. 1º— El vendedor deberá entregar el gas en el punto estándar de entrega donde lo ofreció y deberá asumir los costos para transportar el gas hasta ese punto.
PAR. 2º— Lo establecido en este artículo no cobijará a los contratos ofrecidos a través del proceso úselo o véndalo de corto plazo de que trata el Artículo 36 de esta Resolución.
PAR. 3º— La transferencia de propiedad del gas entre el vendedor y el comprador del mercado secundario deberá corresponder a uno de los puntos estándar listados en la circular que la CREG publique para estos efectos.
PAR. 4º— En caso de que el gas no sea inyectado al SNT, se deberá reportar como punto estándar de entrega el código de la División Político-administrativa, Divipola vigente, publicado en la página web del Departamento Nacional de Estadística, DANE, del centro poblado en el que el vendedor entregue el gas; si el vendedor entrega el gas en boca de pozo el punto estándar de entrega será el campo.
PAR. 5º— En la ejecución de los contratos con interrupciones negociados bilateralmente, como se establece en el literal c) del numeral 4 del literal B del Artículo 40 de la presente Resolución, las partes definirán los puntos estándar de entrega, los cuales deberán corresponder a los puntos estándar listados en la circular que la CREG publique para estos efectos.
Capítulo II
Participantes en el mercado secundario
ART. 29º— Vendedores de gas natural. Los comercializadores y los usuarios no regulados son los únicos participantes del mercado que podrán vender gas natural en el mercado secundario. Para la negociación de los respectivos contratos de suministro de gas natural estos participantes del mercado deberán seguir los mecanismos y procedimientos establecidos en el capítulo III del título IV y en el título V de la presente Resolución.
ART. 30º— Compradores de gas natural. Los productores-comercializadores, los comercializadores de gas importado y los comercializadores son los únicos participantes del mercado que podrán comprar gas natural en el mercado secundario. Para la negociación de los respectivos contratos de suministro de gas natural estos participantes del mercado deberán seguir los mecanismos y procedimientos establecidos en el capítulo III del título IV y en el título V de la presente Resolución.
Capítulo III
Comercialización de gas natural
ART. 31.— Modificado. Res. 102 009/2024, art. 13º. CREG. Negociaciones directas de gas natural. Con excepción de los usuarios no regulados, los vendedores y los compradores a los que se hace referencia en los artículos 29 y 30 de esta Resolución podrán negociar directamente la compraventa de gas natural en el mercado secundario, de acuerdo con lo señalado en el artículo 33 de la presente resolución. En estas negociaciones sólo se podrán pactar contratos sujetos a lo dispuesto en el capítulo I del título IV de la presente Resolución. Las partes acordarán libremente el precio del gas natural que se comercialice mediante estas negociaciones directas.
Comentarios
Texto anterior: ART. 31º— Negociaciones directas de gas natural. Con excepción de los usuarios no regulados, los vendedores y los compradores a los que se hace referencia en los Artículos 29 y 30 de esta Resolución podrán negociar directamente la compraventa de gas natural en el mercado secundario. En estas negociaciones sólo se podrán pactar contratos sujetos a lo dispuesto en el capítulo I del título IV de la presente Resolución. Las partes acordarán libremente el precio del gas natural que se comercialice mediante estas negociaciones directas.
Los mencionados vendedores y compradores, que estén registrados en el BEC según lo dispuesto en el Artículo 35 de esta Resolución, podrán realizar negociaciones de compraventa de gas natural en el mercado secundario de acuerdo con lo señalado en el Artículo 33 de esta Resolución. Artículo 32. Negociaciones mediante los procesos úselo o véndalo. Los participantes del mercado, que estén registrados en el BEC según lo dispuesto en el
Artículo 35 de esta Resolución, se acogerán a los mecanismos y procedimientos de negociación del proceso úselo o véndalo detallado en el
Artículo 36 de la presente Resolución.
Capítulo IV
Negociaciones a través del BEC
ART. 33º— Negociaciones directas a través de BEC. Como parte del servicio al que se hace referencia en el numeral 4 del Artículo 5 de esta Resolución, el gestor del mercado pondrá la siguiente información a disposición de los participantes del mercado que estén registrados en el BEC según lo dispuesto en el Artículo 35 de esta Resolución:
1. Ofertas de venta de gas natural. Las ofertas deberán especificar la identidad del oferente, los datos de contacto del mismo, la cantidad ofrecida en MBTUD, la duración del contrato ofrecido, el punto estándar de entrega, los precios de venta en dólares de los Estados Unidos de América por MBTU, y la fecha máxima para manifestar interés en el contrato ofrecido.
2. Solicitudes de compra de gas natural. Las solicitudes deberán especificar la identidad del solicitante, los datos de contacto del mismo, la cantidad requerida en MBTUD, la duración del contrato solicitado, el punto estándar de entrega, el precio de compra en dólares de los Estados Unidos de América por MBTU, y la fecha máxima para manifestar interés en el contrato solicitado.
A partir de esta información, los vendedores y los compradores que estén registrados en el BEC, según lo dispuesto en el Artículo 35 de esta Resolución, realizarán las negociaciones directas de su interés. Será responsabilidad de estos participantes del mercado llevar a cabo cada una de las negociaciones y celebrar los correspondientes contratos, con sujeción a lo dispuesto en el capítulo I del título IV de la presente Resolución.
PAR. 1° - El gestor del mercado definirá el medio y el formato para la presentación de las ofertas de venta y de las solicitudes de compra a las que se hace referencia en este artículo. El gestor del mercado facilitará la publicación de otra información sobre las ofertas de venta y las solicitudes de compra que los participantes del mercado deseen publicar voluntariamente.
PAR. 2º - Adicionado. Res. 102 009/2024, art. 14º. CREG. A partir del 1 de diciembre de 2024, excepto para los casos de contratos de tipo firme para ser ejecutados en cualesquiera de los tres (3) días hábiles siguientes al día de su registro ante el gestor del mercado y siempre y cuando el contrato haya sido negociado dentro de los tres (3) días hábiles antes de su registro, todos los agentes que deseen hacer negociaciones directas en el mercado secundario, están obligados a entregar la información establecida en este artículo, antes de adelantar cualquier negociación de compraventa y, en el caso de los vendedores, adicionalmente deberán informar si el gas es de origen nacional u obtenido en el exterior. En caso de no cumplirse con estos requisitos, el gestor del mercado deberá informarlo a las partes, abstenerse de registrar el contrato y dar aviso a las autoridades de vigilancia y control.
Una vez publicada la información recibida por el gestor del mercado, los agentes podrán hacer uso de la plataforma del BEC dispuesto para ello, o de otras plataformas, para realizar las negociaciones directas, como se establece en el artículo 34 de la presente resolución.
PAR. 3º - Adicionado. Res. 102 009/2024, art. 14º. CREG. Las cantidades de suministro excedentarias contratadas por un comercializador en el mercado primario o en el mercado secundario, registradas para atender a la demanda regulada, deberán ser ofrecidas en primera instancia a los demás compradores del mercado secundario que solicitan el suministro para atender directamente la demanda regulada de sus propios mercados de comercialización. En el caso de empresas comercializadoras en que exista vinculación económica, se podrán negociar prioritariamente dichas cantidades entre ellas, aplicando lo establecido en el artículo 4 de la Resolución CREG 112 de 2007.
En el caso de que no haya compradores que soliciten cantidades al comercializador que ofrece excedentes de cantidades compradas para atender su propia demanda regulada, el comercializador con excedentes podrá atender con ellos su propia demanda no regulada o negociarla con compradores que los destinen a atender demanda diferente a la demanda regulada. Para efectos de lo anterior, tanto los vendedores como los compradores incluirán en la información requerida en los numerales 1 y 2 anteriores, qué cantidades están ofertadas como excedentes para atender demanda regulada y qué cantidades están solicitadas para atender demanda regulada, respectivamente.
ART. 34º— Negociaciones directas a través de otras plataformas. La implementación del BEC no impedirá la negociación a través de otras plataformas de iniciativa particular. No obstante, todos los contratos del mercado secundario deberán ser registrados ante el gestor del mercado de conformidad con lo dispuesto en el Anexo 1 de esta Resolución.
ART. 35.— Modificado. Res. 102 009/2024, art. 15º. CREG. Registro en el BEC. Los vendedores y los compradores a los que se hace referencia en los Artículos 29 y 30 de esta Resolución deberán registrarse en el BEC para tener acceso a información sobre ofertas de venta y solicitudes de compra en el mercado secundario. El registro en el BEC no conllevará el pago de cargos adicionales y se realizará ante el gestor del mercado, a través del medio electrónico y los formatos que éste defina.
La información que el gestor del mercado solicite a través de los formatos de registro en el BEC por lo menos le deberá permitir identificar si el participante del mercado que desea registrarse corresponde a uno de los vendedores o compradores a los que se hace referencia en los Artículos 29, y 30 de esta Resolución, y si quien adelanta el trámite está facultado para representar a dicho vendedor o comprador.
Comentarios
Texto anterior: ART. 35º— Registro en el BEC. Los vendedores y los compradores a los que se hace referencia en los Artículos 29 y 30 de esta Resolución podrán registrarse en el BEC para tener acceso a información sobre ofertas de venta y solicitudes de compra en el mercado secundario. El registro en el BEC no conllevará el pago de cargos adicionales y se realizará ante el gestor del mercado, a través del medio electrónico y los formatos que éste defina.
La información que el gestor del mercado solicite a través de los formatos de registro en el BEC por lo menos le deberá permitir identificar si el participante del mercado que desea registrarse corresponde a uno de los vendedores o compradores a los que se hace referencia en los Artículos 29, y 30 de esta Resolución, y si quien adelanta el trámite está facultado para representar a dicho vendedor o comprador. Capítulo V
Procesos úselo o véndalo
ART. 36º— Proceso úselo o véndalo de corto plazo para gas natural. El gas natural que haya sido contratado en firme y no haya sido nominado para el siguiente día de gas estará a disposición de los compradores a los que se hace referencia en el Artículo 30 de esta Resolución, que estén registrados en el BEC según lo dispuesto en el Artículo 35 de la misma. Para la negociación de este gas se seguirá este procedimiento:
1. Declaración de las cantidades disponibles. A más tardar a las 15:55 horas del Día D-1, los productores-comercializadores y los comercializadores de gas importado declararán los titulares de los derechos de suministro del gas natural contratado, bajo las modalidades de contratos firmes, firmes CF95 (en el 95% de la cantidad contratada), de firmeza condicionada, de suministro C1 (en su componente fijo firme) y de suministro C2 (en su componente fijo más el gas disponible para contratos C2) que no haya sido nominado para el siguiente día de gas, las respectivas cantidades de gas no nominado y los correspondientes puntos de entrega de dicho gas pactados en los contratos. Se entenderá por punto de entrega el campo, punto de entrada al SNT o punto del SNT que corresponda al sitio de inicio o terminación de alguno de los tramos de gasoductos definidos para efectos tarifarios. Esta declaración deberá presentarse de acuerdo con lo señalado en el numeral 5.4 del Anexo 5 de la presente Resolución.
En esta declaración no se deberán incluir las cantidades que no fueron nominadas como consecuencia de uno de los eventos de fuerza mayor, caso fortuito o causa extraña o de uno de los eventos eximentes de responsabilidad a los que se hace referencia en los artículos 10 y 11 de esta Resolución.
La no declaración de esta información o su declaración inoportuna podrá ser considerada por las autoridades competentes como una práctica contraria a la libre competencia. Lo anterior sin perjuicio de la responsabilidad derivada de la posible falla en la prestación del servicio que se cause por la no declaración de esta información.
Si en las cantidades declaradas como disponibles se encuentra gas natural contratado por generadores térmicos, estos le deberán informar al gestor del mercado qué cantidad no debe ser ofrecida a través del proceso úselo o véndalo de corto plazo para gas natural. La cantidad informada por los generadores no será considerada parte del gas natural disponible. Si antes de las 16:00 horas el gestor del mercado no recibe esta información, éste entenderá que la totalidad del gas no nominado por el correspondiente generador térmico sí está disponible para este proceso.
2. Definición del precio de oferta. El precio de oferta de las cantidades de gas disponibles de que trata el numeral anterior será el precio de reserva que declaren los titulares de las cantidades de gas natural disponibles conforme a lo establecido en el numeral 5.4 del Anexo 5 de la presente Resolución.
3. Publicación de la cantidad disponible. A más tardar a las 16:10 horas del Día D-1, el gestor del mercado publicará la cantidad total de gas disponible en cada punto de entrega.
4. Recibo de las solicitudes de compra. A más tardar a las 16:35 horas del Día D-1, los compradores de que trata el Artículo 30 de esta Resolución, que se hayan registrado en el BEC según lo dispuesto en el Artículo 35 de esta Resolución y que estén interesados en contratar el gas ofrecido en el proceso úselo o véndalo de corto plazo para gas natural, enviarán sus solicitudes de compra al gestor del mercado. Estas solicitudes de compra deberán presentarse de conformidad con lo establecido en el numeral 5.6 del Anexo 5 de la presente Resolución.
5. Subasta de la cantidad disponible. El gestor del mercado deberá facilitar la comercialización de las cantidades disponibles de gas natural, para lo cual dará aplicación al procedimiento de negociación mediante el mecanismo de subasta a que se refiere el numeral 5.7 del Anexo 5 de la presente Resolución. Este mecanismo se aplicará entre las 16:35 y las 17:00 horas del Día D-1 para cada punto de entrega de gas. Habrá tantas subastas como puntos de entrega con gas disponible para subastar. El gas negociado será entregado en el punto de entrega para el cual se especificó cada una de las subastas.
6. Información de los resultados de las subastas. A más tardar a las 17:00 horas del Día D-1, una vez finalizadas las subastas, el gestor del mercado deberá informar a los vendedores y a los compradores las cantidades asignadas bajo este proceso. El gestor del mercado igualmente informará dichas cantidades a los productores-comercializadores y a los comercializadores de gas importado involucrados en este proceso.
7. Celebración de contratos. El vendedor y el respectivo comprador serán responsables de suscribir el contrato de compraventa de gas natural. Este deberá cumplir las condiciones y los requisitos mínimos de un contrato firme sujeto a lo dispuesto en el capítulo I del título IV de la presente Resolución.
El vendedor podrá supeditar el perfeccionamiento y la ejecución del contrato y, por tanto, la nominación del gas a un acuerdo sobre los mecanismos para el cubrimiento del riesgo de cartera al que él se enfrenta. En todo caso, el vendedor siempre podrá exigir como garantía el mecanismo de prepago y deberá aceptarlo cuando el comprador elija este mecanismo de cubrimiento.
Si el comprador realiza el prepago del gas natural adoptará la condición de comprador de corto plazo y como tal será el titular de los derechos de suministro de gas para el día de gas. En este evento el vendedor estará obligado a nominar el gas negociado o a solicitar la nominación del gas al responsable de la misma, según corresponda.
Para facilitar el funcionamiento del mecanismo de prepago, el gestor del mercado fungirá como depositario del dinero en prepago por medio de un instrumento fiduciario regido por los criterios que defina la CREG en resolución aparte.
8. Programación definitiva del suministro. A más tardar a las 18:50 horas del Día D-1, el responsable de la nominación de gas confirmará al respectivo productor-comercializador y/o comercializador de gas importado la cantidad vendida a través del proceso definido en este artículo, la cual deberá ser igual o inferior a la informada por el gestor del mercado según lo señalado en el numeral 6 de este artículo. Esta cantidad entrará al programa definitivo de suministro de gas que el productor-comercializador y/o el comercializador de gas importado debe elaborar y enviar al responsable de la nominación de gas y al gestor del mercado a más tardar a las 19:50 horas.
A más tardar a las 20:00 horas, el responsable de la nominación de gas enviará al comprador de corto plazo el programa definitivo de suministro elaborado por el productor-comercializador y/o el comercializador de gas importado.
PAR. 1º— El gestor del mercado definirá el medio y los formatos para la declaración de la información señalada en este artículo.
PAR. 2º— Los días 1 y 15 de cada mes el gestor del mercado ordenará la transferencia del dinero depositado en el instrumento fiduciario a los vendedores correspondientes. En caso de que alguno de estos días no sea un día hábil, la transferencia se hará el siguiente día hábil.
Todas las transferencias del dinero recibido por concepto de prepago deberán incluir los rendimientos financieros que se hayan generado. Al momento de hacer las transferencias se deberán descontar los gastos correspondientes por concepto de administración e impuestos.
Parágrafo 3. El comprador de corto plazo será responsable de pagar al vendedor de corto plazo las compensaciones que ocasione por variaciones de salida.
Parágrafo 4. Durante el ciclo de nominación los responsables de la nominación de gas no podrán modificar las cantidades de energía nominadas a la hora límite para el recibo de la nominación diaria de suministro, por parte de los productores-comercializadores y de los comercializadores de gas importado, establecida en el RUT. En la confirmación de la cantidad de energía a suministrar, a realizar dentro de la hora límite establecida en el RUT, sólo se podrán aumentar las cantidades nominadas inicialmente en aplicación del proceso úselo o véndalo de corto plazo para gas natural.
Capítulo VI
Promotor de mercado
ART. 37º— Promotor de mercado. La CREG podrá seleccionar mediante Resolución a uno o varios participantes del mercado para que adopten el rol de promotor de mercado. Con el fin de estimular la liquidez del mercado secundario, cada promotor de mercado ofrecerá gas natural mediante contratos firmes y simultáneamente presentará solicitudes de compra de gas natural a través de la misma modalidad contractual.
ART. 38º— Servicios del promotor de mercado. En caso de que la CREG decida adoptar la figura del promotor de mercado éste prestará los siguientes servicios:
1. A través del BEC, el promotor de mercado expresará permanentemente su disposición a vender y a comprar una cantidad fija de gas natural bajo la modalidad de contrato firme, para el siguiente día de gas. El promotor de mercado publicará la cantidad de gas ofrecida para la venta y su correspondiente precio, y simultáneamente presentará solicitudes de compra de gas a un precio más bajo.
La cantidad fija a negociar será definida por la CREG. El spread entre el precio de venta y el precio de compra estará sujeto a un tope máximo regulado por la CREG.
2. Si uno de los compradores a los que se hace referencia en el Artículo 30 de esta Resolución, que esté registrado en el BEC según lo dispuesto en el Artículo 35 de la misma, acepta parcial o totalmente la oferta del promotor de mercado, éste publicará una nueva oferta en el BEC, de forma que mantenga su disposición a vender. Así mismo, si uno de los vendedores a los que se hace referencia en el Artículo 29 de esta Resolución, que esté registrado en el BEC según lo dispuesto en el Artículo 35 de la misma, le presenta una oferta al promotor de mercado, éste la aceptará e inmediatamente publicará en el BEC una nueva solicitud de compra, de forma que mantenga su disposición a comprar.
3. Con el fin de que el promotor de mercado pueda gestionar sus necesidades de suministro, la CREG establecerá un límite diario de la cantidad neta a negociar, de forma que la cantidad vendida menos la comprada no supere dicho límite.
4. El promotor de mercado sólo podrá condicionar la aceptación de una solicitud de compra o de una oferta, a los límites de cantidades y precios a los que se refieren los numerales 1 y 3 de este artículo.
ART. 39º— Selección del promotor de mercado. En caso de que la CREG decida adoptar la figura de promotor de mercado la CREG establecerá, en resolución aparte, los procedimientos que seguirá para su selección y los incentivos que tendrá el promotor para prestar estos servicios.
Título V
Negociación de contratos con interrupciones
ART. 40º— Negociación de contratos de suministro con interrupciones. Los contratos de suministro con interrupciones se negociarán mediante subastas o negociaciones directas así:
A. Modificado. Res. 102 009/2024, art. 16º. CREG. Negociación de contratos con interrupciones mediante subastas: Los vendedores y compradores del mercado primario podrán negociar directamente contratos con interrupciones en el mes previo al mes de inicio de su ejecución. Para lo anterior, cada vendedor deberá cumplir con los mismos criterios establecidos en el parágrafo del artículo 22 de la presente resolución y en las condiciones de negociación de los contratos se deberá indicar el criterio objetivo y neutral que será utilizado por el vendedor para definir durante la ejecución de los contratos, qué nominaciones que hagan los compradores serán las que se autorizarán para la entrega en el día de gas.
Para efectos de lo anterior, en ningún caso un vendedor del mercado primario podrá registrar en un solo contrato con interrupciones, una cantidad superior a la PTDV/CIDV remanente de la fuente de suministro del contrato, para el período de ejecución del mismo. Sin embargo, la suma de la totalidad de las cantidades de los contratos con interrupciones de una misma fuente de suministro podrá ser superior a la PTDV/CIDV remanente de dicha fuente para el período de ejecución de los mismos.
Para la ejecución diaria de los contratos con interrupciones de una misma fuente de suministro, el vendedor podrá autorizar las nominaciones de los compradores hasta un total que no supere la PTDV/CIDV del día de ejecución de los contratos de esa fuente de suministro. El precio de ejecución del contrato será el precio único acordado contractualmente.
B. Negociación de contratos con interrupciones a través de negociaciones directas: Con excepción de los usuarios no regulados, los vendedores y los compradores a los que hace referencia el Artículo 29 y en el Artículo 30 de esta Resolución podrán negociar directamente contratos con interrupciones en cualquier momento del año mediante las siguientes reglas: 1. Duración: el contrato deberá tener una duración mínima de 1 mes y máxima de 12 meses. En cualquier caso, su ejecución deberá iniciar antes de la finalización del año de gas en que se realice el registro, comprendido entre el 1 de diciembre y el 30 de noviembre del año calendario siguiente.
2. Precio: las partes deberán pactar un precio único expresado en dólares americanos por MBTU y no se actualizará durante el plazo de duración del contrato.
3. Cantidades: las partes deberán acordar la cantidad máxima contratada en MBTUD.
4. Ejecución:
a) En el día D-1, antes del inicio del ciclo de nominación de suministro, las partes fijarán la cantidad de gas en MBTU a entregar por parte del vendedor durante el día de gas y los puntos de entrega. El vendedor tendrá en cuenta esta información para realizar la nominación para el día de gas.
b) Durante el día de gas las partes podrán acordar modificar las cantidades y los puntos de entrega, en todo caso sujeto al proceso de renominaciones.
c) Durante el día D+1 las partes determinarán las cantidades de gas en MBTU autorizadas por el vendedor durante el día de gas y liquidarán el valor total por punto estándar de entrega de esas cantidades, en dólares americanos. La cantidad autorizada es aquella sobre la cual se realiza la facturación por parte del vendedor al comprador.
5. Reporte de información al gestor del mercado:
a) Información del contrato: las partes deberán reportar al gestor del mercado la información de los contratos según lo dispuesto en el Anexo 1 de la presente Resolución. Este contrato deberá estar registrado ante el gestor del mercado antes del día de inicio de ejecución.
b) Información de ejecución del contrato: a más tardar el día D+1 las partes deberán declarar al gestor del mercado las cantidades en MBTU autorizadas por el vendedor, el punto de entrega, el precio unitario expresado en dólares americanos por MBTU determinado a partir de la información del literal c) del numeral 4 del literal B del presente artículo y el tipo de demanda atendida. La cantidad autorizada es aquella sobre la cual se realiza la facturación por parte del vendedor al comprador.
PAR. 1º— De manera transitoria, los vendedores y los compradores a los que se hace referencia en los artículos 16, 29, 17 y 30 de esta Resolución podrán negociar directamente la compraventa de gas natural mediante la modalidad de contratos con interrupciones con una vigencia no mayor al último día del mes en que inicie el período de vigencia de la obligación de prestación de los servicios a cargo del gestor del mercado.
PAR. 2º— De conformidad con lo establecido en el parágrafo del artículo 12 del Decreto 2100 de 2011, o aquel que lo modifique complemente o sustituya, los vendedores a los que se hace referencia en el Artículo 16 de esta Resolución podrán negociar directamente el suministro del gas natural que provenga de campos que se encuentren en pruebas extensas o sobre los cuales no se haya declarado su comercialidad, de campos menores o de yacimientos no convencionales mediante la modalidad de contratos con interrupciones, sin sujetarse a lo dispuesto en el Anexo 6 de esta Resolución.
PAR. 3º— Los Comercializadores de gas importado podrán negociar directamente con los generadores térmicos el suministro del gas natural, con destino a la atención de la demanda de generadores termoeléctricos, mediante la modalidad de contratos con interrupciones. Estos contratos tendrán duración mensual. Solamente en este caso los comercializadores de gas natural importado no estarán obligados a dar aplicación a lo dispuesto en el Anexo 6 de esta Resolución.
PAR. 4º— Los contratos con interrupciones a los que se hace referencia en:
ii. Los contratos con interrupciones pactados entre el 15 de agosto de 2013 y la entrada en vigencia de la presente resolución.
Se entenderán como contratos con interrupciones negociados mediante subastas, a los que hace referencia el literal A del presente artículo.
PAR. 5º— Los contratos con interrupciones negociados a través de negociaciones directas que inicien el primero de diciembre del siguiente año de gas se deberán registrar entre el 20 y el 25 de noviembre del año de gas vigente.
Comentarios
Texto anterior: (...) A. Negociación de contratos con interrupciones mediante subastas: Los vendedores y los compradores a los que se hace referencia en el Artículo 16, Artículo 29, Artículo 17, y en el Artículo 30 de esta Resolución sólo podrán negociar la compraventa de gas natural mediante la modalidad de contratos con interrupciones a través de subastas mensuales. Estas subastas se realizarán el penúltimo día hábil de cada mes para cada campo, punto de entrada al SNT o punto del SNT que corresponda al sitio de inicio o terminación de alguno de los tramos de gasoductos definidos para efectos tarifarios, y se regirán por el reglamento establecido en el Anexo 6 de esta Resolución.
ART. 41º— Contratos con interrupciones. Los contratos de suministro con interrupciones que resulten de aplicar los mecanismos de comercialización establecidos en el literal A del Artículo 40 de esta Resolución deberán tener duración mensual, con vigencia desde las 00:00 horas del primer día calendario del mes hasta las 24:00 horas del último día calendario del mismo mes.
PAR.— De esta medida se exceptúan los contratos de suministro con interrupciones del gas natural que provenga de campos que se encuentren en pruebas extensas o sobre los cuales no se haya declarado su comercialidad, de campos menores o de yacimientos no convencionales.
Título VI
Aspectos operativos
ART. 42º— Consideraciones operativas relacionadas con renominaciones.
1. En relación con las renominaciones de suministro durante el día de gas se seguirán las siguientes reglas, además de aquellas establecidas en el RUT:
a) Los productores-comercializadores y los comercializadores de gas importado sólo podrán aceptar renominaciones de suministro de gas que no afecten las cantidades asignadas mediante el proceso úselo o véndalo de corto plazo para gas natural. Como excepción podrán aceptar renominaciones de suministro de gas que afecten las cantidades asignadas mediante el proceso úselo o véndalo de corto plazo para gas natural de conformidad con lo dispuesto en el literal b) de este numeral.
b) Los adjudicatarios del proceso úselo o véndalo de corto plazo para gas natural podrán solicitar renominaciones a través de los responsables de la nominación de gas. En este caso los responsables de la nominación de gas deberán solicitar la renominación e informar a los productores-comercializadores o a los comercializadores de gas importado que la renominación la hacen a nombre del comprador de corto plazo.
2. El productor-comercializador o el comercializador de gas importado podrán aceptar, en un tiempo inferior a seis (6) horas, las renominaciones que presenten los generadores térmicos originadas por requerimientos del Centro Nacional de Despacho para cumplir redespachos o autorizaciones en el sector eléctrico. En todo caso estas aceptaciones deberán acogerse a lo establecido en el presente artículo.
El productor-comercializador o el comercializador de gas importado sólo podrán negar la aceptación de renominaciones si existen limitaciones técnicas o de capacidad en el SNT o en la infraestructura de suministro de gas. Así mismo, estos participantes del mercado deberán conservar los soportes que evidencien la limitación técnica o de capacidad que no permitió aceptar la renominación, para cuando la autoridad competente o los remitentes los soliciten.
Título VI
Otras disposiciones
ART. 43º— Transición. Todas las disposiciones de la presente resolución se aplicarán una vez el gestor del mercado de gas natural desarrolle e implemente lo que le corresponda conforme al Artículo 39 de la Resolución CREG 185 de 2020 y a más tardar el 5 de enero de 2021. ART. 44º— Derogatorias. Una vez termine el periodo de transición establecido en el
Artículo 43 de esta resolución se entenderá derogada la Resolución
CREG 114 de 2017 en lo relacionado con la comercialización de suministro de gas natural.
PAR.— Se debe entender derogada para todos sus efectos las disposiciones de la Resolución
CREG 114 de 2017, teniendo en cuenta que el
artículo 40 de la Resolución CREG 185 de 2020 también dispone la derogación de lo relacionado con la comercialización de transporte de gas natural.
ART. 45º— Vigencia. La presente Resolución rige a partir de la fecha de su publicación en el Diario Oficial.
Anexo 1
Información transaccional y operativa
En desarrollo del servicio al que se hace referencia en el
numeral 2 del Artículo 5 de esta Resolución, el gestor del mercado recopilará, verificará, publicará y conservará la información que se detalla a continuación. La declaración de la información señalada en este anexo se hará a partir de la fecha en que el gestor del mercado inicie la prestación de sus servicios.
1. Información transaccional del mercado primario
1.1. Recopilación de información sobre el suministro de gas natural en el mercado primario
a) Información a recopilar de los contratos
El gestor del mercado llevará un registro de los contratos de suministro de gas natural que se suscriban en el mercado primario.
Los vendedores y los compradores de gas natural a los que se hace referencia en el Artículo 16 y en el Artículo 17 de esta Resolución deberán registrar ante el gestor del mercado los contratos de suministro de gas natural que suscriban en el mercado primario. Para estos efectos, cada vendedor y cada comprador deberá declarar al gestor del mercado la siguiente información de cada uno de sus contratos:
i. Número del contrato.
ii. Fecha de suscripción del contrato.
iii. Nombre de cada una de las partes.
iv. Modalidad de contrato, según lo dispuesto en el Artículo 8 de esta Resolución. Para aquellos contratos suscritos antes de la entrada en vigencia de esta Resolución, se deberá declarar la modalidad de contrato de acuerdo con la normatividad vigente al momento de suscribirlo.
v. Punto de entrega de la energía al comprador. Se entenderá por punto de entrega el campo, punto de entrada al SNT o punto del SNT que corresponda al sitio de inicio o terminación de alguno de los tramos de gasoductos definidos para efectos tarifarios. Se deberá indicar el nombre de la fuente de suministro de la cual se contrató la cantidad de energía pactada en el contrato.
vi. Cantidad de energía contratada, expresada en MBTUD.
vii. Precio a la fecha de suscripción del contrato, expresado en dólares de los Estados Unidos de América por MBTU.
viii. Fecha de inicio de la obligación de entrega (día/mes/año).
ix. Fecha de terminación de la obligación de entrega (día/mes/año).
x. La demás información que determine la CREG.
Adicionalmente, cada comprador deberá declarar al gestor del mercado el tipo de demanda a atender con el contrato. Esto es, regulado o no regulado, desagregado en residencial, comercial, industrial, gas para transportadores, petroquímica, refinería, gas natural vehicular comprimido, generación térmica, exportaciones u otros. Los compradores que entreguen a usuario final no regulado deberán declarar el nombre del usuario, la ubicación y/o punto de salida del usuario en el SNT y la cantidad contratada con cada usuario. Cuando el comprador entregue a usuarios regulados deberá especificar la cantidad a entregar, el mercado relevante en el que se consumirá esa cantidad y los correspondientes puntos de salida.
La declaración de la información para el registro de los contratos se realizará a través del medio y del formato que defina el gestor del mercado.
Los vendedores y los compradores a los que se hace referencia en los Artículos 16 y 17 de esta Resolución deberán actualizar el registro ante el gestor del mercado, en los eventos en que exista cesión, terminación anticipada o modificación del contrato de suministro de gas natural. Para estos efectos los vendedores y los compradores deberán declarar al gestor del mercado la información previamente señalada, debidamente actualizada.
El gestor del mercado podrá solicitar copia de los contratos referidos, caso en el cual los vendedores y los compradores a los que se hace referencia en los Artículos 16 y 17 de esta Resolución estarán en la obligación de entregar tales copias al gestor del mercado.
La no declaración de la información aquí señalada podrá ser considerada por la autoridad competente como una práctica contraria a la libre competencia. Igual consideración se podrá dar a la declaración reiterada de información inconsistente. Lo anterior sin perjuicio de la responsabilidad derivada de la posible falla en la prestación del servicio que se cause por la no declaración de esta información.
1.2. Verificación de información, registro de contratos y publicación de información transaccional del mercado primario
a) Verificación
El gestor del mercado verificará la consistencia de la información transaccional declarada por los compradores y los vendedores del mercado primario. En particular, verificará que:
i. La información declarada por cada vendedor en atención a lo dispuesto en el literal a) del numeral 1.1 de este Anexo coincida con la declarada por cada comprador en atención a lo dispuesto en el literal a) del numeral 1.1 de este Anexo.
Si el gestor del mercado encuentra discrepancias como resultado de las verificaciones de que trata el numeral i anterior el gestor del mercado deberá informárselo a las partes, dentro de las 24 horas siguientes al recibo de la última de las declaraciones presentadas por las partes de cada contrato, para que ellas rectifiquen las diferencias a más tardar 24 horas después del recibo de la solicitud de verificación. Cuando no sea posible la rectificación dentro de este término el gestor del mercado deberá abstenerse de registrar el contrato y no podrá tenerlo en cuenta para efectos de publicación. En este caso el gestor del mercado deberá informar esta situación a las partes involucradas y a los órganos responsables de la inspección, vigilancia y control.
Para efectos de la verificación, el gestor del mercado podrá contrastar la información declarada por los participantes del mercado con la contenida en los contratos de los que haya solicitado copia.
b) Registro de contratos
El registro de los contratos del mercado primario se iniciará a partir de la fecha en que el gestor del mercado inicie la prestación de sus servicios.
El gestor del mercado registrará cada contrato del mercado primario una vez haya verificado que la información declarada por el comprador es consistente con la información declarada por el vendedor, según lo señalado en el literal a) de este numeral. El gestor del mercado asignará un número de registro a cada contrato registrado.
Para el caso de los contratos que se suscriban con posterioridad a la fecha mencionada en el primer inciso de este literal, la declaración de la información señalada en literal a) del numeral 1.1 este Anexo se deberá realizar dentro de los tres (3) días hábiles siguientes a la suscripción del contrato. El gestor del mercado dispondrá de hasta tres (3) días hábiles, contados a partir del recibo de la última de las declaraciones presentadas por las partes de cada contrato, para verificar la información, registrar el contrato cuando proceda y actualizar la lista de contratos registrados.
Para el caso de los contratos suscritos en el mercado primario antes de la fecha mencionada en el primer inciso de este literal, la declaración de la información señalada en el literal a) del numeral 1.1 de este Anexo se deberá realizar dentro del mes siguiente a dicha fecha. El gestor del mercado dispondrá de dos (2) meses, contados a partir de la fecha establecida en el primer inciso de este literal para verificar la información recibida oportunamente, registrar los contratos cuando proceda y actualizar la lista de contratos registrados. Una vez trascurridos los dos (2) meses aquí señalados no se podrán aceptar nominaciones ni realizar entregas de gas natural correspondientes a los contratos vigentes que no estén debidamente registrados.
Los productores-comercializadores y los comercializadores de gas importado no podrán aceptar las nominaciones ni podrán entregar las cantidades correspondientes a contratos que no estén registrados ante el gestor del mercado.
Para facilitar el cumplimiento de esta medida el gestor del mercado, a través del BEC, pondrá a disposición de los participantes del mercado que estén registrados en el BEC, la lista de sus contratos debidamente registrados.
c) Publicación
El gestor del mercado publicará la siguiente información en el BEC, con la periodicidad indicada:
i. La cantidad total de energía negociada mediante cada modalidad de contrato y para cada punto de entrega. Esta información se actualizará cada vez que cambie la cantidad contratada bajo alguna de las modalidades contractuales definidas en el Artículo 8 de esta Resolución.
ii. El precio promedio, ponderado por cantidades, al que se negoció cada modalidad de contrato de suministro, en cada punto de entrega. Esta información se actualizará cuando cambie la cantidad contratada bajo alguna de las modalidades contractuales definidas en el Artículo 8 de esta Resolución; o se actualice el precio pactado en los contratos como consecuencia de la actualización de precios a que se refiere el Artículo 15 de la presente Resolución.
iii. El precio promedio nacional por modalidad de contrato, calculado como el promedio, ponderado por cantidades, de los precios a que se refiere el numeral anterior. Este valor se actualizará con la frecuencia señalada en el numeral anterior.
iv. Los índices requeridos para aplicar las ecuaciones establecidas en el Anexo 3 de esta Resolución. Esta información se publicará a más tardar el último día hábil del mes de noviembre de cada año.
El gestor del mercado no identificará las negociaciones individuales en la información publicada.
2. Información transaccional del mercado secundario
2.1. Recopilación de información sobre el suministro de gas natural en el mercado secundario.
El gestor del mercado llevará un registro de los contratos de suministro de gas natural que se suscriban en el mercado secundario.
Los vendedores y los compradores de gas natural a los que se hace referencia en el Artículo 29 y el Artículo 30 de esta Resolución deberán registrar ante el gestor del mercado los contratos de suministro de gas natural que suscriban en el mercado secundario. Para estos efectos, cada vendedor y cada comprador deberá declarar al gestor del mercado la siguiente información de cada uno de sus contratos:
a) Información contractual
i. Número del contrato.
ii. Fecha de suscripción del contrato.
iii. Nombre de cada una de las partes.
iv. Modalidad de contrato, según lo dispuesto en el Artículo 26 de esta Resolución.
v. Punto de entrega. Corresponderá a un punto estándar de entrega. En el caso de los contratos con interrupciones se entenderá por punto de entrega el campo, punto de entrada al SNT o punto del SNT que corresponda al sitio de inicio o terminación de alguno de los tramos de gasoductos definidos para efectos tarifarios.
vi. Cantidad de energía contratada, expresada en MBTUD.
vii. Precio a la fecha de suscripción del contrato, expresado en dólares de los Estados Unidos de América por MBTU.
viii. Fecha de inicio de la obligación de entrega (día/mes/año). En el caso de los contratos con duración menor a veinticuatro horas durante el día de gas también se deberá declarar la hora de inicio.
ix. Fecha de terminación de la obligación de entrega (día/mes/año). En el caso de los contratos con duración menor a veinticuatro horas durante el día de gas también se deberá declarar la hora de terminación.
x. La demás información que determine la CREG.
Adicionalmente, cada comprador deberá declarar al gestor del mercado el tipo de demanda a atender con el contrato. Esto es, regulado o no regulado, desagregado en residencial, comercial, industrial, gas para transportadores, petroquímica, refinería, gas natural vehicular comprimido, generación térmica, exportaciones u otros. Los compradores que entreguen a usuario final no regulado deberán declarar el nombre del usuario, la ubicación y/o punto de salida del usuario en el SNT y la cantidad contratada con cada usuario. Cuando el comprador entregue a usuarios regulados deberá especificar la cantidad a entregar, el mercado relevante en el que se consumirá esa cantidad y los correspondientes puntos de salida.
La declaración de la información para el registro de los contratos se realizará a través del medio y del formato que defina el gestor del mercado.
Los vendedores y los compradores a los que se hace referencia en el Artículo 29 y en el Artículo 30 de esta Resolución deberán actualizar el registro ante el gestor del mercado, en los eventos en que exista cesión, terminación anticipada o modificación del contrato de suministro de gas natural. Para estos efectos los vendedores y los compradores deberán declarar al gestor del mercado la información previamente señalada, debidamente actualizada.
El gestor del mercado podrá solicitar copia de los contratos referidos, caso en el cual los vendedores y los compradores a los que se hace referencia en el Artículo 29 y en el Artículo 30 de esta Resolución estarán en la obligación de entregar tales copias al gestor del mercado.
La no declaración de la información aquí señalada podrá ser considerada por la autoridad competente como una práctica contraria a la libre competencia. Igual consideración se podrá dar a la declaración reiterada de información inconsistente.
b) Información sobre contratos con interrupciones pactados a través de negociaciones directas
Información contractual:
A más tardar 7 días hábiles antes del inicio de la ejecución, los compradores y vendedores deberán declarar al gestor del mercado la siguiente información relacionada con el contrato:
i. Número del contrato.
ii. Fecha de suscripción del contrato.
iii. Nombre de cada una de las partes.
v. Precio único pactado en el contrato, expresado en dólares de los Estados Unidos de América por MBTU, como se establece en el numeral 2 del literal B del Artículo 40 de la presente Resolución.
vii. Fecha de inicio del contrato (día/mes/año).
viii. Fecha de terminación del contrato (día/mes/año).
ix. La demás información que determine la CREG.
La declaración de la información para el registro de los contratos se realizará a través del medio y del formato que defina el gestor del mercado.
Los vendedores y los compradores deberán actualizar el registro ante el gestor del mercado, en los eventos en que exista cesión, terminación anticipada o modificación del contrato de suministro de gas natural. Para estos efectos los vendedores y los compradores deberán declarar al gestor del mercado la información previamente señalada, debidamente actualizada.
El gestor del mercado podrá solicitar copia de los contratos referidos, caso en el cual los vendedores y los compradores a los que se hace referencia en el Artículo 29 y en el Artículo 30 de esta Resolución estarán en la obligación de entregar tales copias al gestor del mercado.
Información sobre la ejecución del contrato:
A más tardar a las 24:00 horas del día D+1, los compradores y vendedores deberán declarar al gestor del mercado la siguiente información sobre la ejecución del contrato, por cada punto de entrega:
i. Número de contrato en ejecución.
ii. Cantidad total de gas en MBTU autorizada por el vendedor al comprador para el día de gas. La cantidad autorizada es aquella sobre la cual se realiza la facturación por parte del vendedor al comprador.
iii. Valor facturado por la cantidad de gas autorizada para el día de gas, expresado en dólares de los Estados Unidos de América. En ningún momento el precio unitario acordado para el día de gas, podrá superar el precio único al que hace referencia el numeral 2 del literal B del Artículo 40 de la presente Resolución.
iv. Punto de entrega de las cantidades de gas autorizadas por el vendedor.
Adicionalmente, cada comprador deberá declarar al gestor del mercado el tipo de demanda a atender con la ejecución del contrato. Esto es, regulado o no regulado, desagregado en residencial, comercial, industrial, gas para transportadores, petroquímica, refinería, gas natural vehicular comprimido, generación térmica, exportaciones u otros.
Los compradores que entreguen a usuario final no regulado deberán declarar el nombre del usuario, la ubicación y/o punto de salida del usuario en el SNT y la cantidad contratada con cada usuario. Cuando el comprador entregue a usuarios regulados deberá especificar la cantidad a entregar, el mercado relevante en el que se consumirá esa cantidad y los correspondientes puntos de salida.
La declaración de la información señalada en el presente literal se deberá realizar a través del medio y del formato que defina el gestor del mercado.
La no declaración de la información aquí señalada podrá ser considerada por la autoridad competente como una práctica contraria a la libre competencia. Igual consideración se podrá dar a la declaración reiterada de información inconsistente.
2.2. Verificación de información, registro de contratos y publicación de información transaccional del mercado secundario
El registro de los contratos del mercado secundario se iniciará a partir de la fecha en que el gestor del mercado inicie la prestación de sus servicios.
Para el registro de dichos contratos y la publicación de información sobre los mismos, el gestor del mercado se sujetará a las siguientes disposiciones:
a) A más tardar a las 14:00 horas del día de gas, cada vendedor y cada comprador declarará ante el gestor del mercado la información de los contratos que haya celebrado en el mercado secundario entre las 00:00 y las 12:00 horas del día de gas. Esta declaración se hará a través del medio y del formato que defina el gestor del mercado.
b) A las 15:00 horas del día de gas, el gestor del mercado publicará la siguiente información en el BEC:
i. La cantidad de energía negociada en el mercado secundario entre las 00:00 y las 12:00 horas del día de gas, bajo cada modalidad de contrato y para cada punto de entrega.
ii. El precio promedio, ponderado por cantidades, acordado en los contratos de suministro de gas natural en el mercado secundario entre las 00:00 y las 12:00 horas del día de gas, bajo cada modalidad de contrato en cada punto de entrega.
El gestor del mercado no identificará las negociaciones individuales en la información publicada.
Para la publicación de esta información el gestor del mercado no estará obligado a verificarla previamente.
c) A más tardar a las 8:00 horas del día calendario siguiente al día de gas, cada vendedor y cada comprador declarará ante el gestor del mercado la información de los contratos que haya celebrado en el mercado secundario entre las 12:00 y las 24:00 horas del día de gas. Esta declaración se hará a través del medio y del formato que defina el gestor del mercado.
d) A las 9:00 horas del día calendario siguiente al día de gas, el gestor del mercado publicará la siguiente información en el BEC:
i. La cantidad de energía negociada en el mercado secundario durante el día de gas, bajo cada modalidad de contrato y para cada punto de entrega.
ii. El precio promedio, ponderado por cantidades, acordado en los contratos de suministro de gas natural en el mercado secundario durante el día de gas, bajo cada modalidad de contrato para cada punto de entrega.
iii. Los precios mínimos y máximos de la energía negociada en el mercado secundario durante el día de gas, bajo cada modalidad de contrato y para cada punto de entrega, al igual que el número total de negociaciones realizadas.
iv. La cantidad de energía negociada el día de gas mediante el proceso úselo o véndalo de corto plazo de que trata el Artículo 36 de esta Resolución.
v. El precio promedio, ponderado por cantidades, acordado en los contratos de suministro de gas natural para el día de gas mediante el proceso de que trata el Artículo 36 de esta Resolución, para cada punto de entrega.
vi. El precio promedio nacional de la energía negociada mediante el proceso de que trata el Artículo 36 de esta Resolución para el día de gas calculado como el promedio, ponderado por cantidades, de los precios a que se refiere el numeral anterior.
El gestor del mercado no identificará las negociaciones individuales en la información publicada.
Para la publicación de esta información el gestor del mercado no estará obligado a verificarla previamente.
e) El gestor del mercado verificará la consistencia de la información transaccional declarada por los compradores y los vendedores del mercado secundario. En particular, verificará que:
i. La información declarada por cada vendedor, en atención a lo dispuesto en el literal a) del numeral 2.1 de este Anexo, coincida con la declarada por cada comprador en atención a lo dispuesto en el literal a) del numeral 2.1 de este Anexo.
El gestor del mercado registrará cada contrato del mercado secundario una vez haya verificado que la información declarada por el comprador es consistente con la información declarada por el vendedor, según lo señalado en este literal. El gestor del mercado asignará un número de registro a cada contrato registrado.
Si el gestor del mercado encuentra discrepancias como resultado de las verificaciones de que trata el numeral i anterior, el gestor del mercado deberá informárselo a las partes, durante el día calendario siguiente al día de gas, para que ellas rectifiquen las diferencias a más tardar el segundo día calendario siguiente al día de gas. Cuando no sea posible la rectificación dentro de este término el gestor del mercado deberá abstenerse de registrar el contrato y no podrá tenerlo en cuenta para efectos de publicación. En este caso el gestor del mercado deberá informar esta situación a las partes involucradas y a los órganos responsables de la inspección, vigilancia y control.
Si la rectificación conlleva a cambios en la información publicada por el gestor del mercado, éste deberá publicar la información ajustada durante el tercer día calendario siguiente al día de gas.
Para efectos de la verificación, el gestor del mercado podrá contrastar la información declarada por los participantes del mercado con la contenida en los contratos de los que haya solicitado copia.
3. Información de otras transacciones en el mercado mayorista
3.1. Recopilación de información sobre negociaciones entre comercializadores y usuarios no regulados
a) Información a recopilar de los contratos
El gestor del mercado llevará un registro de los contratos de prestación del servicio público domiciliario de gas natural a usuarios no regulados.
Los comercializadores deberán registrar ante el gestor del mercado los contratos de prestación del servicio público domiciliario de gas natural a usuarios no regulados. Para estos efectos deberán declarar la siguiente información de cada uno de sus contratos:
i. Número del contrato.
ii. Fecha de suscripción del contrato.
iii. Nombre de cada una de las partes.
iv. Tipo de demanda: comercial, industrial, gas para transportadores, petroquímica, refinería, gas natural vehicular comprimido, generación térmica u otros. Se deberá declarar el nombre del usuario, la cantidad contratada con el mismo y su ubicación, para lo cual se deberá especificar si se trata de un usuario conectado al SNT o a un sistema de distribución. Si el usuario está conectado al SNT, el comercializador deberá declarar en cuál municipio y departamento se encuentra el punto de salida del usuario. Si el usuario está conectado a un sistema de distribución, el comercializador deberá declarar el mercado relevante al que pertenece el sistema de distribución.
v. Cantidad de energía contratada, expresada en MBTUD.
vi. Precio de la energía a entregar en el domicilio del usuario, expresado en dólares de los Estados Unidos de América por MBTU, a la fecha de suscripción del contrato.
vii. Fecha de inicio del contrato (día/mes/año).
viii. Fecha de terminación del contrato (día/mes/año).
ix. Garantías.
x. Plazo para realizar el pago.
xi. La demás información que determine la CREG.
La declaración de la información para el registro de los contratos se realizará a través del medio y del formato que defina el gestor del mercado.
La terminación anticipada o la modificación del contrato dará lugar a la actualización del registro ante el gestor del mercado. Para estos efectos los comercializadores deberán declarar al gestor del mercado la información previamente señalada, debidamente actualizada.
La no declaración de la información aquí señalada podrá ser considerada por la autoridad competente como una práctica contraria a la libre competencia. Igual consideración se podrá dar a la declaración reiterada de información inconsistente.
b) Información de los usuarios no regulados
Los usuarios no regulados que estén dispuestos a declarar ante el gestor del mercado la información listada previamente, lo harán a través del medio y del formato que defina el gestor del mercado.
3.2. Registro de contratos y publicación de información sobre negociaciones entre comercializadores y usuarios no regulados
El registro de los contratos suscritos entre comercializadores y usuarios no regulados se iniciará a partir de la fecha en que el gestor del mercado inicie la prestación de sus servicios. El registro se deberá realizar dentro de los tres (3) días hábiles siguientes a la suscripción del contrato.
Para el registro de dichos contratos y la publicación de información sobre los mismos, el gestor del mercado se sujetará a las siguientes disposiciones:
a) Registro de contratos y publicación de información declarada por los comercializadores
El gestor del mercado registrará los contratos con base en la información declarada por los comercializadores. Con base en dicha información, el gestor del mercado publicará lo siguiente en el BEC, el quinto día hábil de cada mes:
i. El precio promedio, ponderado por cantidades, al que se vendió gas natural a usuarios no regulados, por municipio y departamento, durante el mes calendario anterior. Este valor se expresará en dólares de los Estados Unidos de América por MBTU.
ii. El precio mínimo y el precio máximo a los que se vendió el gas natural a usuarios no regulados, por municipio y departamento, durante el mes calendario anterior. Estos valores se expresarán en dólares de los Estados Unidos de América por MBTU.
b) Información declarada por los usuarios no regulados
Cuando los usuarios no regulados declaren información sobre los contratos suscritos con los comercializadores, el gestor del mercado verificará la consistencia entre ésta y la información declarada por los comercializadores. Con base en la información consistente, el gestor del mercado publicará la siguiente información en el BEC, el quinto día hábil de cada mes:
i. El precio promedio, ponderado por cantidades, al que se vendió gas natural a usuarios no regulados, por municipio y departamento, durante el mes calendario anterior. Este valor se expresará en dólares de los Estados Unidos de América por MBTU.
ii. El precio mínimo y el precio máximo a los que se vendió gas natural a usuarios no regulados, por municipio y departamento, durante el mes calendario anterior. Estos valores se expresarán en dólares de los Estados Unidos de América por MBTU.
4. Información operativa
4.1. Recopilación de información operativa
La declaración de la información señalada en el presente numeral se deberá realizar a través del medio y del formato que defina el gestor del mercado. Dicha declaración se hará a partir de la fecha en que el gestor del mercado inicie la prestación de sus servicios.
La no declaración de la información aquí señalada podrá ser considerada por la autoridad competente como una práctica contraria a la libre competencia. Igual consideración se podrá dar a la declaración reiterada de información inconsistente.
a) Suministro
A más tardar a las 12:00 horas del día D+1, los productores-comercializadores que operen campos de producción y los comercializadores de gas importado deberán declarar al gestor del mercado la siguiente información operativa del día de gas:
i. Cantidad total de energía inyectada en cada punto de entrada al SNT y la cantidad total entregada a través de otros medios de transporte como gasoductos dedicados y gas natural comprimido, expresada en MBTU. Los comercializadores de gas importado y los productores-comercializadores de campos aislados también deberán declarar al gestor del mercado aquella cantidad total de energía que es consumida en el territorio nacional y no pasa por el SNT, expresada en MBTU.
ii. Cantidad de energía a suministrar en cada punto de entrada al SNT, expresad en MBTU, de acuerdo con la nominación realizada para el día de gas.
iii. Cantidad de energía exportada, expresada en MBTU, con sujeción a las medidas que el Ministerio de Minas y Energía adopte sobre la materia.
iv. La demás información que determine la CREG.
b) Entregas a usuarios finales
A más tardar a las 12:00 horas del día D+1, los comercializadores y los distribuidores deberán declarar al gestor del mercado la siguiente información operativa del día de gas:
i. Cantidad total de energía tomada en el punto de salida del SNT para ser entregada a usuarios finales, desagregada por tipo de demanda regulada y no regulada. El distribuidor será el responsable de declarar esta información cuando el punto de salida del SNT corresponda a una estación de puerta de ciudad. En los demás casos el responsable será el comercializador o el usuario no regulado, según corresponda.
En los casos señalados en el parágrafo 5 del artículo 36 de la Resolución CRE 185 de 2020, el transportador deberá reportar al gestor las cantidades tomadas en el punto de salida por cada remitente, de conformidad con la asignación de medición acordada entre ellos.
A partir de la medición real del día de gas la demanda no regulada se deberá desagregar en comercial, industrial, gas para transportadores, petroquímica, refinería, gas natural vehicular comprimido, plantas térmicas u otros, expresada en MBTU. Con base en mediciones históricas la demanda regulada se deberá desagregar en residencial, comercial, industrial, gas para transportadores, petroquímica, refinería, gas natural vehicular comprimido, plantas térmicas u otros, expresada en MBTU.
El distribuidor, el comercializador o el usuario no regulado, según corresponda, declarará el número del contrato bajo el cual se transportó dicho gas.
ii. La demás información que determine la CREG.
Los usuarios no regulados que participen como compradores en el mercado primario deberán declarar mensualmente al gestor del mercado, a través del medio y del formato que éste defina, la información señalada en este literal.
c) Información sobre nominaciones de suministro de gas
i. Los productores-comercializadores y los comercializadores de gas importado deberán declarar al gestor del mercado la siguiente información de nominación para el día de gas, antes de las 12:00 horas del día de gas, por cada fuente de suministro y para cada una de sus contrapartes:
- Código contraparte.
- Número de operación asignado por el gestor.
- Nombre de los puntos de entrada donde se inyecta la energía al SNT. Estos puntos de entrada deberán corresponder a los puntos de entrada con código asignado por el gestor del mercado.
- Destino del gas contratado: Costa, interior, zona aislada en costa o interior.
- Cantidad de energía a suministrar incluida en el programa de suministro de gas definitivo, esto es el dato final después de renominaciones, expresada en MBTU, determinada por tipo de demanda no regulada la cual deberá ser desagregada en comercial, industrial, gas para transportadores, petroquímica, refinería, gas natural vehicular comprimido, plantas de generación térmica u otros y demanda regulada la cual deberá ser desagregada en residencial, comercial, industrial, gas para transportadores, petroquímica u otros.
ii. Los productores-comercializadores y los comercializadores de gas importado deberán declarar al gestor del mercado la siguiente información de cada renominación ocurrida durante el día de gas, antes de las 12:00 horas del día D+1, por cada campo de producción y para cada una de sus contrapartes:
- Código contraparte.
- Número de operación asignado por el gestor.
- Nombre de los puntos de entrada donde se inyecta la energía al SNT. Estos puntos de entrada deberán corresponder a los puntos de entrada con código asignado por el gestor del mercado.
- Hora en la cual el productor-comercializador o el comercializador de gas importado recibió la renominación.
- Destino del gas contratado: Costa, interior, zona aislada en costa o interior.
- Cantidad de energía a suministrar incluida en el programa de suministro de gas definitivo, esto es el dato final después de renominaciones, expresada en MBTU, determinada por tipo de demanda no regulada la cual deberá ser desagregada en comercial, industrial, gas para transportadores, petroquímica, refinería, gas natural vehicular comprimido, plantas de generación térmica u otros y demanda regulada la cual deberá ser desagregada en residencial, comercial, industrial, gas para transportadores, petroquímica u otros.
Cuando el productor-comercializador o el comercializador de gas importado no disponga de la información para declarar al gestor la energía por sectores, estos participantes del mercado exigirán que en la nominación el comprador les señale la desagregación por tipo de demanda de la energía nominada. El remitente deberá entregar la desagregación el mismo día de la nominación y en el formato que establezca el productor-comercializador o el comercializador de gas importado.
El gestor del mercado definirá el medio y los formatos para la declaración de la información señalada en este literal.
d) Otra información operativa
Los productores-comercializadores y los comercializadores de gas importado deberán declarar al gestor del mercado la siguiente información, cada vez que sea necesario para mantenerla actualizada, por cada fuente de suministro que debe corresponder al código que el gestor asignó al punto de entrada donde el productor inyecta el gas al SNT:
- Tipo de fuente de suministro: planta de importación de gas, campo de producción especificando si se trata de un menor, aislado, en pruebas extensas, yacimiento no convencional, nuevo campo y otros.
- Nombre del punto de entrada: punto de entrada donde se inyecta el gas al SNT que corresponda al nombre y código asignado por el gestor del mercado. En caso de que el punto de entrada esté sobre un sistema de distribución se deberá indicar el nombre del mercado relevante y del municipio donde está ubicado el punto de entrada. Si se trata de una fuente que no tiene conexión al SNT o a un sistema de distribución, como podría ser el caso de entrega de gas a sistemas de transporte de gas natural comprimido, el nombre del punto de entrada será igual al nombre de la fuente.
4.2. Verificación y publicación de la información operativa
a) Verificación
A partir de la información operativa recolectada con base en el presente Anexo y en el Anexo 2 de la Resolución 185 de 2020, el gestor del mercado verificará la consistencia de la información operativa declarada por las partes que intervienen en los contratos. En particular, verificará que:
i. Las cantidades de energía inyectadas en cada punto de entrada al SNT, declaradas por los productores-comercializadores y los comercializadores de gas importado, coincidan con las cantidades de energía recibidas en cada punto de entrada al SNT, declaradas por los transportadores.
ii. Las cantidades de energía que cada remitente tomó en cada punto de salida del SNT, declaradas por los transportadores, coincidan con las cantidades de energía tomadas en cada punto de salida del SNT, declaradas por los distribuidores, los comercializadores y los usuarios no regulados.
iii. El número del contrato bajo el cual se transportó el gas que cada remitente tomó en cada punto de salida del SNT, declarado por el transportador, coincida con el número del contrato bajo el cual se transportó el gas tomado en cada punto de salida del SNT, declarado por los distribuidores, los comercializadores y los usuarios no regulados.
iv. Los contratos bajo los cuales se transportó gas natural, declarados por los transportadores, los comercializadores, los distribuidores y los usuarios no regulados, estén debidamente registrados ante el gestor del mercado.
Si el gestor del mercado encuentra discrepancias como resultado de las verificaciones de que tratan los numerales i, ii y iii anteriores, el gestor del mercado deberá informárselo a las partes, durante el día calendario siguiente al día de gas, para que ellas rectifiquen las diferencias a más tardar el segundo día calendario siguiente al día de gas. Cuando no sea posible la rectificación dentro de este término el gestor del mercado no podrá tenerlo en cuenta para efectos de publicación. En este caso el gestor del mercado deberá informar esta situación a las partes involucradas y a los órganos responsables de la inspección, vigilancia y control.
Si el gestor del mercado encuentra discrepancias como resultado de las verificaciones de que trata el numeral iv anterior, el gestor del mercado deberá informarle esta situación a las partes responsables de declarar la respectiva información y a los órganos responsables de la inspección, vigilancia y control.
b) Publicación
A partir de la información operativa recolectada con base en el presente Anexo y en el Anexo 2 de la Resolución 185 de 2020, el gestor del mercado publicará la siguiente información en el BEC, con la periodicidad aquí establecida:
i. Las cantidades totales de energía inyectadas diariamente en cada punto de entrada al SNT y las cantidades totales provenientes de campos aislados, desagregadas en producción nacional e importaciones, expresadas en MBTU. Esta información se actualizará dentro de los primeros cinco (5) días hábiles de cada mes y deberá mostrar el histórico de los últimos doce (12) meses por las modalidades contractuales establecidas en el Artículo 8 de esta Resolución.
ii. La cantidad total de energía tomada diariamente de cada tramo de gasoducto definido para efectos tarifarios y de cada sistema de transporte, expresada en MBTU. Esta información se actualizará dentro de los primeros cinco (5) días hábiles de cada mes y deberá mostrar el histórico de los últimos doce (12) meses por tipo de demanda (i.e. regulada, no regulada o tomada por otro transportador; la demanda regulada y no regulada deberá ser desagregada en residencial, comercial, industrial, gas para transportadores, petroquímica, gas natural vehicular comprimido, plantas de generación térmica u otros).
iii. La cantidad total de energía tomada diariamente del SNT, expresada en MBTU. Esta información se actualizará dentro de los primeros cinco (5) días hábiles de cada mes y deberá mostrar el histórico de los últimos doce (12) meses por tipo de demanda (i.e. regulada y no regulada, desagregada en residencial, comercial, industrial, gas para transportadores, petroquímica, gas natural vehicular comprimido, plantas de generación térmica u otros) y por las modalidades contractuales establecidas en el Artículo 8 de esta Resolución.
iv. La cantidad total de energía declarada por los comercializadores de gas importado resultante de adicionar aquella inyectada al SNT más aquella consumida en el territorio nacional sin haber ingresado al SNT, expresada en MBTU. Esta información se actualizará dentro de los primeros cinco (5) días hábiles de cada mes y deberá mostrar el histórico de los últimos doce (12) meses por las modalidades contractuales establecidas en el Artículo 8 de esta Resolución.
v. Cantidad total de energía tomada diariamente en los puntos de salida de cada sistema de transporte, o entregada en los puntos de transferencia entre transportadores, correspondiente a contratos de parqueo, expresada en MBTU.
vi. Las cantidades totales de energía a suministrar diariamente, según las nominaciones de suministro, en cada punto de entrada al SNT, expresadas en MBTU. Esta información se actualizará dentro de los primeros cinco (5) días hábiles de cada mes y deberá mostrar el histórico de los últimos doce (12) meses.
vii. Las cantidades totales de energía autorizada diariamente, según las nominaciones de transporte, por cada sistema de transporte, expresadas en MBTU. Esta información se actualizará dentro de los primeros cinco (5) días hábiles de cada mes y deberá mostrar el histórico de los últimos doce (12) meses.
viii. La demás que determine la CREG.
5. Conservación de información
El gestor del mercado deberá conservar toda la información que recopile. En desarrollo de esta labor deberá:
a) Conservar toda la información declarada a él durante el período de vigencia de la obligación de prestación del servicio. Los datos deberán tener el correspondiente back-up por fuera de su aplicativo web.
b) Asegurar que todos los datos y registros se mantengan en un formato convencional para su entrega a quien eventualmente lo sustituya como gestor del mercado, según lo determine la CREG.
c) Asegurar que la información histórica agregada esté disponible para ser descargada del BEC en un formato convencional, y de alta compatibilidad con diferentes plataformas informáticas.
6. Divulgación anual de información
El gestor del mercado deberá publicar un informe anual en el BEC en el que se presente la siguiente información agregada del mercado primario, del mercado secundario y de las negociaciones entre comercializadores y usuarios no regulados:
a) Promedio de las cantidades de energía negociadas durante cada mes del año, expresada en MBTUD.
b) Promedio de las cantidades de energía negociadas diariamente, expresada en MBTUD.
c) Cantidad total de energía negociada durante el año, expresada en MBTU.
d) Cantidad total de energía negociada durante cada mes del año, expresada en MBTU.
e) Precio promedio, ponderado por cantidades, de la energía negociada durante el año, expresado en dólares de los Estados Unidos de América por MBTU.
f) Precio promedio, ponderado por cantidades, de la energía negociada durante cada mes del año, expresado en dólares de los Estados Unidos de América por MBTU.
g) Número de negociaciones durante el año.
h) Número promedio de negociaciones diarias.
i) Índices del mercado.
j) Cualquier otra información relevante relacionada con sus actividades en el año anterior.
7. Indicadores del mercado primario (MP)
El gestor del mercado deberá calcular, con la periodicidad que en cada caso se expone y a partir de la información recolectada con base en el presente Anexo y en el Anexo 2 de la Resolución CREG 185 de 2020, los indicadores del mercado primario que se describen a continuación:
8. Unificación de puntos en el SNT
Los puntos sobre el SNT en los que se pueda generar información relevante para el mercado, se deberán codificar teniendo en cuenta los siguientes aspectos:
a) Información que debe declara el transportador:
i. Para cada punto de entrada y de salida del sistema de transporte, los transportadores deberán declarar al gestor del mercado, y cada vez que exista una modificación o actualización, la siguiente información para todos los tramos del SNT que corresponda:
- Nombre
- Ubicación, indicando el código de la División Político-administrativa, Divipola vigente, publicado en la página web del Departamento Nacional de Estadística, DANE, del centro poblado.
- Tramo o grupo de gasoductos sobre el cual está ubicado el punto de salida o de entrada, de acuerdo con aquellos tramos o grupos de gasoducto definidos en las resoluciones de cargos regulados aprobados por la CREG.
- Un diagrama donde se relacione la información anterior.
ii. Para (i) cada punto sobre el troncal o gasoducto principal del que se desprende un gasoducto ramal; (ii) cada punto sobre el sistema de transporte donde termina un tramo de gasoducto, definido en las resoluciones de cargos regulados aprobados por la CREG, e inicia el siguiente tramo; (iii) cada punto sobre sistema donde se ubica una estación de compresión; (iv) cada punto donde se presenta transferencia de custodia entre transportadores; el transportador declarará al gestor del mercado la siguiente información:
- Nombre
- Ubicación, indicando el código de la División Político-administrativa, Divipola vigente, publicado en la página web del Departamento Nacional de Estadística, DANE del centro poblado. Tramo o grupo de gasoductos asociado, de acuerdo con aquellos definidos en las resoluciones de cargos regulados aprobados por la CREG.
- En el caso de puntos de transferencia de custodia, se deberá declarar el nombre del transportador a quien le transfiere la custodia del gas en ese punto.
- Un diagrama donde se relacione la información anterior.
La anterior información deberá ser declarada de manera completa, ordenada y exhaustiva, de acuerdo con los formatos que establezca el gestor del mercado. El gestor establecerá estos formatos previa coordinación con los transportadores.
b) Unificación de puntos sobre el SNT
El gestor del mercado deberá unificar la información sobre puntos de entrada, puntos de salida, punto sobre el troncal o gasoducto principal del que se desprende un gasoducto ramal, punto sobre el sistema de transporte donde termina un tramo de gasoducto, punto sobre el sistema donde se ubica una estación de compresión y punto donde se presenta transferencia de custodia entre transportadores del SNT declarada por los transportadores, de tal modo que sean únicos y fácilmente identificables.
Esta codificación seguirá una numeración secuencial, y deberá ser publicada en el BEC.
c) Una vez el gestor del mercado publique la codificación en el BEC, la misma deberá ser utilizada en el registro de información de que trata este Anexo.
Anexo 2
Compensaciones en suministro
1. En el caso de los contratos firmes, firmes al 95%, de firmeza condicionada, de opción de compra, de suministro C1 y de suministro C2, en cuanto a las cantidades en las que el vendedor garantiza firmeza según las definiciones de los contratos en la regulación, cuando el vendedor incumple sus obligaciones y esto no conlleva la interrupción del servicio a usuarios regulados, el vendedor deberá reconocer y pagar al comprador el valor resultante de aplicar la siguiente ecuación:
Donde:
C: Valor de la compensación, expresado en pesos.
m: Mes calendario en que ocurre el incumplimiento.
Pm : Precio vigente del gas natural para el mes , según lo previsto en el contrato de suministro, expresado en dólares de los Estados Unidos de América por MBTU.
En el caso de un contrato de opción de compra de gas será la suma entre el precio vigente del gas natural para el mes , expresado en dólares de los Estados Unidos de América por MBTU, y el valor que se ha pagado como prima por el derecho a tomar gas, acumulado desde la última vez que tomó gas o en su defecto desde el inicio del contrato, expresado en dólares de los Estados Unidos de América por MBTU. Estos precios serán los previstos en el contrato de suministro.
TRMm : Tasa de cambio certificada por la Superintendencia Financiera para el último día calendario del mes m, expresada en pesos por dólar de los Estados Unidos de América
Gm : Cantidad total de energía dejada de entregar durante el mes , expresada en MBTU.
CFIm : Sumatoria de los cargos fijos que remuneran los costos de inversión en transporte desde el punto de inicio hasta el punto de terminación del servicio, incluyendo los cargos correspondientes a grupos de gasoductos si es del caso. Se utilizarán los cargos vigentes para el mes m, tal que ^f sea igual a 1, según lo previsto en los artículos 15 y 19 de la Resolución CREG 126 de 2010 o aquella que la modifique o sustituya. Esta variable se expresará en dólares de los Estados Unidos de América por KPCD-año.
CFAOMm : Sumatoria de los cargos fijos que remuneran los gastos de AOM en transporte desde el punto de inicio hasta el punto de terminación del servicio, incluyendo los cargos correspondientes a grupos de gasoductos si es del caso. Se utilizarán los cargos vigentes para el mes m, según lo previsto en los artículos 15 y 19 de la Resolución CREG 126 de 2010 o aquella que la modifique o sustituya. Esta variable se expresará en pesos por KPCD-año.
PC : Poder calorífico del gas dejado de entregar, expresado en MBTU por KPC. Se utilizará el valor de poder calorífico reportado en el Sistema Único de Información de la Superintendencia de Servicios Públicos Domiciliarios para el mes m - 1.
Df j,m,G : Componente fijo del cargo de distribución aplicable a usuarios del rango j de consumo en el mes m y para la cantidad G, según lo establecido en la Resolución CREG 011 de 2003 o aquella que la modifique o sustituya. Esta variable se expresará en pesos por factura.
F: Número de facturas a usuarios del rango j de consumo en el mes m - 1 .
j: Rango de consumo de conformidad a lo establecido a la Resolución CREG 011 de 2003 o aquella que la modifique o sustituya.
2. En el caso de los contratos firmes, firmes al 95%, de firmeza condicionada, de opción de compra, de suministro C1 y de suministro C2, en cuanto a las cantidades en las que el vendedor garantiza firmeza según las definiciones de los contratos en la regulación cuando el vendedor incumple sus obligaciones y esto conlleva la interrupción del servicio a usuarios regulados, el vendedor deberá reconocer y pagar al comprador el valor resultante de aplicar las siguientes ecuaciones:
Donde:
C: Valor de la compensación, expresado en pesos.
C1 : Valor de la compensación asociada al incumplimiento que causa interrupción del servicio a usuarios regulados, expresado en pesos.
C2 : Valor de la compensación asociada al resto del incumplimiento, expresado en pesos.
Gm : Cantidad total de energía dejada de entregar durante el mes ,m expresada en MBTU.
G1,m : Cantidad de energía dejada de entregar a usuarios regulados durante el mes m , expresada en MBTU.
G2,m : Cantidad total de energía dejada de entregar durante el mes menos la cantidad de energía dejada de entregar a usuarios regulados durante el mes m, expresada en MBTU.
m: Mes calendario en que ocurre el incumplimiento.
VCD: Valor a compensar por incumplimiento del indicador DES, según lo establecido en la Resolución CREG 100 de 2003 o aquella que la modifique o sustituya. Esta variable se expresará en pesos.
CF1m: Sumatoria de los cargos fijos que remuneran los costos de inversión en transporte desde el punto de inicio hasta el punto de terminación del servicio, incluyendo los cargos correspondientes a grupos de gasoductos si es del caso. Se utilizarán los cargos vigentes para el mes m, tal que ^f sea igual a 1, según lo previsto en los artículos 15 y 19 de la Resolución CREG 126 de 2010 o aquella que la modifique o sustituya. Esta variable se expresará en dólares de los Estados Unidos de América por KPCD-año.
TRMm : Tasa de cambio certificada por la Superintendencia Financiera para el último día calendario del mes m, expresada en pesos por dólar de los Estados Unidos de América.
CFAOMm : Sumatoria de los cargos fijos que remuneran los gastos de AOM en transporte desde el punto de inicio hasta el punto de terminación del servicio, incluyendo los cargos correspondientes a grupos de gasoductos si es del caso. Se utilizarán los cargos vigentes para el mes m, según lo previsto en los artículos 15 y 19 de la Resolución CREG 126 de 2010 o aquella que la modifique o sustituya. Esta variable se expresará en pesos por KPCD-año.
PC: Poder calorífico del gas dejado de entregar, expresado en MBTU por KPC. Se utilizará el valor de poder calorífico reportado en el Sistema Único de Información de la Superintendencia de Servicios Públicos Domiciliarios para el mes m - 1.
Pm : Precio vigente del gas natural para el mes m, según lo previsto en el contrato de suministro, expresado en dólares de los Estados Unidos de América por MBTU.
En el caso de un contrato de opción de compra de gas será la suma entre el precio vigente del gas natural para el mes m, expresado en dólares de los Estados Unidos de América por MBTU, y el valor que se ha pagado como prima por el derecho a tomar gas, acumulado desde la última vez que tomó gas o en su defecto desde el inicio del contrato, expresado en dólares de los Estados Unidos de América por MBTU. Estos precios serán los previstos en el contrato de suministro.
Df j.m,G1 : Componente fijo del cargo de distribución aplicable a usuarios del rango j de consumo en el mes m y para la cantidad G1,m , según lo establecido en la Resolución CREG 011 de 2003 o aquella que la modifique o sustituya. Esta variable se expresará en pesos por factura.
Df j.m,G2 : Componente fijo del cargo de distribución aplicable a usuarios del rango j de consumo en el mes m y para la cantidad G2,m, según lo establecido en la Resolución CREG 011 de 2003 o aquella que la modifique o sustituya. Esta variable se expresará en pesos por factura.
F: Número de facturas a usuarios del rango j de consumo en el mes m-1 .
j: Rango de consumo de conformidad a lo establecido a la Resolución CREG 011 de 2003 o aquella que la modifique o sustituya.
Anexo 3
Actualización de precios
Los precios pactados en los contratos de suministro bajo las modalidades firme, firme CF95, de firmeza condicionada y de opción de compra, se deberán actualizar al inicio de cada año ai con base en las siguientes ecuaciones, según corresponda:
2. Ecuaciones para actualización de precios No. 2.
2.1 En el caso de los contratos que resulten de la aplicación de los mecanismos de comercialización establecidos en el Artículo 21 y en el Artículo 22 de esta Resolución, que estén contemplados en los parágrafos 3, 6 y 7 del Artículo 15 de esta Resolución, exceptuando aquellos contratos contemplados en el parágrafo 5 del artículo antes mencionado y exceptuando también aquellos en los cuales de lo dispuesto en la cláusula de ajuste regulatorio no se infiera que se debe aplicar lo contemplado en el presente numeral, siempre y cuando se hayan negociado contratos firmes de la fuente f con duración de un (1) año tanto para el año ai-1 como para el año ai, se aplicará la siguiente ecuación:
Donde:
PT f,d,ai : Precio del gas natural contratado bajo la modalidad T, de la fuente f , con duración d, aplicable durante el año ai. Este valor se expresará en dólares de los Estados Unidos de América por MBTU.
PT f,d,ai-1 : Precio del gas natural contratado bajo la modalidad T, de la fuente f, con duración d, aplicable durante el año ai-1. Este valor se expresará en dólares de los Estados Unidos de América por MBTU.
Promedio ponderado por cantidades de los precios de los contratos firmes, de la fuente f, con duración de un (1) año, negociados para el año ai . Este valor se expresará en dólares de los Estados Unidos de América por MBTU.
Promedio ponderado por cantidades de los precios de los contratos firmes, de la fuente f, con duración de un (1) año, negociados para el año ai. Este valor se expresará en dólares de los Estados Unidos de América por MBTU.
a: Valor entre 0 y 1 que pondera el factor de actualización de precios del mercado interno.
Promedio aritmético de precios diarios de cierre del marcador West Texas Intermediate (WTI), spot prices, según la serie publicada por el Departamento de Energía de Estados Unidos (Energy Information Administration), para el año ai-1. Los días a considerarse serán aquellos en los que haya negociación de WTI y la correspondiente publicación. Este valor se expresará en dólares de los Estados Unidos de América por barril.
Promedio aritmético de precios diarios de cierre del marcador West Texas Intermediate (WTI), spot prices, según la serie publicada por el Departamento de Energía de Estados Unidos (Energy Information Administration), para el año ai-2 . Los días a considerarse serán aquellos en los que haya negociación de WTI y la correspondiente publicación. Este valor se expresará en dólares de los Estados Unidos de América por barril.
Corresponde al índice de precios al productor de los Estados Unidos de América, serie WPSFD4 publicada por el Bureau of Labor Statistics, para el mes de noviembre del año ai-1. El vínculo permanente es: https://www.quandl.com/data/BLS/WPSFD4.
Corresponde al índice de precios al productor de los Estados Unidos de América, serie WPSFD4 publicada por el Bureau of Labor Statistics, para el mes de noviembre del año ai-2 . El vínculo permanente es: https://www.quandl.com/data/BLS/WPSFD4
B: Valor que pondera el factor de actualización de precios exógenos al mercado de gas natural.
T: Modalidad bajo la cual se contrató el gas natural. Podrá ser un contrato firme, CF, un contrato de suministro con firmeza condicionada, CFC , o un contrato de opción de compra de gas, OCG.
f: Punto de entrega del gas natural contratado. Se entenderá por punto de entrega el campo, punto de entrada al SNT o punto del SNT que corresponda al sitio de inicio o terminación de alguno de los tramos de gasoductos definidos para efectos tarifarios.
d: Duración del contrato de suministro.
ai : Año durante el cual se aplicará el precio del gas natural. El año se iniciará un 1 de diciembre y terminará el 30 de noviembre siguiente. La variable tomará los valores de uno (1) a d, siendo ai el primer año de vigencia del contrato objeto de actualización de precios.
2.2. En el caso de los contratos que estén contemplados en los parágrafos 3, 6 y 7 del Artículo 15 de esta Resolución, exceptuando aquellos contemplados en el parágrafo 5 del artículo antes mencionado y exceptuando también aquellos en los cuales de lo dispuesto en la cláusula de ajuste regulatorio no se infiera que se debe aplicar lo contemplado en el presente numeral, que resulten de la aplicación de los mecanismos de comercialización establecidos en: a) el Artículo 21 y en el Artículo 22 de esta Resolución, siempre y cuando no se hayan negociado contratos firmes de la fuente f con duración de un (1) año, para el año ai o para el año ai-1; y b) el Artículo 19 de esta Resolución, se aplicará la siguiente ecuación:
Donde:
PT f,d,ai : Precio del gas natural contratado bajo la modalidad T, de la fuente f , con duración d, aplicable durante el año ai. Este valor se expresará en dólares de los Estados Unidos de América por MBTU.
PT f,d,ai-1 : Precio del gas natural contratado bajo la modalidad T, de la fuente f, con duración d, aplicable durante el año ai-1. Este valor se expresará en dólares de los Estados Unidos de América por MBTU.
Promedio nacional, ponderado por cantidades, de los precios de los contratos firmes de todas las fuentes de suministro, con duración de un (1) año, negociados para el año ai en aplicación de los mecanismos de comercialización establecidos en el Artículo 21 de esta Resolución. Este valor se expresará en dólares de los Estados Unidos de América por MBTU.
Promedio nacional, ponderado por cantidades, de los precios de los contratos firmes de todas las fuentes de suministro, con duración de un (1) año, negociados para el año ai-1 en aplicación de los mecanismos de comercialización establecidos en el Artículo 21 de esta Resolución. Este valor se expresará en dólares de los Estados Unidos de América por MBTU.
a: Valor entre 0 y 1 que pondera el factor de actualización de precios del mercado interno.
Promedio aritmético de precios diarios de cierre del marcador West Texas Intermediate (WTI), spot prices, según la serie publicada por el Departamento de Energía de Estados Unidos (Energy Information Administration), para el año ai-1. Los días a considerarse serán aquellos en los que haya negociación de WTI y la correspondiente publicación. Este valor se expresará en dólares de los Estados Unidos de América por barril.
Promedio aritmético de precios diarios de cierre del marcador West Texas Intermediate (WTI), spot prices, según la serie publicada por el Departamento de Energía de Estados Unidos (Energy Information Administration), para el año ai-2 . Los días a considerarse serán aquellos en los que haya negociación de WTI y la correspondiente publicación. Este valor se expresará en dólares de los Estados Unidos de América por barril.
Corresponde al índice de precios al productor de los Estados Unidos de América, serie WPSFD4 publicada por el Bureau of Labor Statistics, para el mes de noviembre del año ai-1. El vínculo permanente es: https://www.quandl.com/data/BLS/WPSFD4.
Corresponde al índice de precios al productor de los Estados Unidos de América, serie WPSFD4 publicada por el Bureau of Labor Statistics, para el mes de noviembre del año ai-2 . El vínculo permanente es: https://www.quandl.com/data/BLS/WPSFD4
B: Valor que pondera el factor de actualización de precios exógenos al mercado de gas natural.
T: Modalidad bajo la cual se contrató el gas natural. Podrá ser un contrato firme, CF, un contrato de suministro con firmeza condicionada, CFC , o un contrato de opción de compra de gas, OCG.
f: Punto de entrega del gas natural contratado. Se entenderá por punto de entrega el campo, punto de entrada al SNT o punto del SNT que corresponda al sitio de inicio o terminación de alguno de los tramos de gasoductos definidos para efectos tarifarios.
d: Duración del contrato de suministro.
ai : Año durante el cual se aplicará el precio del gas natural. El año se iniciará un 1 de diciembre y terminará el 30 de noviembre siguiente. La variable i tomará los valores de uno (1) a d, siendo ai el primer año de vigencia del contrato objeto de actualización de precios.
1. Ecuaciones para actualización de precios No. 1.
1.1 En el caso de los contratos que resulten de la aplicación de los mecanismos de comercialización establecidos en el Artículo 21 de esta Resolución, que estén contemplados en el parágrafo 5 del Artículo 15 de esta Resolución, exceptuando los contratos contemplados en el parágrafo 3 del artículo antes mencionado y exceptuando también aquellos en los cuales de lo dispuesto en la cláusula de ajuste regulatorio no se infiera que se debe aplicar lo contemplado en el presente numeral, siempre y cuando se hayan negociado contratos firmes de la fuente f con duración de un (1) año, se aplicará la siguiente ecuación para la actualización de precios en el año ai:
Donde:
PT f,d,ai : Precio del gas natural contratado bajo la modalidad T, de la fuente f , con duración d, aplicable durante el año ai. Este valor se expresará en dólares de los Estados Unidos de América por MBTU.
PT f,d,ai-1 : Precio del gas natural contratado bajo la modalidad T, de la fuente f, con duración d, aplicable durante el primer año de vigencia del contrato a1. Este valor se expresará en dólares de los Estados Unidos de América por MBTU.
Promedio ponderado por cantidades de los precios de los contratos firmes, de la fuente f, con duración de un (1) año, negociados para el año ai . Este valor se expresará en dólares de los Estados Unidos de América por MBTU.
Promedio ponderado por cantidades de los precios de los contratos firmes, de la fuente f, con duración de un (1) año, negociados para el año ai. Este valor se expresará en dólares de los Estados Unidos de América por MBTU.
T : Modalidad bajo la cual se contrató el gas natural. Podrá ser un contrato firme, CF, un contrato de suministro con firmeza condicionada, CFO, o un contrato de opción de compra de gas, OCG.
f : Punto de entrega del gas natural contratado. Se entenderá por punto de entrega el campo, punto de entrada al SNT o punto del SNT que corresponda al sitio de inicio o terminación de alguno de los tramos de gasoductos definidos para efectos tarifarios.
d : Duración del contrato de suministro.
ai : Año durante el cual se aplicará el precio del gas natural. El año se iniciará un 1 de diciembre y terminará el 30 de noviembre siguiente. La variable i tomará los valores de uno (1) a d siendo ai el primer año de vigencia del contrato objeto de actualización de precios.
1.2 En el caso de los contratos que estén contemplados en el parágrafo 5 del Artículo 15 de esta Resolución, exceptuando aquellos contemplados en el parágrafo 3 del artículo antes mencionado y exceptuando también aquellos en los cuales de lo dispuesto en la cláusula de ajuste regulatorio no se infiera que se debe aplicar lo contemplado en el presente numeral, que resulten de la aplicación de los mecanismos de comercialización establecidos en: a) el Artículo 21 de esta Resolución, siempre y cuando no se hayan negociado contratos firmes de la fuente f con duración de un (1) año, para el año ai; y b) el Artículo 19 de esta Resolución, se aplicará la siguiente ecuación para la actualización de precios:
Donde:
PT f,d,ai : Precio del gas natural contratado bajo la modalidad T, de la fuente f , con duración d, aplicable durante el año ai. Este valor se expresará en dólares de los Estados Unidos de América por MBTU.
PT f,d,ai : Precio del gas natural contratado bajo la modalidad T, de la fuente f , con duración d, aplicable durante el primer año de vigencia del contrato ai. Este valor se expresará en dólares de los Estados Unidos de América por MBTU.
Promedio nacional, ponderado por cantidades, de los precios de los contratos firmes de todas las fuentes de suministro, con duración de un (1) año, negociados para el año ai en aplicación de los mecanismos de comercialización establecidos en el Artículo 21 de la presente Resolución. Este valor se expresará en dólares de los Estados Unidos de América por MBTU.
Promedio nacional, ponderado por cantidades, de los precios de los contratos firmes de todas las fuentes de suministro, con duración de un (1) año, negociados para el año ai en aplicación de los mecanismos de comercialización establecidos en el Artículo 21 de la presente Resolución. Este valor se expresará en dólares de los Estados Unidos de América por MBTU.
T: Modalidad bajo la cual se contrató el gas natural. Podrá ser un contrato firme, CF, un contrato de suministro con firmeza condicionada, CFC , o un contrato de opción de compra de gas, OCG.
f : Punto de entrega del gas natural contratado. Se entenderá por punto de entrega el campo, punto de entrada al SNT o punto del SNT que corresponda al sitio de inicio o terminación de alguno de los tramos de gasoductos definidos para efectos tarifarios
d: Duración del contrato de suministro.
ai : Año durante el cual se aplicará el precio del gas natural. El año se iniciará un 1 de diciembre y terminará el 30 de noviembre siguiente. La variable i tomará los valores de uno (1) a d siendo ai el primer año de vigencia del contrato objeto de actualización de precios.
Anexo 4
Reglamento de la subasta de gas natural
(Derogado Res. 102 009 /2024, art 20. CREG)
6.11. Regla de minimización de contratos
Tras la terminación de la subasta, el administrador de la subasta definirá las partes de los contratos buscando minimizar el número de los mismos. Para estos efectos el administrador de la subasta:
a) Hará una lista de los vendedores habilitados del producto C2f, dejando en el primer lugar a aquel con la mayor cantidad asignada para la venta y en el último lugar a aquel con la menor cantidad asignada para la venta.
b) Hará una lista de los compradores habilitados del producto C2f, dejando en el primer lugar a aquel con la mayor cantidad asignada para la compra y en el último lugar a aquel con la menor cantidad asignada para la compra.
c) Con base en estas listas determinará las partes de los contratos. El primer comprador habilitado de la lista suscribirá un contrato con el primer vendedor habilitado de la lista. Los siguientes compradores habilitados en la lista suscribirán contratos con los vendedores habilitados con las mayores cantidades residuales del producto C2f. Si a un comprador habilitado se le asignó una cantidad mayor a la asignada al respectivo vendedor habilitado, el administrador de la subasta determinará sus contrapartes buscando minimizar el número de contratos mediante los pasos de los literales a) y b) anteriores.
Una vez surtido este proceso, el administrador de la subasta expedirá los correspondientes certificados de asignación de cada uno de los productos.
6.12. Regla de suscripción de los contratos
Una vez la Dirección Ejecutiva publique el informe de que trata el literal g) del numeral 4.2 de este Anexo, y si en él el auditor de la subasta establece que se dio cumplimiento a la regulación vigente aplicable a la subasta, los compradores y vendedores contarán hasta con siete (7) días hábiles para tener sus contratos debidamente suscritos ante el gestor del mercado. Para estos efectos, las partes podrán acordar de mutuo acuerdo las garantías contractuales, y en caso tal de no llegar a un acuerdo se deberán constituir los mecanismos de cumplimiento de que trata el numeral 7.1.1 de este Anexo. En estos contratos se deberán reflejar los resultados de la subasta.
Los vendedores y los compradores serán responsables de verificar la idoneidad de sus contrapartes, de acuerdo con los criterios objetivos que cada uno de ellos publique tres (3) semanas antes de la negociación mediante subasta. Los vendedores y los compradores sólo podrán abstenerse de suscribir un contrato cuando dicha verificación revele que su contraparte no cumple los mencionados criterios, caso en el cual deberán informarlo y soportarlo a la contraparte y a la autoridad competente, si fuera el caso; sólo estos eventos no serán considerados un incumplimiento.
1. Objeto
El presente reglamento tiene por objeto establecer las condiciones y procedimientos para la negociación del suministro de gas natural mediante subasta, según lo dispuesto en el Artículo 23 de esta Resolución. 2. Definiciones
Administrador de la subasta: persona natural o jurídica encargada de organizar las subastas.
Auditor de la subasta: persona natural o jurídica, con reconocida experiencia en procesos de auditoría, contratada por el administrador de la subasta para auditar el desarrollo de las mismas.
Año t: corresponderá al año que inicia el 1 de diciembre del año calendario en que se realizan las subastas y termina el 30 de noviembre del año calendario siguiente.
Compradores habilitados: compradores a los que se hace referencia en el Artículo 17 de esta Resolución que cumplen cabalmente con lo señalado en los numerales 5.5 y 6.5 de este Anexo.
Precio de adjudicación: es el precio que pagarán los compradores por el gas natural adjudicado a través de la subasta. Corresponde al precio de cierre de la última ronda de la subasta o al precio con el cual los compradores habilitados no reducirían cantidades de producto, según sea el caso.
Precio de cierre: es el precio máximo establecido por el subastador para cada una de las rondas siguientes a la ronda cero (0).
Precio de reserva: precio mínimo al cual se ofrece para la venta un producto en la subasta.
Producto C1: cantidad de energía bajo la modalidad de contrato de suministro C1, que se entrega diariamente en un campo, punto de entrada al SNT o punto del SNT que corresponda al sitio de inicio o terminación de alguno de los tramos de gasoductos definidos para efectos tarifarios, con duración de un (1) año.
Producto C2: cantidad de energía bajo la modalidad de contrato de suministro C2 que se entrega diariamente en un campo, punto de entrada al SNT o punto del SNT que corresponda al sitio de inicio o terminación de alguno de los tramos de gasoductos definidos para efectos tarifarios, con duración de un (1) año.
Ronda: período de tiempo definido por el subastador durante el cual los compradores habilitados presentan sus solicitudes de compra, de acuerdo con lo establecido en este Anexo.
Sistema de subasta: corresponde a la plataforma tecnológica en la cual se desarrollará la subasta que se reglamenta en este Anexo.
Subasta: proceso dinámico de negociación, con reglas definidas para la formación de los precios y las asignaciones de los productos, de acuerdo con lo establecido en este Anexo.
Subastador: persona natural o jurídica, con experiencia como subastador en al menos tres (3) subastas de alguno de los siguientes tipos: i) simultánea de reloj ascendente; ii) simultánea de reloj descendente; o iii) simultánea de sobre cerrado. Puede ser el administrador de la subasta u otra persona que éste contrate.
Vendedores habilitados: vendedores a los que se hace referencia en el Artículo 16 de esta Resolución que cumplen cabalmente con lo señalado en los numerales 5.4 y 6.4 de este Anexo.
3. Principios generales de la subasta
La subasta se regirá por los siguientes principios:
a) Eficiencia: el desarrollo de la subasta conducirá a la formación de precios eficientes de cada uno de los productos.
b) Publicidad: se garantizará a través de los mecanismos dispuestos en la presente Resolución.
c) Neutralidad: el diseño de la subasta y el reglamento de la misma no permitirán, inducirán o adoptarán prácticas de discriminación indebida en contra de alguno de los participantes.
d) Simplicidad y transparencia: los mecanismos de la subasta serán claros, explícitos y constarán por escrito, de tal forma que puedan ser comprendidos sin duda ni ambigüedad.
e) Objetividad: los criterios de adjudicación serán claros e imparciales.
4. Organización de la subasta
4.1. Responsabilidades y deberes del administrador de la subasta
a) Establecer, operar y mantener los sistemas de subasta, los cuales deberán estar disponibles a más tardar veinte (20) días calendario antes de la fecha programada para la realización de la subasta de producto C1.
b) Realizar a más tardar quince (15) días calendario antes de la fecha programada para la realización de la subasta de producto C1, a través de una empresa especializada, una auditoría operativa y de sistemas para verificar el adecuado funcionamiento de los sistemas de subasta y certificar su correcta operación frente a las especificaciones técnicas, operativas y de seguridad, respecto del programa y de los equipos. Igualmente, deberá remitir el certificado de dichas auditorías al auditor de las subastas antes de la fecha programada para la realización de la subasta de producto C1.
c) Elaborar los reglamentos que considere necesarios para llevar a cabo las actividades encomendadas para las subastas de producto C1 y producto C2, los cuales deberán ser puestos a consideración de la CREG para su concepto de no objeción a más tardar cuarenta (40) días calendario antes de la fecha programada para la realización de la subasta de producto C1. En especial deberá establecer la estructura computacional y de comunicaciones requerida para el acceso a los sistemas de subasta, así como los canales formales para su comunicación con el administrador y con el subastador.
La CREG dará su concepto de no objeción, de tal manera que a más tardar veinte (20) días calendario antes de la realización de la subasta de producto C1 sean públicos los reglamentos.
d) Ofrecer e impartir la capacitación y asistencia necesaria en el manejo y operación de los sistemas de subasta a los vendedores y compradores a los que se hace referencia en los Artículos 16 y 17 de esta Resolución.
e) Emitir los certificados de capacitación a las personas que la reciban y que demuestren un adecuado manejo y operación del sistema de subasta que corresponda.
f) Contratar el auditor de las subastas, proceso que debe estar finalizado por lo menos treinta (30) días calendario antes de la fecha programada para la realización de la subasta de producto C1.
g) Si el administrador de las subastas no desempeña el papel de subastador, deberá contratarlo, proceso que deberá estar finalizado por lo menos treinta (30) días calendario antes de la fecha programada para la realización de la subasta de producto C1.
h) Definir e informar, por lo menos veinte (20) días calendario antes de la fecha programada para la realización de la subasta de producto C1, el instrumento fiduciario mediante el cual se administrarán los mecanismos de cubrimiento de participación de las subastas de producto C1 y C2, según lo indicado en el numeral 7 de este Anexo.
i) Realizar a más tardar quince (15) días calendario antes de la fecha programada para la realización de la subasta de producto C1, a través de una empresa especializada, una auditoría de los sistemas computacionales y de comunicación requeridos por cada uno de los compradores de las subastas, y de sus correspondientes sistemas de respaldo, para verificar su adecuado funcionamiento. Los resultados de esta auditoría deberán ser remitidos al administrador de las subastas y al auditor de la subasta antes de la fecha programada para la realización de la subasta. Los compradores sólo podrán acceder al sistema de subasta correspondiente desde equipos localizados en el territorio nacional.
j) Elaborar un documento en el que se señale el nombre de los vendedores y de los compradores habilitados para participar en cada una de las subastas, según lo establecido en los numerales 5.4, 6.4, 5.5 y 6.5 de este Anexo. Este documento será confidencial y sólo lo conocerán el subastador y las autoridades competentes. La fecha de elaboración será definida en el cronograma que para tales efectos expida la CREG, de que trata el Artículo 22 de esta Resolución.
k) Entregar al representante legal de cada uno de los compradores habilitados para participar en las subastas, según lo establecido en los numerales 5.5 y 6.5 de este Anexo, una clave de acceso al sistema de subasta según corresponda. El comprador habilitado será el único responsable por el uso que sus operadores, funcionarios o cualquier persona hagan de la clave de acceso y deberá velar porque la misma se mantenga y use bajo estricta reserva y seguridad. El administrador de las subastas podrá establecer el uso de firma digital que sustituya las claves de que trata el presente literal.
l) Suspender la subasta cuando sea requerido por el auditor de la subasta o el subastador de conformidad con las disposiciones contenidas en el presente Anexo.
m) Emitir los certificados en los que se informe a los vendedores habilitados y a los compradores habilitados el resultado de cada una de las subastas.
n) Conservar registros históricos, en medios electrónicos, de la totalidad de las operaciones realizadas durante el desarrollo de las subastas, de conformidad con las disposiciones legales vigentes en materia de conservación de documentos.
En desarrollo del servicio al que se hace referencia en el numeral 3 del Artículo 5 de esta Resolución, el gestor del mercado será el administrador de la subasta. 4.2. Responsabilidades y deberes del auditor de la subasta
a) Verificar la correcta aplicación de la regulación prevista para cada una de las subastas.
b) Verificar que las comunicaciones con el administrador de las subastas y el subastador se realicen única y exclusivamente mediante los canales formales de comunicación establecidos por el administrador de la subasta.
c) Verificar que durante cada una de las subastas se sigan expresamente los pasos y reglas establecidos en este Anexo.
d) Informar al administrador de las subastas las situaciones en las que considere que el mismo administrador o el subastador no están dando cumplimiento a las disposiciones contenidas en la regulación vigente, para que el administrador de las subastas tome los correctivos del caso de manera inmediata.
e) Informar a los órganos responsables de la inspección, vigilancia y control las situaciones en las que considere que los vendedores habilitados y los compradores habilitados no están dando cumplimiento a las disposiciones contenidas en la regulación.
f) Solicitar al administrador la suspensión de la subasta cuando considere que no se está dando cumplimiento a las disposiciones contenidas en la regulación.
g) Remitir a la CREG, dentro de los cinco (5) días calendario siguientes a la finalización de cada una de las subastas, un informe en el cual se establezca, sin ambigüedades, si se dio cumplimiento o no a la regulación aplicable a dicho proceso. La Dirección Ejecutiva de la CREG publicará el informe de cada subasta mediante una circular.
Para los casos en los cuales el auditor de las subastas establezca que en la subasta respectiva no se dio cumplimiento a la regulación, el proceso adelantado no producirá efectos, y se programará la subasta de nuevo. Lo anterior sin perjuicio de las acciones penales y/o civiles y las actuaciones administrativas a que haya lugar contra las personas que hayan incumplido la regulación.
4.3. Responsabilidades y deberes del subastador
Para cada subasta de producto C1 y de producto C2 el subastador deberá:
a) Anunciar, al inicio de la ronda cero (0), el menor precio de reserva de cada producto y la oferta correspondiente a este precio, en los términos de los numerales 5.6 y 6.6 de este Anexo.
b) Anunciar, al finalizar cada ronda: i) si hay exceso de demanda de cada producto; ii) el precio de cierre de cada producto en la siguiente ronda; iii) la oferta correspondiente al precio de cierre de cada producto en la siguiente ronda; y iv) el tiempo de duración de la siguiente ronda. Lo anterior en los términos del numeral 5.7 y 6.7 de este Anexo.
c) Declarar el cierre de la subasta e informar el precio de adjudicación de la misma para cada uno de los productos.
Para cada uno de los productos, el subastador pondrá en conocimiento de los vendedores habilitados y de los compradores habilitados, única y exclusivamente la información señalada en este numeral.
4.4. Obligaciones de los compradores habilitados en relación con el uso del sistema de subasta
a) Tener a su disposición la estructura operativa y el equipo computacional y de comunicaciones apropiado de acuerdo con las especificaciones operativas y técnicas establecidas por el administrador de la subasta.
b) Utilizar y operar el sistema de subasta única y exclusivamente a través del personal debidamente capacitado para el efecto por el administrador de la subasta, que haya recibido el respectivo certificado de capacitación emitido por éste.
c) Acreditar ante el administrador de la subasta el cumplimiento de las obligaciones a que se refieren los literales a) y b) de este numeral, previo al inicio de cada subasta, mediante una declaración suscrita por el representante legal del comprador.
d) Permitir al administrador de las subastas la realización de las verificaciones a los sistemas computacionales y de comunicaciones utilizados por el comprador para su participación en la subasta.
e) Mantener las claves de acceso al sistema de subasta bajo su exclusiva responsabilidad y estrictos estándares de seguridad y confidencialidad.
f) Abstenerse de realizar actos contrarios a la libre competencia, actos contrarios a la legislación o a la regulación vigente y actos que afecten la transparencia del proceso o la adecuada formación de precios.
g) Informar de manera inmediata al administrador de la subasta cualquier error o falla del sistema de subasta.
4.5. Obligaciones de los vendedores
a) A más tardar un (1) mes antes de la subasta de suministro C1 del numeral 5, cada uno de los vendedores a los que se hace referencia en el Artículo 16 de esta Resolución deberá enviar al administrador de la subasta el texto del contrato para cada una de las modalidades contractuales de suministro C1 y C2. El administrador de la subasta publicará los textos correspondientes tres (3) semanas antes de la subasta, identificando el nombre del vendedor correspondiente.
b) A más tardar diez (10) días hábiles antes de la subasta de suministro C1, cada uno de los vendedores a los que se hace referencia en el Artículo 16 de esta Resolución deberán declarar ante el administrador de la subasta el precio de reserva para los productos C1 y C2, para lo cual deberá aportar la información establecida en la Tabla 1 de este Anexo. Esto lo hará a través del medio y del formato que defina el administrador de la subasta.
Donde:
PRC1 f,s : Precio de reserva del producto C1 para la fuente f declarado por parte del vendedor s. Este valor se expresará en dólares de los Estados Unidos de América por MBTU.
PRC2 f,s : Precio de reserva del producto C2f para la fuente f declarado por parte del vendedor s. Este valor se expresará en dólares de los Estados Unidos de América por MBTU.
El precio de reserva para los productos C1 y C2 deberá ser mayor o igual a cero (0) y no podrá tener más de dos (2) cifras decimales.
4.6. Sistema de subasta
Para cada una de las subastas, la plataforma tecnológica deberá cumplir con los siguientes requisitos mínimos:
a) Estar basada en protocolos de Internet.
b) Permitir el acceso a cada uno de los compradores habilitados desde el sitio en el territorio nacional donde estos dispongan de la infraestructura de computación y comunicaciones.
c) Mantener las bases de datos y servidores del sistema de subasta en el sitio que para tal fin establezca el administrador de la subasta.
d) Garantizar la autenticación de los usuarios que acceden al sistema.
e) Cumplir las exigencias establecidas en la legislación que rige en materia de comercio electrónico.
f) Tener un sistema que permita el manejo de información confidencial o sujeta a reserva legal.
g) Incluir sistemas de respaldo que garanticen la operación continua durante el proceso de subasta.
h) Estar dotado de un registro de todos los procesos realizados en él, incluyendo el registro de ingreso de cada uno de los usuarios.
i) Contar con los sistemas de respaldo que el administrador de la subasta considere necesarios para el correcto funcionamiento del sistema. El administrador de la subasta no será responsable por la suspensión o interrupción de los servicios, ni por las deficiencias mecánicas, electrónicas o de software que se observen en la prestación del servicio, derivadas de las limitaciones tecnológicas propias del sistema computacional, ni por cualquier otro hecho que escape al control del administrador, como caso fortuito o fuerza mayor.
El administrador de la subasta deberá contar con diez (10) estaciones de trabajo disponibles para la utilización por parte de aquellos compradores habilitados cuyos sistemas computacionales o de comunicaciones presenten fallas por cualquier hecho que escape del control de los compradores.
4.7. Mecanismos de contingencia para las subastas
Cuando el sistema de subasta se suspenda por las causas señaladas a continuación, se procederá como se establece para cada una de ellas:
a) Suspensión por fallas técnicas durante el transcurso de una ronda.
Si el sistema de subasta interrumpe su operación por fallas técnicas durante el transcurso de una ronda y afecta total o parcialmente el servicio se procederá como se describe a continuación:
Una vez restablecida la operación del sistema de subasta, si a criterio del subastador existe tiempo suficiente durante el mismo día hábil para realizar de nuevo la ronda, el administrador procederá a informarlo. Esta ronda tendrá las mismas condiciones de precio de cierre y duración vigentes de la ronda en la cual se suspendió el servicio del sistema de subasta. Antes de iniciar de nuevo la ronda el sistema deberá eliminar la totalidad de las ofertas realizadas durante la ronda en la cual se presentó la suspensión.
Una vez restablecida la operación del sistema de subasta, si a criterio del subastador no existe tiempo suficiente para realizar nuevamente la ronda, el administrador procederá a informarlo y la operación del sistema se suspenderá hasta el día hábil siguiente. La nueva ronda tendrá las mismas condiciones de precio de cierre y duración de la ronda en la cual se suspendió el servicio del sistema de subasta. Antes de iniciar de nuevo la ronda el sistema deberá eliminar la totalidad de las ofertas realizadas durante la ronda en la cual se presentó la suspensión.
b) Suspensión parcial de la operación del sistema de subasta.
Se entenderá como suspensión parcial de la operación del sistema de subasta la falla asociada a las estaciones de trabajo de cualquiera de los compradores habilitados o de sus sistemas de comunicación.
Cuando se presente la suspensión parcial de la operación del sistema de subasta el comprador habilitado cuya estación de trabajo o sistema de comunicación falló deberá remitir, de acuerdo con la vía alterna establecida por el administrador de la subasta, las demandas de cada uno de los productos cumpliendo con la reglamentación vigente. Dichas demandas serán ingresadas al sistema de subasta conforme a los procedimientos establecidos por el administrador de la subasta.
El administrador de la subasta deberá informar estos mecanismos de contingencia a más tardar veinte (20) días calendario antes de la realización de la subasta de los contratos de suministro C1.
5. Procedimiento de la subasta de contratos de suministro C1
5.1. Tipo de subasta
Subasta simultánea de “reloj ascendente”.
5.2. Productos
Los productos, C1f, que se negociarán mediante la subasta tendrán los siguientes atributos:
a) Modalidad contractual, C1: de acuerdo con lo dispuesto en el literal B del Artículo 23 de esta Resolución, en la subasta sólo se negociarán contratos de suministro C1, con duración de un (1) año para el año t. La fecha de inicio será el 1° de diciembre del año calendario en que se realiza la subasta y la fecha de terminación será el 30 de noviembre del año calendario siguiente.
b) Fuente, f: se deberá especificar el punto de entrega del gas natural. Se entenderá por punto de entrega el campo, punto de entrada al SNT o punto del SNT que corresponda al sitio de inicio o terminación de alguno de los tramos de gasoductos definidos para efectos tarifarios.
5.3. Tamaño de los productos
La cantidad de energía ofrecida por cada vendedor, bajo cada modalidad contractual, C1, corresponderá a un múltiplo entero de un (1) MBTUD y deberá ser igual o superior al 25% de su PTDVF o CIDVF disponible conforme a lo estipulado en el numeral 1 del literal B del Artículo 23. 5.4. Participación de los vendedores
A más tardar diez (10) días hábiles antes de la subasta cada uno de los vendedores a los que se hace referencia en el Artículo 16 de esta Resolución deberán declarar ante el administrador de la subasta la oferta de producto C1. Para estos efectos le deberá presentar al administrador de la subasta la información señalada en la Tabla 2 de este Anexo, a través del medio y del formato que aquel defina. Esta declaración deberá estar enmarcada dentro de los mecanismos de cubrimiento y de los formatos diligenciados de que tratan los numerales 7 y 7.1.2 de este Anexo.
Donde:
OC1 f,s : Cantidad de energía para contratos de suministro C1 de la fuente f que será ofrecida en la subasta por parte del vendedor s, exclusivamente para el año t. Este valor se expresará en MBTUD.
s: Productor-comercializador o comercializador de gas importado que hace la declaración
El administrador de la subasta deberá verificar que los mecanismos de cubrimiento entregados por cada vendedor se ajusten a lo dispuesto en el numeral 7 de este Anexo y que el vendedor no se encuentre en las listas o reportes asociados con actividades ilícitas de que trata el numeral 7.1.2 de este Anexo. Si se cumplen estos requisitos, el administrador de la subasta entenderá que es un vendedor habilitado para participar en la subasta y lo incluirá en el documento de que trata el literal j) del numeral 4.1 de este Anexo.
En el evento en que una oferta no se ajuste a lo aquí dispuesto el administrador de la subasta lo pondrá en conocimiento del vendedor respectivo, el cual dispondrá de 24 horas, contadas a partir del momento en que el administrador de la subasta lo haya informado, para la corrección correspondiente. Si cumplido este plazo el administrador de la subasta no recibe la oferta debidamente ajustada, éste entenderá que el vendedor no participará en la subasta.
La información señalada en este numeral deberá ser presentada a través del medio y de los formatos que defina el administrador de la subasta.
5.5 Declaración de interés de los compradores
A más tardar diez (10) días hábiles antes de la subasta, cada uno de los compradores a los que se hace referencia en el Artículo 17 de esta Resolución deberá declarar ante el administrador de la subasta la máxima cantidad de energía que está dispuesto a comprar mediante contratos de suministro C1. Para estos efectos deberá presentar al administrador de la subasta la información señalada en la Tabla 3 de este Anexo.
Donde:
DC1b : Máxima cantidad de energía que será demandada en la subasta de contratos de suministro C1 por parte del comprador b. Este valor se expresará en MBTUD, deberá corresponder a un múltiplo entero de un (1) MBTUD y deberá ser igual o mayor a cien (100) MBTUD.
b: Comprador al que se hace referencia en el Artículo 17 de esta Resolución y que hace la declaración respectiva.
Esta declaración deberá estar enmarcada dentro de los mecanismos de cubrimiento y de los formatos diligenciados de que tratan los numerales 7 y 7.1.2 de este Anexo.
El administrador de la subasta deberá verificar que los mecanismos de cubrimiento entregados por cada comprador se ajusten a lo dispuesto en el numeral 7 de este Anexo, que el comprador no se encuentre en las listas o reportes asociados con actividades ilícitas de que trata el numeral 7.1.2 de este Anexo, y que los sistemas computacionales y de comunicación requeridos por cada comprador funcionan adecuadamente según lo dispuesto en el literal i) del numeral 4.1 de este Anexo.
Si se cumplen estos requisitos, el administrador de la subasta entenderá que es un comprador habilitado para participar en la subasta y lo incluirá en el documento de que trata el literal j) del numeral 4.1 de este Anexo.
En el evento en que una declaración de demanda máxima no se ajuste a lo aquí dispuesto el administrador de la subasta lo pondrá en conocimiento del comprador respectivo, el cual dispondrá de 24 horas, contadas a partir del momento en que el administrador de la subasta lo haya informado, para la corrección correspondiente. Si cumplido este plazo el administrador de la subasta no recibe la declaración debidamente ajustada, éste entenderá que el comprador no participará en la subasta.
La información señalada en este numeral deberá ser presentada a través del medio y de los formatos que defina el administrador de la subasta.
5.6. Ronda cero (0)
La subasta se iniciará con la ronda cero (0), en la cual tendrán lugar los siguientes eventos:
a) Para cada producto el subastador hará público el precio de inicio de la subasta y la cantidad total de energía ofrecida a ese precio, en los términos de la Tabla 4 de este Anexo.
Donde:
Oc1f (prc1f) : Cantidad de energía del producto C1f ofrecida en la subasta por parte de todos los vendedores habilitados al precio prc1f . Este valor se expresará en MBTUD.
prc1f : Precio del producto C1f durante la ronda r. Este valor se expresará en dólares de los Estados Unidos de América por MBTU.
OC1 f,s1 : Cantidad total de energía del producto C1f ofrecida en la subasta por parte de los vendedores s1, siendo s1 los vendedores habilitados que hayan declarado PRC1f,s1 como precio de reserva del producto C1f. Este valor se expresará en MBTUD.
PRC1f,s1 : Menor precio de reserva del producto C1f. Este valor se expresará en dólares de los Estados Unidos de América por MBTU.
b) Una vez se publique la información a la que se hace referencia en el literal a) de este numeral, y durante el tiempo que determine el subastador, cada comprador habilitado le informará al subastador su demanda de energía de cada producto, para lo cual deberá declarar la información establecida en la Tabla 5 de este Anexo. Esto lo hará a través del medio y del formato que defina el subastador.
Donde:
Doc1 f,b : Cantidad de energía del producto C1f solicitada en la ronda cero (0) por parte del comprador habilitado b . Este valor se expresará en MBTUD.
La demanda solicitada por cada comprador habilitado estará sujeta a que la energía demandada por el comprador habilitado b del producto C1 en todos los campos o fuentes de suministro, deberá ser igual o inferior a la demanda máxima declarada por dicho comprador habilitado, así:

En el evento en que una declaración de demanda no se ajuste a lo aquí dispuesto, el sistema de subasta no deberá aceptar la solicitud ingresada por el comprador y solicitarle que sea ajustada.
c) Si el subastador encuentra que para cada producto ofrecido al precio de reserva PRC1f,s1 la oferta es igual o superior a la demanda por el mismo, la subasta terminará en la ronda cero (0). En este caso, a cada comprador habilitado b se le adjudicará la cantidad de energía de cada producto que él demandó, DoC1 f,b, al respectivo precio de inicio, PRC1f,s1 . Para estos efectos el subastador dará cumplimiento a lo dispuesto en los numerales 5.10 y 5.11 de este Anexo.
Si la demanda de uno o más productos es superior a la cantidad ofrecida a los precios de reserva PRC1f,s1, la subasta continuará. En este caso, el subastador continuará la subasta, dando aplicación a lo señalado en los numerales 5.7 a 5.11 de este Anexo.
5.7. Información al final de cada ronda
Al final de cada ronda r de la subasta, el subastador hará pública la siguiente información para cada producto:
a). Si hay o no exceso de demanda.
b). Precio de cierre de la siguiente ronda,
.
c). Oferta de gas,
, al precio de cierre de la siguiente ronda,
.
d). Duración de la siguiente ronda.
5.8. Reglas de actividad
Las demandas presentadas por los compradores habilitados, a partir de la ronda 1, estarán sujetas a las siguientes reglas de actividad:
a) Regla de actividad de los compradores habilitados: la demanda total de cada uno de estos compradores deberá mantenerse o reducirse en la medida en que avanza la subasta, así:

b) Regla de actividad de los compradores habilitados que desean retirar demanda b': cada comprador b', entendido como aquel que en la ronda r+1 solicite una cantidad de energía del producto C1f inferior a la que solicitó en la ronda r, deberá presentar al subastador el precio
con el cual no reduciría las cantidades de energía del producto C1f en la ronda r+1. El precio
deberá ser mayor al precio de cierre de la ronda r y deberá ser mayor o igual al último precio presentado por el comprador b' para dicho producto. En caso de que el comprador b' no presente el mencionado precio
el subastador entenderá que dicho precio es igual al precio de cierre de la ronda r+1. El precio
no podrá tener más de dos (2) cifras decimales.
c) Regla de control de exceso de oferta: durante la subasta se controlará que la demanda de energía de un producto por parte de los compradores habilitados no se reduzca, de una ronda a otra, en una cantidad tal que se genere un exceso de oferta. Para esto el subastador dará aplicación a este procedimiento en cada ronda de la subasta:
i. Calculará el valor del exceso de demanda EDrC1f de la siguiente manera:
Donde:
EDrC1f : Exceso de demanda de energía del producto C1f en la ronda r. Este valor se expresará en MBTUD.
DrC1f,b : Cantidad de energía del producto C1f solicitada en la ronda r por parte del comprador habilitado b. Este valor se expresará en MBTUD.
OC1f (prC1f) : Cantidad de energía del producto C1f ofrecida en la subasta por parte de todos los vendedores habilitados al precio prC1f. Este valor se expresará en MBTUD.
r: Número de la ronda de la subasta
.
ii. Verificará si se cumple la siguiente condición:

iii. Si no se cumple la condición anterior no habrá exceso de oferta y por tanto no habrá lugar a aplicar lo dispuesto en el resto de este literal.
iv. Si se cumple la condición del numeral ii, calculará el exceso de oferta
de la siguiente manera:

Donde:
: Exceso de oferta de energía del producto C1f en la ronda r + 1. Este valor se expresará en MBTUD
v. Eliminará el exceso de oferta
, para lo cual a cada comprador b' le asignará, además de la cantidad
, una cantidad de energía
conforme se establece en la Tabla 6 de este Anexo

Donde:
: Cantidad adicional de energía del producto C1f asignada al comprador b' en la ronda r + 1 , al precio
. Este valor se expresará en MBTUD.
b1' : Comprador habilitado con el mayor precio, 
bm' : Comprador habilitado con el menor precio. 
b2' a bm-1' : Compradores habilitados con precios menores a
y mayores a
, organizados de manera descendente de acuerdo con los precios declarados.
d) Regla de convergencia: En caso de que el exceso de demanda de energía de un producto C1f sea inferior a 100 MBTUD se considerará, para efectos del cierre de la subasta, que para este producto C1f no hay exceso de demanda. En este caso al finalizar la subasta las cantidades demandadas que exceden la OC1f (prC1f) se asignarán, o se racionarán, de acuerdo con las siguientes reglas:
i. A los vendedores habilitados, comenzando con el que declaró el menor precio de reserva, PRC1f,s1 , y finalizando con el que declaró el mayor precio de reserva, PRC1f,sq se les dará la opción de ofrecer una cantidad tal que se elimine el exceso de demanda al precio de cierre de la subasta para el producto C1f. Siendo sq los vendedores habilitados que hayan declarado PRC1f,sq como precio de reserva del producto C1f.
ii. En caso de que ningún vendedor habilitado ofrezca la cantidad de energía que elimine el exceso de demanda, este exceso se eliminará racionando a los compradores habilitados a prorrata de las asignaciones del producto C1f..
5.9. Regla de terminación de la subasta
La subasta se terminará en la ronda n cuando para ninguno de los productos se presente exceso de demanda. A cada comprador habilitado se le adjudicará una cantidad igual a la suma de
. y
La cantidad
se le asignará al precio de cierre de la ronda n,
, y la cantidad
se le asignará al precio 
5.10 Reglas de racionamiento
a) Regla de asignación para los vendedores habilitados que presenten el precio de reserva PRC1f,s1: Si para el producto C1f se presenta exceso de oferta desde la ronda cero (0) hasta la ronda n, a cada vendedor habilitado con precio de reserva PRC1f,s1 que ofrezca dicho producto se le racionará una cantidad tal que se elimine el exceso de oferta, así:
Donde:
Cantidad de energía del producto C1f asignada para la venta al vendedor habilitado s. Este valor se expresará en MBTUD.
OC1 f,s: Cantidad de energía del producto C1f ofrecida en la subasta por parte del vendedor s. Este valor se expresará en MBTUD.
: Cantidad de energía del producto C1f solicitada en la ronda n por parte del comprador habilitado b . Este valor se expresará en MBTUD.
Cantidad de energía del producto C1f ofrecida en la subasta por parte de todos los vendedores habilitados al precio . Este valor se expresará en MBTUD.
b) Regla de asignación para los vendedores habilitados con precio de reserva igual a
: si el precio de cierre de la ronda n,
es igual al precio de reserva de un vendedor habilitado y si como consecuencia de esto se genera un exceso de oferta en dicha ronda, al vendedor habilitado con el mencionado precio de reserva se le racionará una cantidad tal que se elimine el exceso de oferta. En caso de que dicho precio de reserva corresponda a más de un vendedor habilitado se asignarán las cantidades de gas ofrecidas por los vendedores hasta su totalidad, a cada vendedor habilitado según el orden cronológico de la declaración de su precio de reserva al administrador de las subastas, de acuerdo con el literal b) del numeral 4.5 del presente anexo, hasta que se elimine el exceso de oferta.
5.11. Regla de minimización de contratos
Tras la terminación de la subasta, el administrador de la subasta definirá las partes de los contratos buscando minimizar el número de los mismos. Para estos efectos el administrador de la subasta:
a) Hará una lista de los vendedores habilitados del producto C1f, dejando en el primer lugar a aquel con la mayor cantidad asignada para la venta y en el último lugar a aquel con la menor cantidad asignada para la venta.
b) Hará una lista de los compradores habilitados del producto C1f, dejando en el primer lugar a aquel con la mayor cantidad asignada para la compra y en el último lugar a aquel con la menor cantidad asignada para la compra.
c) Con base en estas listas determinará las partes de los contratos. El primer comprador habilitado de la lista suscribirá un contrato con el primer vendedor habilitado de la lista. Los siguientes compradores habilitados en la lista suscribirán contratos con los vendedores habilitados con las mayores cantidades residuales del producto C1f. Si a un comprador habilitado se le asignó una cantidad mayor a la asignada al respectivo vendedor habilitado, el administrador de la subasta determinará sus contrapartes buscando minimizar el número de contratos mediante los pasos de los literales a) y b) anteriores.
Una vez surtido este proceso, el administrador de la subasta expedirá los correspondientes certificados de asignación de cada uno de los productos.
5.12. Regla de suscripción de los contratos
Una vez la Dirección Ejecutiva publique el informe de que trata el literal g) del numeral 4.2 de este Anexo, y si en él el auditor de la subasta establece que se dio cumplimiento a la regulación vigente aplicable a la subasta, los compradores y vendedores contarán hasta con siete (7) días hábiles para tener sus contratos debidamente suscritos ante el gestor del mercado. Para estos efectos, las partes podrán acordar de mutuo acuerdo las garantías contractuales, y en caso tal de no llegar a un acuerdo se deberán constituir los mecanismos de cumplimiento de que trata el numeral 7.1.1 de este Anexo. En estos contratos se deberán reflejar los resultados de la subasta.
Los vendedores y los compradores serán responsables de verificar la idoneidad de sus contrapartes, de acuerdo con los criterios objetivos que cada uno de ellos publique tres (3) semanas antes de la negociación mediante subasta. Los vendedores y los compradores sólo podrán abstenerse de suscribir un contrato cuando dicha verificación revele que su contraparte no cumple los mencionados criterios, caso en el cual deberán informarlo y soportarlo a la contraparte y a la autoridad competente, si fuera el caso; sólo estos eventos no serán considerados un incumplimiento.
6. Procedimiento de la subasta de contratos de suministro C2
6.1. Tipo de subasta
Subasta simultánea de “reloj ascendente”.
6.2. Productos
Los productos, C2f, que se negociarán mediante la subasta tendrán los siguientes atributos:
c) Modalidad contractual, C2: de acuerdo con lo dispuesto en el literal B del Artículo 23 de esta Resolución, en la subasta sólo se negociarán contratos de suministro C2, con duración de un (1) año para el año t. La fecha de inicio será el 1° de diciembre del año calendario en que se realiza la subasta y la fecha de terminación será el 30 de noviembre del año calendario siguiente.
d) Fuente, f: se deberá especificar el punto de entrega del gas natural. Se entenderá por punto de entrega el campo, punto de entrada al SNT o punto del SNT que corresponda al sitio de inicio o terminación de alguno de los tramos de gasoductos definidos para efectos tarifarios.
6.3. Tamaño de los productos
La cantidad de energía ofrecida por cada vendedor, bajo cada modalidad contractual, C2, corresponderá a un múltiplo entero de un (1) MBTUD y deberá corresponder a lo estipulado en el numeral 3 del literal B del Artículo 23.
6.4. Participación de los vendedores.
Con una antelación a la subasta de suministro C2 no menor a un (1) día hábil, el administrador de la subasta determinará y notificará la oferta de producto C2 para cada uno de los vendedores de que trata el Artículo 16, con base en lo estipulado en el Artículo 24. Asimismo, el administrador de la subasta calculará y publicará el porcentaje de firmeza mínima de los contratos de suministro C2, con base en las cantidades asignadas de contratos de suministro C1, para cada vendedor y por cada campo o punto de entrada. La firmeza mínima corresponderá a la parte firme fija (75%) más la parte de la opción de venta que no dependa de la ejecución de la parte variable de contratos de suministro C1.
El administrador de la subasta deberá verificar que las cantidades a ofrecer en contratos de suministro C2 estén enmarcadas dentro los mecanismos de cubrimiento entregados por cada vendedor se ajusten a lo dispuesto en el numeral 7 de este Anexo y que el vendedor no se encuentre en las listas o reportes asociados con actividades ilícitas de que trata el numeral 7.1.2 de este Anexo. Si se cumplen estos requisitos, el administrador de la subasta entenderá que es un vendedor habilitado para participar en la subasta y lo incluirá en el documento de que trata el literal j) del numeral 4.1 de este Anexo.
En el evento en que una oferta no se ajuste a lo aquí dispuesto el administrador de la subasta lo pondrá en conocimiento del vendedor respectivo, el cual dispondrá de 24 horas, contadas a partir del momento en que el administrador de la subasta lo haya informado, para la corrección correspondiente. Si cumplido este plazo el administrador de la subasta no recibe la oferta debidamente ajustada, éste entenderá que el vendedor no participará en la subasta.
La información señalada en este numeral deberá ser presentada a través del medio y de los formatos que defina el administrador de la subasta.
6.5. Declaración de interés de los compradores
A más tardar un (1) día hábil antes de la subasta, cada uno de los compradores a los que se hace referencia en el Artículo 17 de esta Resolución, con excepción de los agentes térmicos, deberá declarar ante el administrador de la subasta la máxima cantidad de energía que está dispuesto a comprar mediante contratos de suministro C2. Para estos efectos deberá presentar al administrador de la subasta la información señalada en la Tabla 7 de este Anexo.
Donde:
DC2b : Máxima cantidad de energía que será demandada en la subasta de contratos de suministro C2 por parte del comprador b. Este valor se expresará en MBTUD, deberá corresponder a un múltiplo entero de un (1) MBTUD y deberá ser igual o mayor a cien (100) MBTUD.
b: Comprador al que se hace referencia en el Artículo 17 de esta Resolución y que hace la declaración respectiva.
Esta declaración deberá estar enmarcada dentro de los mecanismos de cubrimiento y de los formatos diligenciados de que tratan los numerales 7 y 7.1.2 de este Anexo.
El administrador de la subasta deberá verificar que las cantidades declaradas por los compradores del presente numeral cuenten con garantías de respaldo conforme a los mecanismos de cubrimiento entregados por cada comprador según lo dispuesto en el numeral 7 de este Anexo.
Previamente el administrador de las subastas deberá haber verificado que el comprador no se encuentre en las listas o reportes asociados con actividades ilícitas de que trata el numeral 7.1.2 de este Anexo, y que los sistemas computacionales y de comunicación requeridos por cada comprador funcionan adecuadamente según lo dispuesto en el literal i) del numeral 4.1 de este Anexo.
Si se cumplen los requisitos anteriores, el administrador de la subasta entenderá que es un comprador habilitado para participar en la subasta y lo mantendrá en el documento de que trata el literal j) del numeral 4.1 de este Anexo.
En el evento en que una declaración de demanda máxima no se ajuste a lo aquí dispuesto el administrador de la subasta lo pondrá en conocimiento del comprador respectivo, el cual dispondrá de 24 horas, contadas a partir del momento en que el administrador de la subasta lo haya informado, para la corrección correspondiente. Si cumplido este plazo el administrador de la subasta no recibe la declaración debidamente ajustada, éste entenderá que el comprador no participará en la subasta.
La información señalada en este numeral deberá ser presentada a través del medio y de los formatos que defina el administrador de la subasta.
6.6. Ronda cero (0)
La subasta se iniciará con la ronda cero (0), en la cual tendrán lugar los siguientes eventos:
a) Para cada producto el subastador hará público el precio de inicio de la subasta y la cantidad total de energía ofrecida a ese precio, en los términos de la Tabla 8 de este Anexo.
Donde:
OC2f (prC2f) : Cantidad de energía del producto C2f ofrecida en la subasta por parte de todos los vendedores habilitados al precio prC2f . Este valor se expresará en MBTUD.
prC2f : Precio del producto C2f durante la ronda r. Este valor se expresará en dólares de los Estados Unidos de América por MBTU.
OC2f,s1 : Cantidad total de energía del producto C2f ofrecida en la subasta por parte de los vendedores s1 , siendo s1 los vendedores habilitados que hayan declarado PRC2f,s1 como precio de reserva del producto C2f. Este valor se expresará en MBTUD.
PRC2f,s1 : Menor precio de reserva del producto C2f . Este valor se expresará en dólares de los Estados Unidos de América por MBTU.
b) Una vez se publique la información a la que se hace referencia en el literal a) de este numeral, y durante el tiempo que determine el subastador, cada comprador habilitado le informará al subastador su demanda de energía de cada producto, para lo cual deberá declarar la información establecida en la Tabla 9 de este Anexo. Esto lo hará a través del medio y del formato que defina el subastador.
Donde:
DoC2f,b : Cantidad de energía del producto C2f solicitada en la ronda cero (0) por parte del comprador habilitado b. Este valor se expresará en MBTUD.
La demanda solicitada por cada comprador habilitado estará sujeta a que la energía demandada por el comprador habilitado b del producto C2 en todos los campos o fuentes de suministro, deberá ser igual o inferior a la demanda máxima declarada por dicho comprador habilitado, así:
En el evento en que una declaración de demanda no se ajuste a lo aquí dispuesto, el subastador entenderá que el comprador habilitado se retiró de la subasta.
c) Si el subastador encuentra que para cada producto ofrecido al precio de reserva PRC2f,s1 la oferta es igual o superior a la demanda por el mismo, la subasta terminará en la ronda cero (0). En este caso, a cada comprador habilitado b se le adjudicará la cantidad de energía de cada producto que él demandó, DoC2f,b, al respectivo precio de inicio, PRC2f,s1 . Para estos efectos el subastador dará cumplimiento a lo dispuesto en los numerales 6.10 y 6.11 de este Anexo.
Si la demanda de uno o más productos es superior a la cantidad ofrecida a los precios de reserva PRC2f,s1, la subasta continuará. En este caso, el subastador continuará la subasta, dando aplicación a lo señalado en los numerales 6.7 a 6.11 de este Anexo.
6.7. Información al final de cada ronda
Al final de cada ronda r de la subasta, el subastador hará pública la siguiente información para cada producto:
a) Si hay o no exceso de demanda.
b) Precio de cierre de la siguiente ronda, 
c) Oferta de gas,
, al precio de cierre de la siguiente ronda,
.
d) Duración de la siguiente ronda.
6.8. Reglas de actividad
Las demandas presentadas por los compradores habilitados, a partir de la ronda 1, estarán sujetas a las siguientes reglas de actividad:
a) Regla de actividad de los compradores habilitados: la demanda total de cada uno de estos compradores deberá mantenerse o reducirse en la medida en que avanza la subasta, así:

b) Regla de actividad de los compradores habilitados que desean retirar demanda b': cada comprador b', entendido como aquel que en la ronda r+1 solicite una cantidad de energía del producto C2f inferior a la que solicitó en la ronda r, deberá presentar al subastador el precio
con el cual no reduciría las cantidades de energía del producto C2f en la ronda r+1. El precio
deberá ser mayor al precio de cierre de la ronda r y deberá ser mayor o igual al último precio presentado por el comprador b' para dicho producto. En caso de que el comprador b' no presente el mencionado precio
el subastador entenderá que dicho precio es igual al precio de cierre de la ronda r+1. El precio
no podrá tener más de dos (2) cifras decimales.
c) Regla de control de exceso de oferta: durante la subasta se controlará que la demanda de energía de un producto por parte de los compradores habilitados no se reduzca, de una ronda a otra, en una cantidad tal que se genere un exceso de oferta. Para esto el subastador dará aplicación a este procedimiento en cada ronda de la subasta:
i. Calculará el valor del exceso de demanda EDrC2f de la siguiente manera:
Donde:
EDrC2f : Exceso de demanda de energía del producto C2f en la ronda r. Este valor se expresará en MBTUD.
DrC2f,b : Cantidad de energía del producto C2f solicitada en la ronda r por parte del comprador habilitado b. Este valor se expresará en MBTUD.
OC2f (prC2f) : Cantidad de energía del producto C2f ofrecida en la subasta por parte de todos los vendedores habilitados al precio prC2f . Este valor se expresará en MBTUD.
r: Número de la ronda de la subasta.
ii. Verificará si se cumple la siguiente condición:
iii. Si no se cumple la condición anterior no habrá exceso de oferta y por tanto no habrá lugar a aplicar lo dispuesto en el resto de este literal.
iv. Si se cumple la condición del numeral ii, calculará el exceso de oferta
de la siguiente manera:
Donde:
Exceso de oferta de energía del producto C2f en la ronda r + 1 . Este valor se expresará en MBTUD.
v. Eliminará el exceso de oferta
para lo cual a cada comprador b' le asignará, además de la cantidad
, una cantidad de energía
conforme se establece en la Tabla 10 de este Anexo:

Donde:
. Cantidad adicional de energía del producto C2f asignada al comprador b' en la ronda r + 1, al precio
. Este valor se expresará en MBTUD.
b1' : Comprador habilitado con el mayor precio, 
bm' : Comprador habilitado con el menor precio, 
b2' a bm-1' : Compradores habilitados con precios
menores a
y menores a
, organizados de manera descendente de acuerdo con los precios declarados.
d) Regla de convergencia: En caso de que el exceso de demanda de energía de un producto C2f sea inferior a 100 MBTUD se considerará, para efectos del cierre de la subasta, que para este producto C2f no hay exceso de demanda. En este caso al finalizar la subasta las cantidades demandadas que exceden la OC2f (prC2f ) se asignarán, o se racionarán, de acuerdo con las siguientes reglas:
i. A los vendedores habilitados, comenzando con el que declaró el menor precio de reserva, PRC2f,s1, y finalizando con el que declaró el mayor precio de reserva, PRC2f,sq, se les dará la opción de ofrecer una cantidad tal que se elimine el exceso de demanda al precio de cierre de la subasta para el producto C2f. Siendo sq los vendedores habilitados que hayan declarado PRC2f,sq como precio de reserva del producto C2f.
ii. En caso de que ningún vendedor habilitado ofrezca la cantidad de energía que elimine el exceso de demanda, este exceso se eliminará racionando a los compradores habilitados a prorrata de las asignaciones del producto C2f.
6.9. Regla de terminación de la subasta
La subasta se terminará en la ronda n cuando para ninguno de los productos se presente exceso de demanda. A cada comprador habilitado se le adjudicará una cantidad igual a la suma de
y
. La cantidad
se le asignará al precio de cierre de la ronda n,
, y la cantidad
se le asignará al precio
.
6.10. Reglas de racionamiento
a) Regla de asignación para los vendedores habilitados que presenten el precio de reserva PRC2f,s1 : Si para el producto C2f se presenta exceso de oferta desde la ronda cero (0) hasta la ronda n, a cada vendedor habilitado con precio de reserva PRC2f,s1 que ofrezca dicho producto se le racionará una cantidad tal que se elimine el exceso de oferta, así:
Donde:
Cantidad de energía del producto C2f asignada para la venta al vendedor habilitado s . Este valor se expresará en MBTUD.
OC2f,s : Cantidad de energía del producto C2f ofrecida en la subasta por parte del vendedor s. Este valor se expresará en MBTUD.
: Cantidad de energía del producto C2f solicitada en la ronda n por parte del comprador habilitado b . Este valor se expresará en MBTUD.
: Cantidad de energía del producto C2f ofrecida en la subasta por parte de todos los vendedores habilitados al precio
. Este valor se expresará en MBTUD.
b) Regla de asignación para los vendedores habilitados con precio de reserva igual a
: si el precio de cierre de la ronda n,
es igual al precio de reserva de un vendedor habilitado y si como consecuencia de esto se genera un exceso de oferta en dicha ronda, al vendedor habilitado con el mencionado precio de reserva se le racionará una cantidad tal que se elimine el exceso de oferta. En caso de que dicho precio de reserva corresponda a más de un vendedor habilitado, la cantidad racionada a cada uno para eliminar el exceso de oferta se estimará a prorrata de la cantidad de energía ofrecida por cada uno de estos vendedores.
7. Mecanismos de cubrimiento y de verificación de idoneidad
7.1. Mecanismos de cubrimiento para participar en las subastas
Cada comprador deberá presentar al administrador de la subasta los mecanismos de cubrimiento para participar en las subastas de suministro C1 y/o C2 que cubran: i) el riesgo de que el comprador no participe en la respectiva subasta; y ii) el riesgo de que el comprador que resulte con asignaciones en la respectiva subasta no suscriba el respectivo contrato y/o presente los correspondientes mecanismos de cumplimiento de que trata el numeral 7.1.1 de este Anexo.
Cada vendedor deberá presentar al administrador de la subasta los mecanismos de cubrimiento para participar en las subastas que cubran: i) el riesgo de que el vendedor que resulte con asignaciones en la subasta suscriba el respectivo contrato y/o no presente los correspondientes mecanismos de cumplimiento de que trata el numeral 7.1.1 de este Anexo.
El administrador de la subasta administrará los mecanismos de cubrimiento para participar en cada una de las subastas a través de un instrumento fiduciario regido por los criterios definidos por la Comisión en la Resolución CREG 163 de 2014. Este instrumento fiduciario recibirá y aprobará los mecanismos de cubrimiento, fungirá como su depositario, los ejecutará según instrucciones del administrador de la subasta y transferirá los recursos provenientes de la ejecución de los mecanismos de cubrimiento a quien lo indique el administrador de la subasta. Una vez el administrador de la subasta defina dicho instrumento, se lo informará a los participantes del mercado.
Al adoptar las reglas sobre los mecanismos de cubrimiento la CREG dejará en claro que los destinatarios de los recursos provenientes de la ejecución de los mecanismos de cubrimiento serán exclusivamente las partes afectadas.
La propuesta de los productores-comercializadores en relación con los mecanismos de cubrimiento a los que se hace referencia en los dos (2) primeros incisos de este numeral deberá contemplar lo siguiente:
a) Mecanismos admisibles de cubrimiento para participar en la subasta.
b) Determinación del valor de la cobertura para participar en la subasta.
7.1.1. Mecanismos de cubrimiento para el cumplimiento
Cada comprador y cada vendedor deberá presentar a su contraparte los mecanismos de cubrimiento para el cumplimiento de las obligaciones derivadas de la subasta de suministro C1 y/o de la subasta de suministro C2 respectivamente. Estos mecanismos de cubrimiento se deberán sujetar a las reglas establecidas por la CREG mediante la Resolución CREG 065 de 2015 o aquellas que la modifiquen, complementen o sustituyan.
La propuesta de los productores-comercializadores en relación con los mecanismos de cubrimiento a los que se refiere este numeral deberá contemplar lo siguiente:
a) Mecanismos admisibles de cubrimiento para el cumplimiento de las asignaciones que resulten en cada subasta.
b) Determinación del valor de la cobertura para el cumplimiento de las asignaciones que resulten en cada subasta.
7.1.2. Criterios de verificación de idoneidad
La propuesta de los productores-comercializadores en relación con los criterios de verificación de idoneidad de los vendedores y de los compradores deberá contemplar lo siguiente:
a) Formato para la declaración del origen de bienes y de los fondos para el desarrollo de su actividad.
b) Formatos para la declaración de que el comprador o el vendedor no se encuentran en listas o reportes asociados con actividades ilícitas.
Anexo 5
Reglamento de las subastas del proceso úselo o véndalo de corto plazo
para gas natural
1. Objeto
El presente reglamento tiene por objeto establecer las condiciones y procedimientos para la negociación de suministro de gas natural mediante subastas, según lo dispuesto en Artículo 36 de esta Resolución. 2. Definiciones
Administrador de las subastas: persona natural o jurídica encargada de organizar las subastas.
Auditor de las subastas: persona natural o jurídica, con reconocida experiencia en procesos de auditoría, contratada por el administrador de las subastas para auditar el desarrollo de las mismas.
Compradores de gas natural: compradores a los que se hace referencia en el Artículo 30 de esta Resolución.
Declarantes de información sobre suministro de gas natural: son los productores-comercializadores y los comercializadores de gas importado, los cuales deberán declarar al administrador de las subastas los titulares de los derechos de suministro de gas natural contratado, bajo las modalidades de contratos firmes, firmes CF95, de suministro con firmeza condicionada, de suministro C1 y de suministro C2, que no haya sido nominado para el siguiente día de gas y que sea de obligatorio pago.
Precios de adjudicación: son los precios que pagarán los compradores por el gas natural a través de las subastas. Corresponden a los precios de cierre de las subastas.
Precio de reserva: precio mínimo al cual se ofrece para la venta un producto en una subasta.
Producto: cantidad de energía negociada bajo la modalidad contractual firme para el día de gas. La cantidad de energía se entregará en un campo, punto de entrada al SNT o punto del SNT que corresponda al sitio de inicio o terminación de alguno de los tramos de gasoductos definidos para efectos tarifarios.
Sistema de subastas: corresponde a la plataforma tecnológica en la cual se desarrollarán las subastas que se reglamentan en este Anexo.
Subasta: proceso de negociación con reglas definidas para la formación del precio y la asignación del producto, de acuerdo con lo establecido en este Anexo.
Subastador: persona natural o jurídica, con reconocida experiencia en la materia, que da aplicación al procedimiento de las subastas. Puede ser el administrador de las subastas u otra persona que éste contrate.
Vendedores de gas natural: son los titulares de derechos de suministro de gas natural, bajo las modalidades de contratos firmes, firmes CF95, de suministro con firmeza condicionada, de suministro C1 y de suministro C2 con energía disponible para la subasta.
3. Principios generales de las subastas
Las subastas se regirán por los siguientes principios:
a) Eficiencia: el desarrollo de las subastas conducirá a optimizar el uso del gas natural a precios eficientes.
b) Publicidad: se garantizará a través de los mecanismos dispuestos en la presente Resolución.
c) Neutralidad: el diseño de las subastas y el reglamento de las mismas no permitirán, inducirán o adoptarán prácticas de discriminación indebida en contra de alguno de los participantes.
d) Simplicidad y transparencia: los mecanismos de las subastas serán claros, explícitos y constarán por escrito, de tal forma que puedan ser comprendidos sin duda ni ambigüedad.
e) Objetividad: los criterios de adjudicación serán claros e imparciales.
4. Organización de las subastas
4.1. Responsabilidades y deberes del administrador de las subastas
a) Establecer, operar y mantener el sistema de subastas, el cual deberá estar disponible a más tardar diez (10) días calendario antes de la fecha programada para la realización de las primeras subastas.
b) Realizar a más tardar cinco (5) días calendario antes de la fecha programada para la realización de la subasta, a través de una empresa especializada, una auditoría operativa y de sistemas para verificar el adecuado funcionamiento del sistema de subastas y certificar su correcta operación frente a las especificaciones técnicas, operativas y de seguridad, respecto del programa y de los equipos. Igualmente, deberá remitir el certificado de dicha auditoría al auditor de la subasta antes de la realización de las primeras subastas.
c) Elaborar los reglamentos que considere necesarios para llevar a cabo las actividades encomendadas, los cuales deberán ser puestos a consideración de la CREG para su concepto de no objeción a más tardar cuarenta (40) días calendario antes de la fecha programada para la realización de las primeras subastas. En especial deberá establecer la estructura computacional y de comunicaciones requerida para el acceso al sistema de subastas, así como los canales formales para la comunicación con el administrador y con el subastador.
La CREG dará su concepto de no objeción de tal manera que veinte (20) días calendario antes de la realización de las primeras subastas sean públicos los reglamentos. A partir de la realización de las primeras subastas la CREG dará su concepto de no objeción cuando haya modificaciones en los reglamentos, para lo cual el administrador de las subastas deberá poner a consideración de la CREG las modificaciones del caso.
d) Ofrecer e impartir la capacitación y asistencia necesaria en el manejo y operación del sistema de subastas a los vendedores y compradores a los que se hace referencia en el Artículo 29 y en el Artículo 30 de esta Resolución, con una frecuencia anual. En caso de que alguno de los vendedores y compradores a los que se hace referencia en el Artículo 29 y en el Artículo 30 de esta Resolución requiera capacitación adicional, el administrador de las subastas podrá impartírsela, caso en el cual podrá cobrar la cifra que las partes acuerden.
e) Contratar al auditor de las subastas, proceso que debe estar finalizado por lo menos veinte (20) días calendario antes de la fecha programada para la realización de las mismas.
f) Si el administrador de las subastas no desempeña el papel de subastador, deberá contratarlo, proceso que deberá estar finalizado por lo menos veinte (20) días calendario antes de la realización de las mismas.
g) Emitir los certificados en los que se informe a los vendedores y a los compradores los resultados de las subastas en las que participaron.
h) Conservar registros históricos, en medios electrónicos, de la totalidad de operaciones realizadas en desarrollo de las subastas, de conformidad con las disposiciones legales vigentes en materia de conservación de documentos.
En desarrollo del servicio al que se hace referencia en el numeral 4 del Artículo 5 de esta Resolución, el gestor del mercado será el administrador de las subastas.
4.2. Responsabilidades y deberes del auditor de las subastas
a) Verificar la correcta aplicación de la regulación prevista para las subastas.
b) Verificar que las comunicaciones con el administrador de las subastas y el subastador se realicen única y exclusivamente mediante los canales formales de comunicación establecidos por el administrador de las subastas.
c) Verificar que durante las subastas se sigan expresamente los pasos y reglas establecidos en este Anexo.
d) Informar al administrador de las subastas las situaciones en las que considere que el mismo administrador o el subastador no están dando cumplimiento a las disposiciones contenidas en la regulación vigente, para que el administrador de las subastas tome los correctivos del caso de manera inmediata.
e) Informar a los órganos responsables de la inspección, vigilancia y control las situaciones en las que considere que i) los declarantes de información sobre suministro de gas natural; ii) los vendedores de gas natural; o iii) los compradores de gas no están dando cumplimiento a las disposiciones contenidas en la regulación.
f) Auditar, de manera aleatoria, una muestra significativa de las subastas realizadas en cada año y remitir a la CREG, dentro de los cinco (5) días siguientes a la finalización de cada bimestre, un informe en el cual se establezca, sin ambigüedades, si el administrador de las subastas dio cumplimiento o no a la regulación aplicable a las subastas.
4.3. Responsabilidades y deberes del subastador
a) Recibir las declaraciones de los declarantes de información sobre suministro de gas natural según las condiciones que se establecen en este Anexo.
b) Recibir las declaraciones de precios de reserva por parte de los vendedores de gas natural según las condiciones que se establecen en este Anexo.
c) Recibir las declaraciones de cantidades y precios por parte de los compradores de gas natural según las condiciones que se establecen en este Anexo.
d) Elaborar la curva de demanda agregada con base en las cantidades y precios declarados por los compradores de gas, según lo establecido en el literal a) del numeral 5.7 de este Anexo.
e) Elaborar la curva de oferta agregada con base en i) la información de cantidades declaradas por los declarantes de información sobre suministro; y ii) la información de precios de reserva declarados por los vendedores de gas natural según lo establecido en el literal b) del numeral 5.7 de este Anexo.
f) Obtener los precios de adjudicación del gas natural a través de la superposición de las curvas de oferta y de demanda agregadas.
4.4. Obligaciones de los declarantes, los vendedores y los compradores en relación con el uso del sistema de subastas
a) Tener a su disposición la estructura operativa y el equipo computacional y de comunicaciones apropiado, de acuerdo con las especificaciones operativas y técnicas establecidas por el administrador de las subastas.
b) Utilizar y operar el sistema de subastas única y exclusivamente a través del personal debidamente capacitado para el efecto.
c) Abstenerse de realizar actos contrarios a la libre competencia, actos contrarios a la legislación o a la regulación vigente y actos que afecten la transparencia del proceso o la adecuada formación de precios.
d) Informar de manera inmediata al administrador de las subastas cualquier error o falla del sistema de subastas.
4.5. Sistema de subastas
La plataforma tecnológica deberá cumplir con los siguientes requisitos mínimos
a) Estar basada en protocolos de Internet.
b) Permitir el acceso a cada uno de los declarantes, de los vendedores y de los compradores desde el sitio en el territorio nacional donde estos dispongan de la infraestructura de computación y comunicaciones.
c) Mantener las bases de datos y servidores del sistema de subastas en el sitio que para tal fin establezca el administrador de la subasta.
d) Garantizar la autenticación de los usuarios que acceden al sistema.
e) Cumplir las exigencias establecidas en la legislación que rige en materia de comercio electrónico.
f) Tener un sistema que permita el manejo de información confidencial o sujeta a reserva legal.
g) Incluir sistemas de respaldo que garanticen la operación continua durante el proceso de subastas.
h) Estar dotado de un registro de todos los procesos realizados en él, incluyendo el registro de ingreso de cada uno de los usuarios.
i) Contar con los sistemas de respaldo que el administrador de las subastas considere necesarios para el correcto funcionamiento del sistema. El administrador de las subastas no será responsable por la suspensión o interrupción de los servicios, ni por las deficiencias mecánicas, electrónicas o de software que se observen en la prestación del servicio derivadas de las limitaciones tecnológicas propias del sistema computacional, ni por cualquier otro hecho que escape al control del administrador, como caso fortuito o fuerza mayor.
4.6. Mecanismos de contingencia
Cuando el sistema de subastas se suspenda por las causas señaladas a continuación, se procederá como se establece para cada una de ellas:
a) Suspensión por fallas técnicas durante el día en que se realicen las subastas.
El administrador de las subastas deberá informar a los compradores y a los vendedores los mecanismos necesarios para hacer las asignaciones en los tiempos que se establecen en este Anexo.
b) Suspensión parcial de la operación del sistema de subastas.
Se entenderá como suspensión parcial de la operación del sistema de subastas la falla asociada a las estaciones de trabajo de cualquiera de los declarantes, de los vendedores y de los compradores o de sus sistemas de comunicación.
Cuando se presente la suspensión parcial de la operación del sistema de subastas, los declarantes, los vendedores y los compradores cuyas estaciones de trabajo o sistema de comunicación fallaron deberán remitir, de acuerdo con la vía alterna establecida por el administrador de las subastas, las declaraciones de cantidades no nominadas, precios de reserva y solicitudes de compra, cumpliendo con la reglamentación vigente. Dichas declaraciones serán ingresadas al sistema de subastas conforme a los procedimientos establecidos por el administrador de las subastas.
El administrador de las subastas deberá informar estos mecanismos de contingencia a más tardar veinte (20) días calendario antes de la realización de las primeras subastas, o a más tardar veinte (20) días calendario antes de la realización de las subastas siguientes a una modificación de dichos mecanismos.
5. Procedimiento de las subastas de gas natural
5.1. Tipo de subasta
Subasta de sobre cerrado.
5.2. Producto
Energía disponible, Ee, que se negociará mediante cada una de las subastas y que tendrá los siguientes atributos:
a) Modalidad contractual: contrato firme.
b) Punto de entrega, e: se deberá especificar el punto en el que se entregará el gas natural. Deberá ser un campo, punto de entrada al SNT o punto del SNT que corresponda al sitio de inicio o terminación de alguno de los tramos de gasoductos definidos para efectos tarifarios.
c) Duración: un (1) día.
5.3. Tamaño del producto
La cantidad de energía del producto Ee que se ofrece en las subastas y la requerida por cada comprador corresponderá a un múltiplo entero de un (1) MBTUD.
5.4. Cantidad disponible y precios de reserva
A más tardar a las 15:55 horas del Día D-1 los declarantes de información sobre suministro de gas natural le declararán al administrador de las subastas la información señalada en la Tabla 1.
Donde:
s: Titular de los derechos de suministro del gas no nominado para entrega en e . Puede ser un generador térmico titular de derechos de suministro de gas. El titular s actuará como un vendedor durante el desarrollo del procedimiento establecido en los numerales 5.7 y 5.8 de este Anexo.
QEe,s : Cantidad de energía no nominada para el siguiente día de gas con entrega en e y cuyo titular es s . En el caso de un generador térmico t esta variable corresponderá a QEe,t . Este valor se expresará en MBTUD.
En esta declaración no se deberán incluir las cantidades no nominadas como consecuencia de uno de los eventos de fuerza mayor, caso fortuito o causa extraña o de uno de los eventos eximentes de responsabilidad a los que se hace referencia en el Artículo 10 y en el Artículo 11 de esta Resolución.
A más tardar a las 16:00 horas del Día D-1 los vendedores de gas natural le declararán al administrador de las subastas la información señalada en la Tabla 2.

Donde:
s: Titular de los derechos de suministro del gas no nominado con entrega en e. Puede ser un generador térmico titular de derechos de suministro de gas. El titular s actuará como un vendedor durante el desarrollo del procedimiento establecido en los numerales 5.7 y 5.8 de este Anexo.
PREe,s : Precio de reserva del producto Ee declarado por el titular s. Este valor se expresará en dólares de los Estados Unidos de América por MBTU
El precio PREe,s deberá ser superior o igual a cero (0) y no podrá tener más de dos (2) cifras decimales.
A más tardar a las 16:00 horas del Día D-1 los generadores térmicos que no hayan nominado la totalidad de la energía contratada, para el siguiente día de gas, le deberán informar al administrador de las subastas qué cantidad de energía no está disponible para las subastas. La cantidad informada por los generadores no será considerada parte de la energía disponible.
Si antes de las 16:00 horas el administrador de las subastas no recibe esta información del generador térmico t, el administrador de las subastas entenderá que la cantidad de energía no disponible,
, es cero (0). Por consiguiente entenderá que la totalidad de la energía no nominada por el generador térmico t está disponible para la subasta.
Si antes de las 16:00 horas el administrador de las subastas no recibe la declaración del precio de reserva, PREe,s del titular s, el administrador de las subastas entenderá que el titular s hizo su oferta al precio de reserva PREe,s igual a cero (0).
5.5. Publicación de la cantidad disponible
A más tardar a las 16:10 horas del Día D-1 el administrador de las subastas publicará la cantidad total de energía disponible en cada punto de entrega, QEe, como se señala en la Tabla 3.
Donde:
QEe : Cantidad total de energía disponible para el siguiente día de gas con entrega en e . Este valor se expresará en MBTUD.
QEe,s : Cantidad de energía no nominada para el siguiente día de gas con entrega en e y cuyo titular es s. Incluye la energía no nominada por parte de los generadores térmicos titulares de derechos de suministro de gas. Este valor se expresará en MBTUD.
Cantidad de energía no nominada para el siguiente día de gas con entrega en e y cuyo titular es el generador térmico t, la cual no está disponible para la subasta. Este valor se expresará en MBTUD.
5.6. Recibo de las solicitudes de compra
A más tardar a las 16:35 horas del Día D-1, los compradores de gas natural que están interesados en comprar cantidades de energía del producto Ee enviarán sus solicitudes de compra al administrador de las subastas. Para estos efectos le presentarán cinco (5) puntos de su curva de demanda, según lo señalado en la Tabla 4.
Donde:
i: Preferencia del comprador j . La variable i tomará los valores enteros de uno (1) a cinco (5).
DEe,j (piEe,j ) : Cantidad de energía del producto Ee que el comprador j está dispuesto a comprar al precio piEe,j, según su preferencia i. Este valor se expresará en MBTUD.
piEe,j : Precio que el comprador j está dispuesto a pagar por la cantidad DEe,j (piEe,j), según su preferencia i. Este valor se expresará en dólares de los Estados Unidos de América por MBTU.
La cantidad DEe,j (piEe,j) deberá ser un múltiplo entero de un (1) MBTUD, y deberá ser igual o inferior a la cantidad total de energía disponible, QEe. Por su parte, el precio piEe,j deberá ser superior o igual a cero (0) y no podrá tener más de dos (2) cifras decimales. Las solicitudes de compra que no cumplan con las condiciones indicadas se entenderán como no presentadas.
5.7. Desarrollo de las subastas
Entre las 16:35 y las 17:00 horas del Día D-1 el subastador dará aplicación al procedimiento de subasta de sobre cerrado para cada producto Ee, como se dispone a continuación:
a) Con base en las cantidades DEe,j (piEe,j) y en los precios piEe,j el subastador determinará la curva de demanda agregada de cada producto Ee, DAEe, la cual se formará conforme a lo establecido en la Tabla 5.
Donde:
DEe,j (pdEe) : Cantidad de energía del producto Ee que el comprador j está dispuesto a comprar al precio pdEe . Esta cantidad de energía se determinará con base en la curva de demanda del comprador j que se forma a partir de sus cinco (5) preferencias declaradas según la Tabla 4. Este valor se expresará en MBTUD.
pdEe : Cada uno de los precios que los compradores j están dispuestos a pagar por el producto Ee. Esta variable tomará los valores ordenados en forma descendente desde pdEe,máx hasta pdEe,min.
pdEe,máx Es el mayor de los precios piEe,j declarados por todos los compradores j, según la Tabla 4. Este valor se expresará en dólares de los Estados Unidos de América por MBTU.
pdEe,min : Es el menor de los precios piEe,j declarados por todos los compradores j , según la Tabla 4. Este valor se expresará en dólares de los Estados Unidos de América por MBTU.
pdEe,máx-1 ,..., pdEe,mín+1 : Son los precios piEe,j declarados por todos los compradores j, según la Tabla 4, organizados de mayor a menor entre pdEe,máx y pdEe,min. Estos valores se expresarán en dólares de los Estados Unidos de América por MBTU.
b) Con base en las cantidades QEe,s y
y en los precios PREe,s el subastador determinará la curva de oferta agregada de cada producto Ee, OAEe , la cual se formará conforme a lo establecido en la
c) Tabla 7. Para estos efectos se aplicarán los siguientes pasos.
i. Establecer la curva de oferta del producto Ee para cada vendedor, como se dispone en la Tabla 6.
Donde:
OEe,s (PREe,s) : Cantidad de energía del producto Ee que el vendedor s está dispuesto a vender al precio PREe,s. En el caso de los generadores térmicos t esta cantidad se determinará como la diferencia entre QEe,t y
En el caso de los demás titulares de derechos de suministro de gas esta cantidad será igual a QEe,s . Este valor se expresará en MBTUD.
poEe : Precio al que un vendedor está dispuesto a vender la energía del producto Ee . Este valor se expresará en dólares de los Estados Unidos de América por MBTU.
PREe,s : Precio de reserva del producto Ee declarado por el vendedor s . Este valor se expresará en dólares de los Estados Unidos de América por MBTU.
ii. Establecer la curva dde oferta agregada de cada producto Ee , OAEe , la cual se formrá conforme a lo establecido en la
iii. Tabla 7.
Donde:
OEe,s (poEe) : Cantidad de energía del producto Ee que el vendedor s está dispuesto a vender al precio poEe . Esta cantidad de energía se determinará con base en la curva de oferta del vendedor según la Tabla 6. Este valor se expresará en MBTUD.
poEe : Precio al que un vendedor s está dispuesto a vender la energía del producto Ee . Esta variable tomará los valores ordenados en forma ascendente desde PREe,mín hasta PREe,máx.
PREe,mín . Es el menor de los precios de reserva declarados por todos los vendedores s , según la Tabla 2. Este valor se expresará en dólares de los Estados Unidos de América por MBTU.
PREe,máx. : Es el mayor de los precios de reserva declarados por todos los vendedores s , según la Tabla 2. Este valor se expresará en dólares de los Estados Unidos de América por MBTU.
PREe,mín+1 ,..., PREe,máx-1 : Son los precios de reserva declarados por todos los vendedores s según la Tabla 2, organizados de menor a mayor entre PREe,mín y PREe,máx . Estos valores se expresarán en dólares de los Estados Unidos de América por MBTU.
d) El subastador superpondrá la curva de demanda agregada, DAEe, y la curva de oferta agregada, OAEe, para establecer el resultado de la subasta de acuerdo con los siguientes tres (3) casos:
i. Si las dos (2) curvas tienen un único punto en común (Q*Ee , p*), éste determinará la cantidad total de energía adjudicada, Q*Ee, y el precio de adjudicación, p*.
A cada comprador que haya declarado una disposición a pagar mayor a p* y no haya declarado una disposición a pagar igual a p* se le asignará, al precio de adjudicación p*, la cantidad de energía que está dispuesto a comprar al precio p*. Esto se determinará con base en la curva de demanda del comprador que se forma a partir de sus cinco (5) preferencias declaradas según la Tabla 4.
A cada comprador que haya declarado entre sus preferencias una disposición a pagar igual a p* se le asignará la cantidad de energía que resulte de aplicar la Ecuación 1:
Donde:
K: Comprador j que declaró entre sus preferencias, según la Tabla 4, una disposición a pagar igual a p*.
: Cantidad de energía del producto Ee que se adjudica al comprador k. Este valor se expresará en MBTUD.
DEe,k (piEe,K = p* ): Cantidad de energía del producto Ee que el comprador k declaró estar dispuesto a comprar al precio p*. Este valor se expresará en MBTUD.
DEe,j (p*) : Cantidad de energía del producto Ee que el comprador j está dispuesto a comprar al precio p*. Esta cantidad de energía se determinará con base en la curva de demanda del comprador j que se forma a partir de sus cinco (5) preferencias declaradas según la Tabla 4. Este valor se expresará en MBTUD.
Q*Ee : Cantidad total de energía del producto Ee adjudicada en la subasta. Este valor se expresará en MBTUD.
A cada vendedor cuyo precio de reserva es menor al precio p* se le asignará la totalidad de la cantidad de energía ofrecida en la subasta, OEe,s.
A cada vendedor cuyo precio de reserva es igual al precio p* se le asignará la cantidad de energía resultante de aplicar la Ecuación 2:

Donde:
z: Vendedor s que declaró un precio de reserva, PREe,z , igual a p*.
Cantidad de energía del producto Ee que se adjudica al vendedor z. Este valor se expresará en MBTUD.
OEe,z (PREe,z = p*) : Cantidad de energía del producto Ee que el vendedor z declaró estar dispuesto a vender a un precio de reserva igual a p*. Este valor se expresará en MBTUD.
OEe,s (p*) : Cantidad de energía del producto Ee que el vendedor s está dispuesto a vender al precio p*. Esta cantidad de energía se determinará con base en la curva de oferta del vendedor s según la Tabla 6. Este valor se expresará en MBTUD.
Q*Ee : Cantidad total de energía del producto Ee adjudicada en la subasta. Este valor se expresará en MBTUD.
ii. Si las dos (2) curvas tienen más de un punto en común, se aplicarán las siguientes regla para determinar Q*Ee y p*:
(1) Cuando las dos (2) curvas coinciden para un mismo nivel de precio, este precio corresponderá al precio de adjudicación p* y el subastador tomará la máxima cantidad ofrecida a dicho precio como la cantidad de energía adjudicada, Q*Ee.
(2) Cuando las dos (2) curvas coinciden para un mismo nivel de cantidad, esta cantidad corresponderá a la cantidad de energía adjudicada, Q*Ee, y el subastador tomará el menor de los precios declarados por los compradores j, pdEe,mín, según lo establecido en la Tabla 5, como el precio de adjudicación de la subasta, p*.
Una vez determinados la cantidad y el precio de adjudicación de la subasta, Q*Ee y p*, el subastador dará aplicación a lo establecido en el numeral i anterior para determinar la cantidad que debe adjudicar a cada uno de los compradores y de los vendedores.
iii. Si las dos (2) curvas no tienen ningún punto en común, la cantidad total adjudicada será cero (0).
e) Tras la terminación de la subasta, una vez adjudicadas las cantidades a los compradores y a los vendedores, el administrador de las subastas definirá las partes de los contratos buscando minimizar el número de los mismos. Para estos efectos el administrador de las subastas:
i. Hará una lista de los vendedores s del producto Ee dejando en el primer lugar a aquel con la mayor cantidad asignada para la venta y en el último lugar a aquel con la menor cantidad asignada para la venta.
ii. Hará una lista de los compradores j del producto Ee dejando en el primer lugar a aquel con la mayor cantidad asignada para la compra y en el último lugar a aquel con la menor cantidad asignada para la compra.
iii. Con base en estas listas determinará las partes de los contratos. El primer comprador de la lista celebrará un contrato con el primer vendedor de la lista. Los siguientes compradores en la lista celebrarán contratos con los vendedores con las mayores cantidades residuales del producto Ee. Si a un comprador se le asignó una cantidad mayor a la asignada al respectivo vendedor, el administrador de las subastas determinará sus contrapartes buscando minimizar el número de contratos mediante los pasos de los numerales i y ii anteriores.
Una vez surtido este proceso, el administrador de las subastas expedirá los correspondientes certificados de asignación de los productos Ee.
5.8. Información de los resultados de las subastas
A más tardar a las 17:00 horas del Día D-1 el administrador de las subastas informará a los compradores y a los vendedores el resultado de las mismas.
Anexo 6
Reglamento de las subastas de gas natural bajo la modalidad de contratos con interrupciones
(Derogado Res. 102 009/2024, Art. 20. CREG)
Anexo 7
(Modificado Res. 102 009/2024 art. 17. CREG)
Oferta comprometida firme
Para calcular la oferta comprometida firme se utilizarán las siguientes ecuaciones:

(Ecuación 1)

(Ecuación 2)

(Ecuación 3)
Oferta comprometida firme de la fuente f, del año t, del productor–comercializador o comercializador de gas importado S y para el mes m. Este valor se expresará en MBTUD.
Año que tiene como fecha de inicio 1 de diciembre de un año y como fecha de terminación el 30 de noviembre del año siguiente.
Oferta comprometida firme de contratos firmes CF de la fuente f, del año t, del productor–comercializador o comercializador de gas importado S y para el mes m. Este valor se expresará en MBTUD.
Oferta comprometida firme de contratos firmes al 95% CF95 de la fuente f, del año t, del productor–comercializador o comercializador de gas importado S y para el mes m . Este valor se expresará en MBTUD.
Oferta comprometida firme de contratos de suministro con firmeza condicionada CFC de la fuente f, del año t, del productor–comercializador o comercializador de gas importado S y para el mes m. Este valor se expresará en MBTUD.
Oferta comprometida firme de contratos de opción de compra de gas OCG de la fuente f, del año t, del productor–comercializador o comercializador de gas importado S y para el mes m. Este valor se expresará en MBTUD.
Oferta comprometida firme de contratos de opción de compra de gas contra exportaciones OCGX de la fuente f, del año t, del productor – comercializador o comercializador de gas importado S y para el mes m. Este valor se expresará en MBTUD.
Oferta comprometida en contratos de suministro C1 de la fuente f, del año t, del productor–comercializador o comercializador de gas importado S y para el mes m. Este valor se expresará en MBTUD.
Oferta comprometida en contratos de suministro C2 de la fuente f, del año t, del productor–comercializador o comercializador de gas importado S y para el mes m. Este valor se expresará en MBTUD.
Porcentaje sobre la cantidad máxima de los contratos de suministro C1 que corresponde a firme, correspondiente a treinta por ciento (30%).
Porcentaje sobre la cantidad máxima de los contratos de suministro C2 que corresponde a firme, correspondiente a setenta y cinco por ciento (75%).
Todos y cada uno de los meses en los que existan contratos vigentes de las modalidades firme, firmeza condicionada, opciones de compra de gas y/u opciones de compra de gas contra exportaciones, definidos en el artículo 8 de la presente Resolución.
Oferta disponible en firme para contratos de suministro OCG de la fuente f, del año t, del productor–comercializador o comercializador de gas importado S y para el mes m. Este valor se expresará en MBTUD.
Oferta disponible en firme para contratos de suministro CFC de la fuente f, del año t, del productor–comercializador o comercializador de gas importado S y para el mes m. Este valor se expresará en MBTUD.
Para cada uno de los meses
el gestor del mercado calculará y publicará en el BEC la oferta comprometida firme 
Cuando en la ecuación anterior ocurre que:
.jpg)
Los vendedores sólo podrán ofrecer la diferencia
través de contratos de opción de compra de gas 
Cuando, por el contrario, ocurre que:

Los vendedores sólo podrán ofrecer la diferencia
a través de contratos de suministro con firmeza condicionada 
Anexo 8
(Adicionado Res. 102 009/ 2024, art. 18. CREG)
Priorización de la Demanda Esencial
El siguiente será el procedimiento a ser desarrollado por los vendedores y compradores del mercado primario mediante el mecanismo de la negociación directa, con el fin de asignar con prioridad, la contratación del suministro de las cantidades requeridas por los compradores para atender los usuarios que son parte de la Demanda Esencial. Lo anterior aplica a cualquier fuente de suministro, ya sea de gas natural de producción nacional o de gas natural obtenido en el exterior, sin excepción alguna:
i.) Cálculo por cada comprador c que atiende directamente Demanda Esencial, de la cantidad a contratar:
Donde:
Cantidad máxima total de solicitud de compra para el período de consumo p, por el comprador c que atiende directamente la Demanda Esencial, para cada numeral n establecido en la definición de Demanda Esencial del artículo 2.2.2.1.4 del Decreto 1073 de 2015, en MBTUD.
Valor de consumo del mes con el mayor promedio diario de consumo según el Sistema Único de Información - SUI, por el comprador c, para la atención directa de cada numeral n establecido en la definición de Demanda Esencial del artículo 2.2.2.1.4 del Decreto 1073 de 2015 del mismo período de consumo p, del año calendario anterior al año en que se realizan las negociaciones directas, calculadas en MBTUD utilizando un factor de equivalencia de 37,080 btu/m3.

Cantidad total contratada al momento de la realización de las nuevas solicitudes de compra a los vendedores del mercado primario, de tipo firme, por el comprador c o el nuevo comprador c, para atender directamente la Demanda Esencial, para el período de consumo p, en MBTUD. Este valor es igual a la suma de las cantidades contratadas vigentes, tanto en el mercado primario como en el mercado secundario con la resta de las cantidades vendidas en el Mercado Secundario con destino a Demanda Esencial, para atender el período de consumo p, para cada numeral n establecido en la definición de Demanda Esencial del artículo 2.2.2.1.4 del Decreto 1073 de 2015.
Con:
Cantidad total de energía consumida por la Demanda Esencial atendida por el comprador c, entre el período transcurrido del mes de enero del año anterior al año a de realización de la negociación al mes de diciembre de ese mismo año, para cada numeral n establecido en la definición de Demanda Esencial del artículo 2.2.2.1.4 del Decreto 1073 de 2015, en MBTU.
Cantidad total de energía consumida por la Demanda Esencial atendida por el comprador c, entre el período transcurrido del mes de enero del segundo año anterior al año a de la negociación al mes de diciembre de ese mismo año, para cada numeral n establecido en la definición de Demanda Esencial del artículo 2.2.2.1.4 del Decreto 1073 de 2015, en MBTU.
Son en su orden: i) la demanda de gas natural para la operación de las estaciones de compresión del SNT, ii) la demanda de gas natural de usuarios residenciales y pequeños usuarios comerciales inmersos en la red de distribución, iii) la demanda de GNCV, y iv) la demanda de gas natural de las refinerías, excluyendo aquella con destino a autogeneración de energía eléctrica que pueda ser reemplazada con energía del sistema interconectado nacional.
Período de consumo, que corresponde a los mismos meses en que se ejecutará el contrato.
La cantidad de solicitudes de compra de un comprador del mercado primario con el fin de atender directamente la Demanda Esencial, para cada numeral n establecido en la definición de Demanda Esencial del artículo 2.2.2.1.4 del Decreto 1073 de 2015, no podrá ser superior al valor obtenido IS1c,p,n. Será responsabilidad del agente comprador el cálculo de dicho valor y de que se cumpla la condición presente.
En el caso de que haya un nuevo comprador c que representa parte de la Demanda Esencial, que en el año 2022 o en el año 2023 era atendida por otro comprador c, el comprador saliente del año 2022 o del año 2023 deberá facilitar la información del consumo DEc,p,2023 y CRc,p-1,n al nuevo comprador c y toda aquella que se requiera para efectuar los cálculos aquí descritos.
ii.) En cada una de las solicitudes de compra del mercado primario el comprador deberá incluir como mínimo, la cantidad total solicitada de la fuente de suministro, discriminando la cantidad solicitada para atender la Demanda Esencial para cada numeral n establecido en la definición de Demanda Esencial del artículo 2.2.2.1.4 del Decreto 1073 de 2015, en MBTUD. Dicha información deberá ser tenida en cuenta por cada uno de los vendedores de la fuente de suministro solicitada, para efectos de la asignación priorizada de las cantidades ofertadas para esa fuente de suministro.
iii.) El vendedor de la fuente de suministro deberá priorizar la asignación de las cantidades ofertadas de la siguiente manera:
a. Si las cantidades ofertadas son iguales o superiores al total de las cantidades solicitadas por los compradores para atender la totalidad de la Demanda Esencial, el vendedor asignará primero el total de las cantidades para atender la Demanda Esencial, pudiendo negociar el suministro de las cantidades excedentarias de la oferta con los agentes que representan la demás demanda.
b. Si las cantidades ofertadas son menores al total de las cantidades solicitadas por los compradores para atender la Demanda Esencial, el vendedor asignará las cantidades ofertadas, así:
i. Asigna las cantidades ofertadas a las cantidades totales solicitadas por los compradores que no pueden acudir a otras fuentes de suministro por limitaciones en la configuración del sistema de transporte del que recibe el gas, en el mismo orden que aparece en la definición de Demanda Esencial en el artículo 2.2.2.1.4 del Decreto 1073 de 2015.
ii. Las cantidades ofertadas remanentes serán asignadas a las cantidades totales solicitadas por los demás compradores, en el mismo orden que aparece en la definición de Demanda Esencial en el artículo 2.2.2.1.4 del Decreto 1073 de 2015, hasta que llegue al numeral en que las cantidades ofertadas remanentes no son suficientes para atender la totalidad solicitada por todos los compradores de tal numeral.
iii. Las cantidades ofertadas remanentes serán asignadas entre los compradores del numeral con cantidades insuficientes de oferta, así:
Donde:
Cociente de participación del comprador c, para el período de consumo p, para atender el numeral n de la Demanda Esencial directamente.
iv.) El vendedor del mercado primario asignará las cantidades disponibles para el numeral n de la Demanda Esencial, así:
Donde:
Cantidad a asignar al comprador c, para el período de consumo p, para atender el numeral n de la Demanda Esencial, en MBTUD.
Cantidad remanente disponible del vendedor v, en MBTUD, después de asignar las cantidades a los numerales n anteriores de la Demanda Esencial.”
Anexo 9
(Adicionado Res. 102 009/2024, art 19. CREG)
Períodos de Priorización
El gestor del mercado en cada año de comercialización de gas, deberá ejecutar los siguientes cálculos y publicar sus resultados, para cada uno de los siguientes nueve (9) años de gas:

Donde:
Cociente de oferta nacional
Cantidad total de suministro de gas de producción nacional, contratada en cantidad constante bajo la modalidad CF95, para ser ejecutada de en la totalidad del año a de gas, resultante de la suma de las cantidades registradas ante el gestor del mercado en el mercado primario, para atender el sector c de contratación. Valor dado en MBTUD.
Cantidad total de suministro de gas de producción nacional, contratada en cantidad constante bajo la modalidad firme CF y cualquier otra modalidad donde se garantice el suministro continuo sin interrupciones, para ser ejecutada en la totalidad del año a de gas, resultante de la suma de las cantidades registradas ante el gestor del mercado en el mercado primario, para atender el sector c de contratación. Valor dado en MBTUD.
Cantidad total de suministro de gas de producción nacional, contratada en cantidad constante bajo la modalidad CFC, para ser ejecutada en la totalidad del año a de gas, resultante de la suma de las cantidades registradas ante el gestor del mercado en el mercado primario, para atender el sector c de contratación. Valor dado en MBTUD.
Cantidad total de suministro de gas de producción nacional, contratada en cantidad constante bajo la modalidad OCG, para ser ejecutada en la totalidad del año a de gas, resultante de la suma de las cantidades registradas ante el gestor del mercado en el mercado primario, para atender el sector s de contratación. Valor dado en MBTUD.
Cantidad total de suministro de gas de producción nacional, contratada en cantidad constante bajo la modalidad “Take or Pay”, para ser ejecutada en la totalidad del año a de gas, resultante de la suma de las cantidades registradas ante el gestor del mercado en el mercado primario, para atender el sector c de contratación. Valor dado en MBTUD.
Cantidad total de suministro de gas de producción nacional, contratada en cantidad constante bajo la modalidad C1, para ser ejecutada en la totalidad del año a de gas, resultante de la suma de las cantidades registradas ante el gestor del mercado en el mercado primario, para atender el sector c de contratación. Valor dado en MBTUD.
Cantidad total de suministro de gas de producción nacional, contratada en cantidad constante bajo la modalidad C2, para ser ejecutada en la totalidad del año a de gas, resultante de la suma de las cantidades registradas ante el gestor del mercado en el mercado primario, para atender el sector c de contratación. Valor dado en MBTUD.
Consumo promedio mensual proyectado por la UPME en la publicación más reciente de las “Proyecciones de Demanda de Energía Eléctrica y Gas Natural” en el “Escenario Medio”, a la fecha de realización del cálculo, para el año a del sector s de consumo. Valor dado en MBTUD.
En el caso del sector de consumo terciario proyectado por la UPME, este será asimilado al sector comercial contratado en el mercado primario.
Para el consumo proyectado en el caso del sector refinerías, el valor a sumar corresponderá a la diferencia entre el valor proyectado por la UPME en el sector petrolero para el consumo en refinerías y la cantidad declarada al Ministerio de Minas y Energía como PC para atender el consumo propio de las refinerías.
Menor valor mensual de PTDV, obtenido a partir de la comparación entre la suma de los valores de cada mes del año a de gas de la totalidad de las fuentes de suministro declaradas al gestor del mercado, excluyendo las correspondientes a los campos aislados. Valor dado en MBTUD.
Sector de consumo proyectado por la UPME: 1. Residencial, 2. Industrial, 3. Terciario, 4. Transporte con GNC, 5. Refinerías, 6. Petroquímico, 7. Compresores del SNT.?
Sector de contratación registrado en el Mercado Primario: 1. Transporte de gas, 2. Residencial, 3. Comercial, 4. GNVC, 5. Refinerías, 6. Industrial, 7. Petroquímica, 8. Otros.
Año de gas que transcurre entre el 1 de diciembre y el 30 de noviembre del año siguiente